Posted On : 25.12.2023 09:57 am
11 வது வேதியியல் : அலகு 6 : வாயு நிலைமை
கணக்குகளுக்கான தீர்வுகள்: டால்டனின் பகுதி அழுத்த விதி
11 வது வேதியியல் : அலகு 6 : வாயு நிலைமை : கணக்குகளுக்கான தீர்வுகள் : டால்டனின் பகுதி அழுத்த விதி
டால்டனின் பகுதி அழுத்த விதியினைப் பயன்படுத்தி பின்வருமாறு கணக்கிடலாம்.
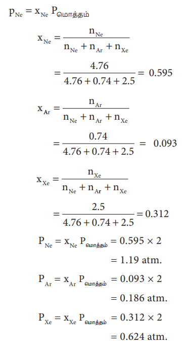
பின்வரும் கணக்கினைத் தீர்ப்பதன் மூலம் டால்டனின் பகுதி அழுத்த விதியினை நாம் புரிந்து கொள்ளலாம். ஒரு வாயுக் கலவையானது, 4.76 மோல் Ne, 0.74 மோல் Ar மற்றும் 2.5 மோல் Xe வாயுக்களைக் கொண்டுள்ளது. ஒரு குறிப்பிட்ட வெப்பநிலையில், அதன் மொத்த அழுத்தம் 2 atm எனில் வாயுக்களின் பகுதி அழுத்தங்களைக் கணக்கிடுக.
தீர்வு:

1. சமவெப்ப அழுத்த நிலையில், ஒரு குறிப்பிட்ட வாயுவின் விரவுதல் வீதம், நைட்ரஜனைக் காட்டிலும் 0.5 மடங்கு அதிகம். அக்குறிப்பிட்ட வாயுவின் மோலார் நிறையினைக் கணக்கிடுக.
தீர்வு:

11th Chemistry : UNIT 6 : Gaseous State : Solved Example Problems: Dalton’s law of partial pressures in Tamil : 11th Standard
Tamil Medium School Samacheer Book Back Questions and answers, Important Question with Answer.
11 வது வேதியியல் : அலகு 6 : வாயு நிலைமை : கணக்குகளுக்கான தீர்வுகள்: டால்டனின் பகுதி அழுத்த விதி - : 11 ஆம் வகுப்பு
புத்தகம் கேள்விகள் மற்றும் பதில்கள்.