வரையறை, சூத்திரம், தீர்க்கப்பட்ட எடுத்துக்காட்டு கணக்குகள், பயிற்சி | கணிதம் - தொடர்புகள் | 11th Mathematics : UNIT 1 : Sets, Relations and Functions
தொடர்புகள் (Relations)
தொடர்புகளைப் பற்றிய கோட்பாட்டினை, அன்றாட வாழ்க்கையிலிருந்தும், சங்கேத மொழியியலிலிருந்தும், வடிவியலிலிருந்தும், கணங்களின் கார்டீசியன் பெருக்கலின் மூலமாகப் பல்வேறு கோணங்களில் அணுகுவோம்.
"அவர் உனக்கு எவ்விதத்தில் உறவினர் அல்லது தொடர்புடையவர்?" என்கிற வினாவைப் பெரும்பாலும் நமது அன்றாட வாழ்க்கையில் எதிர்கொள்கிறோம். இவ்வினாவிற்கு,
(i) அவர் என் தந்தை.
(ii) அவர் என் ஆசிரியர்.
(iii) அவர் எனக்கு எவ்விதத்திலும் தொடர்பில்லாதவர்.
போன்ற சில சாத்தியமான விடைகள் உள்ளன. இதிலிருந்து தொடர்பு என்கிற சொல்லானது ஒருவரை மற்றொருவருடன் இணைக்கிறது என நாம் அறிகிறோம். இச்சிந்தனையை மேலும் விரிவாக்கி, கணிதத்தில் கணிதவுருக்களை இணைக்கத் தொடர்புகளைப் பயன்படுத்துகிறோம்.
எடுத்துக்காட்டுகள்:
(i) ℕ ல் m எனும் ஒரு எண்ணானது n எனும் எண்ணை வகுத்தால் m ஆனது n உடன் தொடர்புடையது.
(ii) மெய்யெண்களில் x ≤ y எனில் x ஆனது y-யுடன் தொடர்புடையது.
(iii) p எனும் புள்ளி L என்ற கோட்டில் அமைந்தால் p ஆனது L உடன் தொடர்புடையது.
(iv) X எனும் மாணவர் S எனும் பள்ளியுடன் தொடர்புடையவராக இருக்க வேண்டுமெனில் X என்பவர் S-ல் மாணவராக இருக்க வேண்டும்.
விளக்க எடுத்துக்காட்டு 1.1 சங்கேத மொழி (Cryptography) : மக்கள் ரகசியத் தன்மை வாய்ந்த தகவல்களைப் பாதுகாக்கச் சங்கேத மொழியை நூற்றாண்டு காலமாக பயன்படுத்தி வருகின்றனர். சங்கேதமொழியைத் திறம்பட இராணுவத்திலும், நிதி நிறுவனங்களிலும், கணினி நிரலர்களும் பயன்படுத்துகின்றனர். சங்கேத மொழியாக்கமும் அச்சங்கேத மொழியை மொழி மாற்றவும் பயன்படுத்தும் முறைகளைப் பற்றிய இயலே சங்கேதமொழியியல் என அழைக்கப்படுகின்றது.
ஒரு செய்தியைச் சங்கேத மொழியாக மாற்ற, பண்டைய காலத்தில் எளிய பிரதியிடல் முறை பயன்படுத்தப்பட்டது. உதாரணமாக, செய்தியிலுள்ள ஒவ்வொரு எழுத்திற்கும் மாற்றாக அகர வரிசையில் அவ்வெழுத்திலிருந்து மூன்றாவதாக வரும் எழுத்தாகப் பிரதியிடப்பட்டது.
இம்முறையை, “LET US WIN” என்ற வாக்கியத்திற்கு பயன்படுத்தினால் “OHW XV ZLQ” என மாறும். இம்முறையை, பேரரசர் ஜூலியஸ் சீசர் பயன்படுத்தியதால் சீசரின் சங்கேதம் என அழைக்கப்படுகிறது. இச்சங்கேத மொழியை மொழி மாற்றம் செய்ய ஒவ்வொரு எழுத்தையும் அதற்கு மூன்று எழுத்துக்களுக்கு முந்தைய எழுத்தாக மாற்றீடு செய்யவேண்டும். இத்தகு முறை, தற்போது திறனறி தேர்வுகளில் வெகுவாகக் கையாளப்படுகிறது. இதனை அம்புக்குறி படம் மூலமும் (படம் 1.4) குறிப்பிடலாம்.

இப்போது, C = {L,E,T,U,S,W,I,N} மற்றும் D = {0,H,W,X,V,Z,L,Q} என எடுத்துக் கொண்டால் C × D என்ற கார்டீசியன் பெருக்கலின் உட்கணமாக,
{(L,0), (E,H), (T,W), (U,X), (S, V), (W, Z), (I,L), (N,Q)} எனும் வரிசைப்படுத்தப்பட்ட ஜோடிகளின் கணம் அமைகிறது.
