அணு மாதிரிகள் | இயற்பியல் - ரூதர்போர்டு மாதிரி | 12th Physics : UNIT 9 : Atomic and Nuclear Physics
ரூதர்போர்டு மாதிரி
1911-ல் கெய்கர் மற்றும் மாசுடென் ஆகியோர்,
அவர்தம் ஆசிரியரான ரூதர்போர்டின் அறிவுரைப்படி, குறிப்பிடத்தக்க செய்முறை ஆய்வு ஒன்றினைச்
செய்தனர், அதற்கு தங்க மென்தகட்டினால் ஆல்பா துகள்கள் அடையும் சிதறல் என்று பெயர்.
இந்த ஆய்வின் செய்முறை அமைப்பு படம் 8.9-ல்
காட்டப்பட்டுள்ளது. நுண்ணிய துளை கொண்ட, தடிமனான ஈயப் பெட்டி ஒன்றின் உள்ளே ஆல்பா துகள்கள்
மூலம் (alpha particle source) (பொலோனியம் போன்றதொரு கதிரியக்கப் பொருள்) வைக்கப்படுகிறது.
ஈயப் பெட்டியிலிருந்து வெளியேறும் ஆல்பா துகள்கள் மற்றொரு ஈயத்தகட்டில் இடப்பட்டுள்ள
நுண்ணிய துளை வழியே செல்கின்றன. பின்னர், இத்துகள்கள் ஒரு

படம் 8.9 ரூதர்போர்டின் ஆல்பா துகள் சிதறல்
ஆய்வின் குறியீட்டுப் படம்
தங்க மென்தகட்டின் மேல் வீழ்கின்றன. இதன் பிறகு,
இத்துகள்கள் பல்வேறு கோணங்களில் சிதறல் அடைவது கண்டறியப்பட்டது. சிதறல் அடைந்த ஆல்பா
துகள்களைத் திரட்டும் பொருட்டு துத்தநாக சல்பைடு (ZnS) தடவப்பட்ட (0° முதல் 1800
வரை) நகர்த்தப்படக் கூடிய திரை ஒன்று உள்ளது. இத்திரையின் மீது ஆல்பா துகள்கள் படும்
போது ஏற்படும் ஒளிர்வை நுண்ணோக்கியின் உதவியுடன் கண்டறியலாம்.
ஆல்பா சிதறல் ஆய்வின் அடிப்படையில் ஒரு அணு
மாதிரியை ரூதர்போர்டு முன்மொழிந்தார். இந்த ஆய்வில் (நேர்மின் தன்மை கொண்ட) ஆல்பா துகள்கள்
தங்க மென் தகட்டிலுள்ள அணுக்களின் மீது விழும்படி செய்யப்படுகின்றன. இந்த ஆய்வின் முடிவுகளைக்
கீழே காணலாம். இதையே படம் 8.10 - இலும் அறியலாம். (ரூதர்போர்டு எதிர்ப்பார்த்தது (அ).
ஆய்வின் முடிவில் பெறப்பட்டது (ஆ )]
(அ) பெரும்பாலான ஆல்பா துகள்கள் தங்க மென்தகட்டினால்
விலக்கம் அடையாமல் நேராக செல்கின்றன.
(ஆ) சில ஆல்பா துகள்கள் சிறிய கோண அளவே விலக்கம்
அடைகின்றன. (இ) குறைந்த எண்ணிக்கையிலான (ஆயிரத்தில் ஒன்று) ஆல்பா துகள்கள் 90° கோணத்திற்கும்
மேலான விலக்கம் அடைகின்றன.
(ஈ) மிகக்குறைந்த எண்ணிக்கையிலான ஆல்பா துகள்கள்
180° கோண அளவில் பின்னோக்கிய சிதறல் அடைகின்றன.
படம் 8.10 (இ)யில் கொடுக்கப்பட்டுள்ள புள்ளிகள்
கெய்கர் - மாசுடென் ஆல்பா சிதறல் ஆய்வுத் தரவுகளின் அடிப்படையில் பெறப்பட்டவை, மேலும்,
வளைகோடு ரூதர்போர்டு அணுக்கரு மாதிரியின் அடிப்படையில் பெறப்பட்டது; இவை

இரண்டுமே ஒன்றுக்கொன்று இணங்கிப்போவதை கண்கூடாகக்
காணலாம்.
மேற்கூறிய
காட்சிப்பதிவுகளின் அடிப்படையில் ரூதர்போடு கண்டறிந்த முடிவுகள் :
மேற்கண்ட ஆய்வுத் தரவுகளின் அடிப்படையில்,
அணு ஒன்றில் ஏராளமான வெற்றிடமும் 1014m அளவு கொண்ட அணுக்கரு என்றழைக்கப்படும்
சிறிய அளவிலான பருப்பொருளும் இருக்க வேண்டும் என்ற கருத்தை ரூதர்போர்டு முன்வைத்தார்.
அணுக்கரு நேர் மின்னூட்டம் கொண்டது. மேலும், அணுவின் மிகப்பெருமளவு நிறை அணுக்கருவில்
குவிந்துள்ளது. அணுக்கருவைச் சுற்றி எதிர் மின்னூட்டம் கொண்ட எலக்ட்ரான்கள் உள்ளன.
இவ்வாறுள்ள மின்னூட்டப் பரவலில் உள்ள மின் துகள்கள் நிலையாக இருந்தால், அவை சமநிலையில்
இருக்க இயலாது என்பதால் சூரியனைச் சுற்றி கோள்கள் வட்டப்பாதையில் இயங்குவதைப் போல அணுக்கருவைச்
சுற்றி எலக்ட்ரான்கள் இயங்குகின்றன என்று அவர் கருத்துரைத்தார்.

