துணைக் கோள்கள் – சுற்றியக்க வேகமும் சுற்றுக்காலமும்.
நாம் வாழ்வது நவீன யுகம். உலகின் எப்பகுதியில் உள்ளவர்களுடனும் தொடர்பு கொள்வதற்கான அதி நவீன தொழில்நுட்பகருவிகள் நம்மிடையே உள்ளன. இம்முன்னேற்றத்திற்கு காரணம் சூரிய குடும்ப அமைப்பை நாம் நன்கு புரிந்த கொண்டதே ஆகும். புவியினை வலம் வரும் துணைக்கோள்களே தற்போது செய்தித் தொடர்புக்கு பெரிதும் உதவுகின்றன. சூரியனைக் கோள்கள் சுற்றுவது போல துணைக்கோள்கள் புவியைச் சுற்றி வருகின்றன. எனவே கெப்ளரின் விதிகள் மனிதன் உருவாக்கிய செயற்கைத் துணைக்கோள்களுக்கும் பொருந்துகின்றன.

நிறை M உடைய துணைக்கோள் புவியைச் சுற்றி வருவதற்குத் தேவையான மைய நோக்கு விசையை புவியின் ஈர்ப்பு விசை தருகிறது.

உயரம் h அதிகரிக்கும் போது, துணைக்கோளின் சுற்றியக்க வேகம் குறையும்.
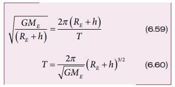
ஒரு முழுச் சுற்றின் போது துணைக்கோள் கடக்கும் தொலைவு 2π(RE +h) க்குச் சமம். மேலும் ஒரு முழு சுற்றுக்கு ஆகும் கால அளவே துணைக்கோளின் சுற்றுக்காலம் T ஆகும். சுற்றியக்க வேகம்

சமன்பாடு (6.58) லிருந்து v க்கு பிரதியிட

இருபுறமும் இருமடி எடுக்க

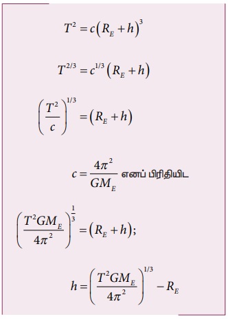
சமன்பாடு (6.61) லிருந்து கோள்களின் இயக்கம் பற்றிய கெப்ளர் விதியில் கூறப்பட்டுள்ள காலம் மற்றும் தொலைவுக்கான தொடர்பினையே புவியினைச் சுற்றும் துணைக்கோளும் கொண்டுள்ளது என்பதை நாம் அறியலாம். புவிக்கு அருகே சுற்றும் துணைக்கோளுக்கு புவியின் ஆரம் RE உடன் ஒப்பிடும்போது h மிகச் சிறியது என்பதால் h புறக்கணிக்கத்தக்கது. எனவே

RE = 6.4 × 106m மற்றும் g = 9.8 m s−2, மதிப்புகளை பிரதியிட
துணைக்கோளின் சுழற்சி காலம் T ≅ 85 நிமிடங்கள் எனப் பெறப்படுகிறது.
எடுத்துக்காட்டு 6.9
புவியின் இயற்கை துணைக்கோளான நிலா 27 நாட்களுக்கு ஒரு முறை புவியைச் சுற்றி வருகிறது. நிலாவின் சுற்றுப்பாதையை வட்டம் எனக் கொண்டு நிலவுக்கும் புவிக்கும் இடையே உள்ள தொலைவினை காண்க
தீர்வு
கெப்ளரின் மூன்றாம் விதிப்படி

இங்கு புவியின் பரப்பிலிருந்து நிலாவின் தொலைவு h ஆகும்.

ஆகிய மதிப்புகளை பிரதியிட்டு
புவிபரப்பிலிருந்து நிலா உள்ள தொலைவு 3.77 × 105 km எனக் கணக்கிடலாம்.