அறிந்துகொள்வோம்
"KDUGZRUN” என்பது “HARDWORK” இன் சங்கேத மொழி எனில் “DFKLHYHPHQW” என்பது “ACHIEVEMENT”-க்கு சங்கேத மொழியாகும்
“இதனை f (x) = x - 3 எனச் சொல்ல முடியுமா?"
விளக்க எடுத்துக்காட்டு 1.2 வடிவியல் (Geometry): கீழ்க்காணும் மூன்று சமன்பாடுகளை எடுத்துக் கொள்வோம்.
(i) 2x − y = 0
(ii) x2 − y = 0
(iii) x − y2 = 0
(i) 2x - y = 0
2x – y = 0 என்ற சமன்பாடு ஒரு நேர்க்கோட்டை அமைக்கின்றது. தெளிவாக (1, 2), (3, 6) போன்ற புள்ளிகள் இந்நேர்க்கோட்டில் அமையும்போது, (1, 1), (3, 5), (4, 5) போன்ற புள்ளிகள் இந்நேர்க்கோட்டில் அமையவில்லை. x மற்றும் y இடையேயான பகுமுறை தொடர்பு y = 2x ஆகும். எனவே இந்நேர்க்கோட்டின் மீது அமைந்துள்ள அனைத்துப் புள்ளிகளையும் {(x,2x):x ∈ ℝ} என எழுதலாம். இக்கணமானது ℝ × ℝ -ன் உட்கணமாகும் (படம் 1.5).

(ii) x2 - y = 0
ஏற்கனவே விவாதித்தபடி, இங்கு x மற்றும் y -க்கு இடையேயான தொடர்பு y = x2 ஆகும். இந்த வளைவரையின் மீதுள்ள புள்ளிகளின் கணம் { (x,x2): x ∈ R} ஆகும் (படம் 1.6). இதுவும் கார்டீசியன் பெருக்கலான ℝ × ℝ -ன் உட்கணமாகும்.
(iii) x – y2 = 0
மேற்கண்ட விளக்கங்களிலிருந்து, இங்கு x மற்றும் y க்கு இடையேயான தொடர்பு y2 = x அல்லது y = ±√x, x ≥ 0 ஆகும். இச்சமன்பாட்டினை y = +√x மற்றும் y = -√x எனவும் பிரித்து எழுதலாம். இவ்வளைவரையின் மீதான புள்ளிகளின் கணம், x எனும் குறையற்ற மெய்யெண்களால் ஆன {(x,√x)}, {(x,-√x)} என்கிற புள்ளிகளின் கணம் கணங்களின் சேர்ப்பு ஆகும். மேலும் இது கார்டீசியன் பெருக்கலான ℝ × ℝ -ன் உட்கணங்களாகும் (படம் 1.7).
மேற்கண்ட மூன்று உதாரணங்களிலிருந்து தொடர்பு என்ற சொல்லுக்கு ஓரளவு விளக்கம் தெரியவருகிறது. x உள்ள ஒரு கணத்திற்கும் y உள்ள மற்றொரு கணத்திற்கும் இடையே ஒரு ஒத்திசைவு உள்ளது. நுட்பமான வார்த்தைகளுக்கு, கணிதத்தில் ஏற்றுக் கொள்ளக் கூடிய வரையறை தேவை. எனவே கணிதப் பார்வையில் 'தொடர்பு’ என்பதன் வரையறையைக் காண்போம்.
தொடர்பின் வரையறை (Definition of Relation)
A = {p, q, r, s, t, u} என்பது மாணவர்களின் கணம் என்க. B = { X, Y, Z, W} என்பது பள்ளிகளின் கணம் என்க. கீழ்க்காணும் தொடர்பினை எடுத்துக் கொள்வோம்.
"a” எனும் மாணவர் S எனும் பள்ளியில் படித்திருந்தால் அல்லது படிக்கிறார் எனில், மாணவர் a ∈ A க்கு பள்ளி S ∈ B யுடன் தொடர்பு எனக் கொள்வோம்.
கீழ்க்காணும் நிலையினை எடுத்துக் கொள்வோம். அதாவது,
p என்ற மாணவர் X என்ற பள்ளியில் படித்துவிட்டு, தற்போது W என்ற பள்ளியில் படித்துக் கொண்டிருக்கிறார். q என்பவர் X - ல் படித்துவிட்டு தற்போது Y-ல் படித்துக் கொண்டிருக்கிறார். r என்பவர் X மற்றும் Z -ல் படித்துவிட்டு, தற்போது W-ல் படிக்கின்றார். s என்பவர் X என்ற பள்ளியிலேயே தொடர்ந்து படித்துக் கொண்டிருக்கின்றார். t என்பவர் Z இல் படிப்பை முடித்துவிட்டு வேறு பள்ளிகளில் தொடரவில்லை. u என்பவர் இந்த நான்கு பள்ளிகளிலும் படிக்கவில்லை என எடுத்துக்கொள்வோம்.