படம் 8.11 மீச்சிறு-அணுகு தொலைவு மற்றும் மோதல்
காரணி
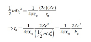
அணுக்கருவை நோக்கி நேராக ஓர் ஆல்பா துகள் செல்லும்
போது, குறிப்பிட்ட ஒரு புள்ளியை அது அடைந்த பிறகு, சிறிது நேரம் நின்று பின் திரும்புகின்றது.
(படம் 8.11) இவ்வாறு 180° கோணத்தில் எதிரொளிப்பு அடைவதற்கு முன், ஆல்பாதுகள் மற்றும்
அணுக்கரு ஆகிய இரண்டிற்கும் இடையே உள்ள சிறும தொலைவு மீச்சிறுஅணுகு தொலைவு' r0
எனப்படும். (இதை தொடுகை தொலைவு எனவும் அழைப்பர்). இத்தொலைவில், ஆல்பா துகள்களின் இயக்க
ஆற்றல் அனைத்தும் நிலை மின்னழுத்த ஆற்றலாக மாற்றப்படுகின்றது (காண்க. +2 இயற்பியல்
பாடநூல் : தொகுதி-1 அலகு -1)

இங்கு Ek என்பது ஆல்பா துகளின்
இயக்க ஆற்றலாகும். மேலே கொடுக்கப்பட்ட சமன்பாடானது அணுக்கருவின் அளவை தோராயமாக கூறுவதற்கு
மட்டுமே பயன்படும், ஆனால், மீச்சிறு - அணுகு தொலைவை விட அணுக்கருவின் அளவு எப்போதும்
குறைவாகவே இருக்கும். பல்வேறு அணுக்கருக்களின் அளவுகளைக் கணக்கிட்ட ரூதர்போர்டு, அவற்றின்
ஆரங்கள் 10-14 m முதல் 10-15 வரை எனக் கண்டறிந்தார்.
(ஆ) மோதல்
காரணி (b)

படம் 8.12 மோதல் காரணி
(தங்க) அணுக்கருவின் மையத்திற்கும், ஆல்பா
துகள் அதிக தொலைவில் உள்ள போது அதன் (நீட்டிக்கப்பட்ட) திசைவேக வெக்டரின் திசைக்கும்
இடைப்பட்ட செங்குத்துத் தொலைவானது, மோதல் காரணி (b) என வரையறுக்கப்படுகிறது. (படம்
8.12). மோதல் காரணி மற்றும் சிதறல் கோணம் இடையேயான தொடர்பு பின்வரும் சமன்பாட்டால்
தரப்படுகிறது.


சிதறல் கோணம். சமன்பாடு (8.13) இன் படி, மோதல்
காரணி அதிகரிக்கும் போது சிதறல் கோணம் குறைகின்றது. மோதல் காரணியின் மதிப்பு சிறியதாக
இருந்தால், ஆல்பா துகள்களின் விலகல் அதிகமாக இருக்கும்.
ரூதர்போர்டு
மாதிரியின் குறைபாடுகள்
அணுக்கருவின் விட்டம் மற்றும் அணுவின் அளவு
ஆகியவற்றைக் கணக்கிடுவதற்கு ரூதர்போர்டு அணு மாதிரி பயன்பட்டாலும் அதில் கீழ்க்கண்ட
குறைபாடுகள் உள்ளன.
அ) அணுக்கருவைச் சுற்றி எலக்ட்ரானிகளின் பரவல்
மற்றும் அணுவின் நிலைத்தன்மை ஆகியவற்றை இந்த அணுமாதிரியால் விளக்க முடியவில்லை .

படம் 8.13 அணுக்கருவைச் சுற்றி எலக்ட்ரானின்
திருகு வட்ட இயக்கம்
பண்டைய மின்னியக்கவியல் (Classical electrodynamics)
கொள்கைப்படி, முடுக்கப்பட்ட மின்துகள் மின்காந்தக் கதிர்களை உமிழ்கிறது. இதனால், அது
ஆற்றலை இழக்கின்றது. எனவே, ஒரே வட்டப்பாதையில் அதன் இயக்கத்தைத் தக்க வைத்துக் கொள்ள
இயலாது. அதன் சுற்றுப்பாதையின் ஆரம் சிறிது சிறிதாகக் குறைந்து (சுருள் வட்ட இயக்கத்தை
மேற்கொண்டு), இறுதியில் அணுக்கருவினுள் விழ வேண்டும் (படம் 8.13). இதனால் அணு சிதைவுற
வேண்டும். ஆனால் இது நடைபெறுவதில்லை. எனவே, ரூதர்போடு அணு மாதிரி அணுக்களின் நிலைத்தன்மையை
விளக்க முடியவில்லை .
ஆ) இந்த அணு மாதிரியின் படி, கதிர்வீச்சின்
நிறமாலை தொடர் வெளிவிடு நிறமாலையாக இருக்க வேண்டும். ஆனால் சோதனைகள் மூலம், அணுக்கள்
வரி நிறமாலையையே வெளிவிடுகின்றன என்பதை நாம் காண்கிறோம்.