வரையறை, எடுத்துக்காட்டு கணக்குகள் - இடையீட்டுத் தேற்றம் (Sandwich Theorem ) | 11th Mathematics : UNIT 9 : Differential Calculus Limits and Continuity
இடையீட்டுத் தேற்றம் (Sandwich Theorem )
இத்தேற்றம் நெருக்குத் தேற்றம் (Squeeze Theorem) எனவும் அழைக்கப்படுகிறது. படம் 9.27− ல் உள்ளபடி f(x) என்ற சார்பின் வளைவரை y = f (x) மற்றும் y = g(x) என்ற வளைவரைகளுக்கு இடையில் அமைந்துள்ளது. குறிப்பாக x என்ற புள்ளியானது x0−ஐ நெருங்கும்போது f(x) ஆனது g(x) மற்றும் h(x)−க்கு இடையில் மிக நெருக்கமாக அமைகிறது. இப்போது x−ஆனது x0 −ஐ நெருங்கும்போது g மற்றும் h என்பவைகளின் எல்லைகள் lஆக இருப்பின் f−ன் எல்லையும் l−ஆக அமையும்.

இடையீட்டுத் தேற்றம் (Sandwich Theorem)
f, g, h : I ⊆ ℝ → ℝ என்ற சார்புகள் I−ல் உள்ள x0 −ஐ நீக்கிய x0 −ன் அண்மைப்பகுதியில் உள்ள எல்லா x−க்கும் g(x) ≤ f(x) ≤ h(x) எனவும் மேலும்
எனவும் இருக்குமானால்
ஆக இருக்கும்.
எடுத்துக்காட்டு 9.26
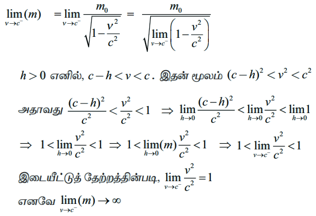
ஐன்ஸ்டினின் சார்பியல் கோட்பாட்டின்படி v திசைவேகத்துடன் கூடிய ஒரு பொருளின் நிறை
இங்கு m0 என்பது ஆரம்ப நிறை மற்றும் c என்பது ஒளியின் வேகம். v → c− எனில் m−ல் ஏற்படும் மாற்றம் என்ன? ஏன் இடதுபக்க எல்லை அவசியம்?
தீர்வு

ஆகவே, v → c− எனில் நிறை மிக மிகப்பெரியதாக (முடிவிலி) அமைகிறது.
இடப்புற எல்லை தேவையானதாக உள்ளது. வலப்புற எல்லை எடுப்பின் v → c+ எனில் 1 − v2/c2 < 0 ஆக அமையும். எனவே நிறை காண இயலாது.
எடுத்துக்காட்டு 9.27
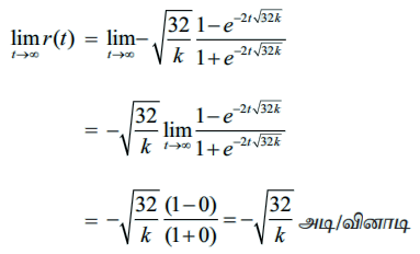
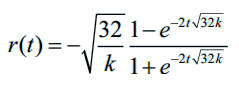
ஆகாயத்திலிருந்து விழுகின்ற ஒரு பொருளின் வேகம்
என வரையறுக்கப்பட்டுள்ளது. வேகம் அடி/வினாடியில் கணக்கிடப்படுகிறது. இங்கு k என்ற மாறிலி அந்தப் பொருளின் அளவு, வடிவம் மற்றும் காற்றின் அடர்த்தியைப் பொறுத்து உள்ளது. அந்தப் பொருளின் எல்லை வேகத்தினைக் காண்க. அதாவது,
−ஐக் காண்க.
தீர்வு

எடுத்துக்காட்டு 9.28
ஒரு விலங்கின் கண்பாவையின் விட்டம்
என்ற சார்பாகத் தரப்பட்டுள்ளது. இங்கு x என்பது ஒளியின் செறிவினைக் குறிக்கின்றது மற்றும் f(x) மி.மீ.−இல் தரப்பட்டுள்ளது. அந்தக் கண்பாவையின் விட்டத்தை,
(a) ஒளியின் செறிவு குறைவாக (b) ஒளியின் செறிவு அதிகமாக, காண்க.
தீர்வு
(a) ஒளியின் செறிவு குறைவாக இருக்கும்போது, அதாவது x → 0+ எனும்போது, சார்பின் எல்லையைக் காண வேண்டும்.

= 160/4 = 40 மி.மீ
(b) ஒளியின் செறிவு அதிகமாக இருக்கும்போது, அதாவது x → ∞ எனும்போது, சார்பின் எல்லையைக் காணவேண்டும்.

ஒளியின் செறிவு அதிகமாக இருக்கும்போது கண்பாவையின் விட்டத்தின் எல்லை 6 மி.மீ ஆக இருக்கும்.