இங்குத் தொடர்புகள் வெளிப்படையாக இருந்தாலும், ஒரு தொடர்பை எப்போதும் இவ்வகையில் தருவது சாத்தியமில்லை. எனவே வேறு சில வகைகளில் இத்தொடர்பைக் குறிப்பிட இயலுமா என கீழ்க்காணுமாறு முயல்வோம்.

மேற்கண்ட நான்கு அமைப்புகளில், கணங்களின் அடிப்படையில் தொடர்புகளைக் கையாள்வதற்கு ஏற்ற வகையில் வசதியாக மூன்றாவது அமைப்பு உள்ளது.
மூன்றாவது அமைப்பில் தரப்பட்டுள்ள கணமானது கார்டீசியன் பெருக்கலான A×B-ன் உட்கணமாகும். மேலும் விளக்க எடுத்துக்காட்டுகளான 1.1 மற்றும் 1.2 ஆகியவற்றிலும் ஒரு கார்டீசியன் பெருக்கலின் ஒரு உட்கணத்தை நம்மால் பெற முடிந்தது என்பதனை நினைவில் கொள்வோம்.
வரையறை 1.2
A மற்றும் B என்பவை இருவெற்றற்ற கணங்கள் என்க. A-லிருந்து B-க்கு வரையறுக்கப்படும் தொடர்பு (relation) R என்பது A மற்றும் B-ன்கார்டீசியன் பெருக்கலின் உட்கணமாகும். குறியீட்டின்படி R ⊆ A × B ஆகும்.
A - லிருந்து B -க்கு வரையறுக்கப்படும் தொடர்பும் B -லிருந்து A -க்கு வரையறுக்கப்படும் தொடர்பும் வெவ்வேறானவை என்பதைத் தெரிந்து கொள்க.
{a ∈ A : (a, b) ∈ R ஏதோ ஒரு b ∈ B} என்ற கணம் தொடர்பின் சார்பகம் (domain) எனப்படும். { b ∈ B : (a, b) ∈ R ஏதோ ஒரு a ∈ A} என்ற கணம் தொடர்பின் வீச்சகம் (range) எனப்படும். எனவே, தொடர்பு R -ன் சார்பகம் வரிசைப்படுத்தப்பட்ட ஜோடி உறுப்புகளிலுள்ள முதல் ஆயக்கூறுகளின் கணமாகவும், தொடர்பு R-ன் வீச்சகம் வரிசைப்படுத்தப்பட்ட ஜோடி உறுப்புகளிலுள்ள இரண்டாவது ஆயக்கூறுகளின் கணமாகவும் அமையும்.
விளக்க எடுத்துக்காட்டு 1.3 கீழ்க்காணும் படத்தினை எடுத்துக் கொள்வோம் (படம் 1.8].

படத்தில் ஆங்கில அகர வரிசை எழுத்துக்கள் இயல் எண்களோடு கோர்க்கப்படுகிறது. ஒரு எளிய சங்கேதமொழி என்பது ஒவ்வொரு எழுத்திற்கும் ஒரு இயல் எண் ஒதுக்கப்படுவதாகும். அதாவது, a -ஐ குறிக்க 1, b -ஐ குறிக்க 2, ..... z -ஐ குறிக்க 26 என்பதாகும். இந்த ஒத்திசைவை {(a, 1), (b, 2),..., (z, 26)} என வரிசைப்படுத்தப்பட்ட ஜோடி கணமாக எழுதலாம். இந்த வரிசைப்படுத்தப்பட்ட ஜோடிகளின் கணம் ஒரு தொடர்பாகும். இந்தத் தொடர்பின் சார்பகம் மற்றும் வீச்சகம் முறையே {a, b, ..., z} மற்றும் {1, 2, ..., 26} ஆகும்.
இப்போது விளக்க எடுத்துக்காட்டுகள் 1.1 மற்றும் 1.2 ஆகியவற்றில் தொடர்பானது ஒரு கார்டீசியன் பெருக்கலின் உட்கணமாக அமைந்துள்ளதையும் அவை வரையறை 1.2 -ன் நியதிக்கு உட்படுவதையும் நினைவு கூர்வோம்.
விளக்க எடுத்துக்காட்டு 1.1 -ல் உள்ள தொடர்பின் சார்பகம் மற்றும் வீச்சகம் முறையே { L, E, T ,U, S, W, I, N } மற்றும் { O, H, W, X , V , Z, L, Q} ஆகும். எடுத்துக்காட்டு 1.2 -ல் 2x - y = 0 என்ற தொடர்பின் சார்பகம் ℝ மற்றும் வீச்சகமும் ℝ ஆகும் [படம் 1.9]. x2 - y = 0 என்ற தொடர்பின் சார்பகம் ℝ மற்றும் அதன் வீச்சகம் [0, ∞) ஆகும் (படம் 110]. x – y2 = 0 என்ற தொடர்பின் சார்பகம் [0, ∞) மற்றும் வீச்சகம் ℝ ஆகும் [படம் 1.11 மற்றும் 1.12].

தொடர்பின் சார்பகமானது கார்டீசியன் பெருக்கலின் முதல் கணத்தின் உட்கணமாகவும், தொடர்பின் வீச்சகமானது இரண்டாவது கணத்தின் உட்கணம் என்பதும் குறிப்பிடத்தக்கது. வழக்கமாக, இரண்டாவது கணத்தைத் தொடர்பின் துணைச்சார்பகம் (co-domain) என அழைக்கப்படுகிறது. ஆகையால் தொடர்பின் வீச்சகம் என்பது சார்பகத்திலுள்ள உறுப்புகளுக்குத் தொடர்புடைய துணைச்சார்பக உறுப்புகளின் தொகுப்பு ஆகும். துணைச்சார்பகத்தின் உட்கணமே தொடர்பின் வீச்சகமாகும் என்பது குறிப்பிடத்தக்கது.
∅ மற்றும் A × A ஆகிய கணங்கள், கார்டீசியன் பெருக்கலான A × A -ன் உட்கணங்களாக அமைகின்றது. இவ்விரண்டு தொடர்புகள் உச்சத் தொடர்புகள் (extreme relations) என அழைக்கப்படுகின்றன. ∅ என்பது வெற்றுத்தொடர்பு (empty relation) எனவும் A × A என்பது அனைத்துத் தொடர்பு (universal relation) எனவும் அழைக்கப்படும்.
சார்பகம், துணைச்சார்பகம் மற்றும் வீச்சகம் பற்றிய மேலான கருத்துக்களை "சார்புகள்" எனும் அடுத்த பகுதியில் விரிவாக ஆராய்வோம்.
A -லிருந்து B-க்கு R ஒரு தொடர்பு மற்றும் ( x, y) ∈ R எனில், இதனை xRy ("x” ஆனது “y” யுடன் தொடர்புடையது என வாசிக்கவும்) எனவும், (x, y) ∉ R எனில் xRy ("x” ஆனது “y” யுடன் தொடர்பற்றது என வாசிக்கவும்) எனவும் எழுதுவது மரபு.
தொடர்பானது ஒரு கணத்திலிருந்து மற்றொரு கணத்திற்கு என வரையறை செய்யப்பட்டிருந்தாலும் கணித நோக்கில் ஒரே கணத்தின் மீது வரையறுக்கப்படும் தொடர்பு மிகவும் முக்கியமானதாக அமையும். அதாவது சார்பகமும் துணைச்சார்பகமும் ஒரே கணமாக இருக்கும் தொடர்புகள் மிகுந்த முக்கியத்துவம் வாய்ந்ததாகத் திகழ்கின்றன. எனவே ஒரு கணத்தின் மீது வரையறுக்கப்படும் தொடர்புகளின் மீது கவனம் செலுத்துவோம்.
கீழ்க்காணும் உதாரணங்களைக் கவனிக்கவும்.
(i) S = {1, 2, 3, 4} என்க. மேலும் S-ன் மீது R = {(1, 1),(1, 3),(2, 3)} என
வரையறுக்கப்படுகிறது.
(ii) S = {1, 2, 3, ..., 10} என்க."m ஆனது n. ன் வகுத்தியாக இருந்தால் m ஆனது n உடன் தொடர்புடையது" என வரையறுக்கப்படுகிறது.
(iii) C என்பது தளத்திலுள்ள அனைத்து வட்டங்களின் கணம் என்க. "C -ன் ஆரமும் C' –ன் ஆரமும் சமமாக இருந்தால் வட்டம் C ஆனது வட்டம் C' உடன் தொடர்புள்ளது" என வரையறுக்கப்படுகிறது.
(iv) அனைத்து மக்களையும் கொண்ட கணம் S-ல் “a என்பவர் b-ன் சகோதரராக இருந்தால் a ஆனது b உடன் தொடர்புடையவர்" என வரையறுக்கப்படுகிறது.
(v) S என்பது அனைத்து மக்களையும் கொண்ட கணம் என்க. S மீது "தாயாக இருந்தால்" எனும் விதியால் தொடர்பினை வரையறுக்கவும்.
இரண்டாவது உதாரணத்தில் ஒவ்வொரு எண்ணும் தனக்குத்தானே வகுபடுவதால் "அனைத்து a ∈ S க்கும் a ஆனது a உடன் தொடர்புடையது"; இதே கூற்று மூன்றாவது உதாரணத்திற்கும் உண்மையாகும். ஆனால் முதல் உதாரணத்திற்கு "அனைத்து a ∈ S - க்கும் a ஆனது a உடன் தொடர்புடையது” என்பது உண்மையன்று. ஏனெனில் 2 உடன் 2 தொடர்பில் இல்லை.
“a ஆனது b உடன் தொடர்புடையது எனில் b ஆனது a உடன் தொடர்புடையது” எனும் பண்பினை இவ்வுதாரணங்களின் மூலம் எளிதாகச் சோதித்தறியலாம். இது மூன்றாவது உதாரணத்தில் உண்மையாகிறது. ஆனால் இரண்டாவது உதாரணத்தில் உண்மையல்ல.
"a ஆனது b உடன் தொடர்புடையது மற்றும் b ஆனது c உடன் தொடர்புடையது எனில் a ஆனது c உடன் தொடர்புடையது” என்பதை மிக எளிதாகச் சோதித்தறிய இயலும். இது இரண்டாவது மற்றும் மூன்றாவது உதாரணத்தில் உண்மையாகும். ஆனால் ஐந்தாவதில் உண்மையில்லை.
இப்பண்புகளுடன் மேலும் சில பண்புகள் கணித வடிவமைப்பில் அதிகமாக தேவைப்படுகிறது. அவற்றை இங்கு வரையறுக்கலாம்.
வரையறை 1.3
S என்பது ஏதேனும் ஒரு வெற்றற்ற கணம் என்க. S இன் மீதான ஒரு தொடர்பு R என்க. இப்போது,
• அனைத்து a ∈ S க்கும் a ஆனது a உடன் தொடர்புடையதாக இருந்தால் R ஆனது தற்சுட்டுத் தொடர்பு (reflexive) எனப்படும்.
• "a ஆனது b உடன் தொடர்புடையது எனில், b ஆனது a உடன் தொடர்புடையதாக அமையும்" என்றால் R ஆனது சமச்சீர் தொடர்பு (symmetric) எனப்படும்.
• "a ஆனது b உடன் தொடர்புடையது மற்றும் b ஆனது c உடன் தொடர்புடையது எனும்போது a ஆனது c உடன் தொடர்புடையதாக இருக்கும்" என்றால் R ஆனது கடப்புத் தொடர்பு (transitive) எனப்படும்.
இம்மூன்று தொடர்புகள் அடிப்படைத் தொடர்புகள் எனப்படும். இம்மூன்று அடிப்படைத் தொடர்புகளை வேறு வடிவத்தில் காண்போம்.
S என்பது ஏதேனும் ஒரு கணம் என்க. S இன் மீதான ஒரு தொடர்பு R என்க.
இப்போது R ஆனது,
• அனைத்து a ∈ S -க்கும், (a,a) ∈ R எனில், அத்தொடர்பு ஒரு தற்சுட்டு தொடர்பாகும்;
• "( a, b) ∈ R ⇒ ( b, a) ∈ R" எனில் R- சமச்சீர் தொடர்பாகும்;
• "(a, b), (b, c ) ∈ R ⇒ (a, c) ∈ R" எனில் R- கடப்பு தொடர்பு எனப்படும்.
வரையறை 1.4
S என்பது ஏதேனும் ஒரு கணம் என்க. S ல் உள்ள ஒரு தொடர்பு R, தற்சுட்டு, சமச்சீர், மற்றும் கடப்பு தொடர்பாக இருப்பின், அது சமானத் தொடர்பு (equivalance relation) ஆகும்.
கீழ்க்கண்ட இரு தொடர்புகளைக் கருதுவோம்.
(i) அனைத்து மக்களையும் கொண்டுள்ள கணம் S1 -ல் தொடர்பு R1 என்பதை "a என்பவர் b-ன் சகோதரர் எனில், a ஆனது b உடன் தொடர்புடையது என்ற விதிப்படி வரையறுப்போம்.
(ii) அனைத்து ஆண்களையும் கொண்டுள்ள கணம் S2 -ல் தொடர்பு R2 என்பதை "a என்பவர் b-ன் சகோதரர் எனில், a ஆனது b உடன் தொடர்புடையது" என்ற விதிப்படி வரையறுப்போம்.
S1 மற்றும் S2 கணங்களின் மீதான தொடர்புகளை வரையறுக்கும் விதிகள் ஒரே மாதிரியாக உள்ளது. ஆனால் கணங்கள் வெவ்வேறானவை. தொடர்பு R1, கணம் S1 ல் சமச்சீர் தொடர்பன்று. அதே சமயம் தொடர்பு R2, கணம் S2 ல் சமச்சீர் தொடர்பாகும். இதன் மூலம் தொடர்பை வரையறுக்கும் விதிகள் மட்டுமன்றி எந்தக் கணத்தின் மீது வரையறுக்கப்படுகிறது என்பதுவும் முக்கியமானது என்பது புலப்படுகிறது. எனவே தொடர்பை வரையறுக்கும்போது தொடர்புக்கான விதியுடன் தொடர்புக்கான கணத்தைப் பற்றிய முழு விவரமும் இன்றியமையாதது.
{(1,1), (2, 2), (3,3), (1,2)} எனும் தொடர்பு {1,2,3} என்றகணத்தின் மீதுவரையறுக்கப்பட்டால் அது தற்சுட்டாகும்; {1,2,3,4} என்ற கணத்தின் மீது வரையறுக்கப்பட்டால் அது தற்சுட்டாகாது.
விளக்க எடுத்துக்காட்டுகள் 1.4
1. X = {1, 2, 3, 4} மற்றும் R = {(1, 1), (2, 1), (2, 2), (3, 3), (1, 3), (4, 4), (1, 2), (3, 1)}. இங்கு (1, 1),(2, 2),(3, 3) மற்றும் (4, 4) ஆகிய அனைத்தும் R -ல் இருப்பதால் அது தற்சுட்டாகும். மேலும் ஒவ்வொரு உறுப்பு (a, b) ∈ R -க்கும் உறுப்பு (b, a) ∈ R -ல் இருப்பதால் அது சமச்சீராகும். ஆனால் (2,1), (1,3) ∈ R மற்றும் (2,3) ∉ R என அமைந்துள்ளதால் இது கடப்பு தொடர்பு ஆகாது. எனவே R என்பது சமானத் தொடர்பன்று.
2. தளத்தில் அமைந்துள்ள அனைத்து நேர்க்கோடுகளின் கணம் P என்க. P மீதான தொடர்பு R ஆனது l எனும் நேர்க்கோடு m எனும் நேர்க்கோட்டிற்கு இணையாக இருந்தால் lRm என வரையறுக்கப்படுகிறது. இத்தொடர்பு தற்சுட்டு, சமச்சீர் மற்றும் கடப்பு ஆகுமென்பதால் இது சமானத் தொடர்பு ஆகும்.
3. ஓர் குடும்பத்திலுள்ள குழந்தைகளோடு (2 மகள் மற்றும் 1 மகன்) பெற்றோர்கள் இருக்கும் கணம் A என்க. a என்பவர் b-இன் சகோதரியாக இருந்தால் தொடர்பு R ஆனது aRb என வரையறுக்கப்படுகிறது என்க. சற்றே இத்தொடர்பை மிகுந்த கவனத்துடன் நோக்குவோம். வழக்கமாக எந்தப் பெண்ணும் தனக்குத்தானே சகோதரி எனக் கருதுவதில்லை. எனவே அது தற்சுட்டில்லை. மேலும் அது சமச்சீரும் அல்ல. மேலும் தெளிவாக இது கடப்பு தொடர்பும் அல்ல, எனவே இது சமானத் தொடர்பும் அல்ல (ஆனால் கணத்தினை குடும்பத்திலுள்ள பெண்கள் மட்டும் கொண்டுள்ள கணம் என மாற்றும்போது சமச்சீர் தொடர்பாக மாறும். கடப்பாக மாறாது.
4. இயல் எண்களின் கணத்தில், x + 2y = 21 எனில் தொடர்பு R ஆனது xRy என வரையறுக்கப்படுகிறது. தொடர்பினை வெளிப்படையாக எழுதும்போது தொடர்பு R ஆனது {(1,10), (3, 9), ( 5, 8), (7, 7), (9, 6), (11, 5), (13, 4), (15, 3), (17, 2), (19, 1)} எனும் கணமாகும். இங்கு (1, 1) ∉ R என்பதால் தற்சுட்டு இல்லை ; (1, 10) ∈ R ஆனால் (10, 1) ∉ R என்பதால் சமச்சீரல்ல. (3, 9), (9,6) ∈ R ஆனால் (3, 6) ∉ R, எனவே தொடர்பு கடப்பும் அல்ல.
5. X = {1, 2, 3, 4} மற்றும் R = ∅ என்க. இங்கு ∅ ஒரு வெற்று கணமாகும். (1,1) ∉ R என்பதால் அது தற்சுட்டு அல்ல. (y, x) ∉ R என்று அமையும் வகையில் (x, y) என ஒரு உறுப்பினை R-ல் காண இயலாது என்பதால் இந்தத் தொடர்பு "சமச்சீர் அல்ல" என்பதனை ஏற்க இயலாது. ஆகையால் இது சமச்சீர் தொடர்பாகும். இதே போன்று இது கடப்பும் ஆகும்.
6. அனைத்துத்தொடர்பு எப்போதும் சமானத் தொடர்பாகும்.
7. வெற்று தொடர்பினைச் சமச்சீர் மற்றும் கடப்பு தொடர்பாகக் கருதலாம்.
8. ஒரு தொடர்புக்கான கணத்தில் ஒற்றை உறுப்பு மட்டும் இருந்தால் அதனைக் கடப்புத் தொடர்பாகக் கருதலாம்.
இப்போது மேலும் சில சிறப்புத் தொடர்புகளைப் பற்றி தெரிந்து கொள்வோம்.
எடுத்துக்காட்டு 1.10 S = {1,2, 3, ..., n} எனும் கணத்தின் மீது தொடர்பு
R = {(1, 1), (2, 2), (3, 3),..., (n, n)} எனில், மூன்று அடிப்படைத் தொடர்புகளையும் சோதிக்கவும்.
தீர்வு:
அனைத்து a ∈ S -க்கும், (a, a) ∈ R என்பதால் R ஆனது தற்சுட்டாகும்.
(b, a) ∉ R என்பதுபோல் அமையுமாறு (a,b) ∈ R என எந்த உறுப்பும் இல்லை. வேறு விதமாகக் கூறினால் ஒவ்வொரு உறுப்பு (a,b) ∈ R க்கும் (b,a) ∈ R எனக் கூற முடியும். இதனால் R ஆனது சமச்சீராகும்.
( a, c) ∉ R எனுமாறு (a, b) மற்றும் (b, c) ஆகிய இரு உறுப்புகளை R-ல் காண இயலாது. இதனால் R ஆனது "கடப்பு அல்ல" என்பது உண்மையன்று. எனவே "R ஆனது கடப்பு ஆகும்" என்ற கூற்று உண்மையாகும். எனவே R ஆனது கடப்பு ஆகும்.
இதனால் R ஆனது தற்சுட்டு, சமச்சீர், கடப்புத் தொடர்பு ஆகும். எனவே கொடுக்கப்பட்ட தொடர்பு சமானத் தொடர்பாகும்.
தொடக்கம் முதல் அனைத்துத் தொடர்புகளையும் நாம் R என்ற ஒரே குறியீட்டால் பயன்படுத்தி வருகிறோம். அவ்வாறு மட்டுமே குறிப்பிட வேண்டும் என அவசியம் இல்லை. தொடர்பினைக் குறிக்க, கிரேக்க எழுத்தான ρ (ரோ என வாசிக்கவும்) என்பதை நாம் பயன்படுத்தலாம். சமானத் தொடர்பினைப் பெரும்பாலும் “∼” என்ற குறியீட்டால் குறிப்பிடப் படுகிறது.
தொடர்பானது ஒரு குறிப்பிட்ட வகையான தொடர்பாக இல்லையெனில், சில உறுப்புகளைச் சேர்த்தோ அல்லது நீக்கியோ தேவைப்படும் தொடர்பாக உருவாக்க இயலும். பின்வரும் எடுத்துக்காட்டின் மூலம் இதனை அறிந்து கொள்ளலாம்.
எடுத்துக்காட்டு 1.11
S = {1, 2, 3} மற்றும் ρ = {(1, 1),(1, 2),(2, 2), (1, 3), (3, 1)} என்க.
(i) ρ என்பது தற்சுட்டுத் தொடர்பா? இல்லையெனில் காரணத்தைக் கூறி மேலும் ρ –ஐ தற்சுட்டாக உருவாக்க ρ உடன் சேர்க்கப்பட வேண்டிய குறைந்தபட்ச உறுப்புகளை எழுதுக.
(ii) ρ என்பது சமச்சீர் தொடர்பா? இல்லையெனில் காரணம் கூறுக. மேலும் ρ -ஐ சமச்சீராக உருவாக்க ρ உடன் சேர்க்கப்பட வேண்டிய குறைந்தபட்ச உறுப்புகளையும், ρ -லிருந்து நீக்கப்பட வேண்டிய குறைந்தபட்ச உறுப்புகளையும் எழுதுக.
(iii) ρ என்பது கடப்புத் தொடர்பா? இல்லையெனில் காரணம் கூறுக. மேலும் ρ -ஐ கடப்பு தொடர்பாக உருவாக்க ρ லிருந்து நீக்கப்பட வேண்டிய குறைந்தபட்ச உறுப்புகளையும், சேர்க்கப்பட வேண்டிய குறைந்தபட்ச உறுப்புகளையும் எழுதுக.
(iv) ρ என்பது சமானத் தொடர்பா? இல்லையெனில் காரணம் கூறுக. மேலும் ρ -ஐ சமானத் தொடர்பாக உருவாக்க அதனுடன் சேர்க்கப்பட வேண்டிய குறைந்தபட்ச உறுப்புகளை எழுதுக.
தீர்வு:
(i) (3, 3) என்பது ρ -ல் இல்லை என்பதால் p ஆனது தற்சுட்டு அல்ல. (1, 1) மற்றும் (2, 2) ஆகியவை ρ -ல் இருப்பதால் ρ -ஐ தற்சுட்டாக உருவாக்க (3, 3) என்ற உறுப்பினை மட்டும் சேர்த்தால் போதுமானது.
(ii) ρ ஆனது சமச்சீர் அல்ல. ஏனெனில் (1, 2) என்பது ρ -ல் உள்ளது. ஆனால் (2, 1) என்பது ρ-ல் இல்லை. ρ -ஐ சமச்சீராக உருவாக்க (2, 1) என்ற உறுப்பினை மட்டும் சேர்த்தால் போதுமானது. (1, 2) என்ற உறுப்பினை ρ விலிருந்து நீக்கியும் ρ -ஐ சமச்சீராக உருவாக்க இயலும்.
(iii) ρ ஆனது கடப்பு தொடர்பு அல்ல. ஏனெனில் (3, 1) மற்றும் (1, 3) ஆகியவை ρ -ல் உள்ளன. ஆனால் (3, 3) ஆனது ρ -ல் இல்லை. ρ -ஐ கடப்பு தொடர்பாக உருவாக்க (3, 3) ஐ சேர்க்க வேண்டும். அவ்வாறு சேர்த்த பின்னரும் தொடர்பானது கடப்புத் தொடர்பாக இல்லை. ஏனெனில் (3, 1) மற்றும் (1, 2) ஆகியவை ρ -ல் உள்ளன. ஆனால் (3, 2) என்பது ρ -ல் இல்லை. எனவே ρ -ஐ கடப்பு தொடர்பாக உருவாக்க (3, 2) -ஐ ρ -ல் சேர்க்க வேண்டும். இப்பொழுது இது கடப்பு தொடர்பாக மாறும். எனவே ρ -ஐ கடப்பு தொடர்பாக உருவாக்க (3, 3) மற்றும் (3, 2) ஆகியவற்றைச் சேர்க்க வேண்டும். ஆனால் (3, 1) ஐ நீக்கிவிட்டால் கடப்புத் தொடர்பாக மாறிவிடும்.
(iv) இவ்வாறாக,
• ρ -ஐ தற்சுட்டாக உருவாக்க (3, 3) -ஐ நாம் சேர்க்க வேண்டும்.
• ρ-ஐ சமச்சீராக உருவாக்க (2, 1) -ஐ நாம் சேர்க்க வேண்டும்.
• ρ -ஐ கடப்பு தொடர்பாக உருவாக்க (3, 3) மற்றும் (3, 2) -ஐ சேர்க்க வேண்டும் எனக் கண்டறிந்தோம்.
சமானத் தொடர்பாக ρ -ஐ உருவாக்க மேற்கண்ட உறுப்புகளை நாம் சேர்க்க வேண்டும்.
இந்த உறுப்புகளைச் சேர்த்தபிறகு தொடர்பானது
{(1, 1),(2, 2), (3, 3),(1, 2),(2, 1), (1, 3),(3, 1), (3, 2),(2, 3)} என அமையும்.
இந்தத் தொடர்பானது தற்சுட்டு, சமச்சீர் மற்றும் கடப்பு தொடர்பு எனக் கண்டறியலாம். இதனால் இது சமானத் தொடர்பாகும். எனவே சமானத் தொடர்பை உருவாக்க (3, 3), (2,1), (3, 2) மற்றும் |(2, 3) ஆகியவற்றை ρ -ல் சேர்க்க வேண்டும்
இப்போது தொடர்புகள் சில பண்புகளைக் கொண்டிருக்குமாறு எவ்வாறு உருவாக்குவது என்பதைக் கீழ்க்காணும் எடுத்துக்காட்டிலிருந்து நம்மால் புரிந்து கொள்ள இயலும்.
எடுத்துக்காட்டு 1.12 A = {0, 1, 2, 3} என்க. A -ல் கீழ்க்காணும் வகையில் தொடர்புகளை அமைக்கவும்.
(i) தற்சுட்டு, சமச்சீர் மற்றும் கடப்பு அல்லாத தொடர்பு.
(ii) தற்சுட்டு மற்றும் சமச்சீர் அல்லாமல் கடப்பு தொடர்பு.
(iii) தற்சுட்டு மற்றும் கடப்பு அல்லாமல் சமச்சீராகும் தொடர்பு.
(iv) தற்சுட்டு அல்லாமல் சமச்சீர் மற்றும் கடப்பு தொடர்பு.
(v) சமச்சீர் மற்றும் கடப்பு அல்லாமல் தற்சுட்டு தொடர்பு.
(vi) சமச்சீர் அல்லாமல் தற்சுட்டு மற்றும் கடப்பு தொடர்பு.
(vii) கடப்பு அல்லாமல் தற்சுட்டு மற்றும் சமச்சீர் தொடர்பு,
(viii) தற்சுட்டு, சமச்சீர் மற்றும் கடப்பு தொடர்பு.
தீர்வு
(i) (1, 2) என்ற உறுப்பின் மூலம் "சமச்சீர் அல்ல" என உருவாக்கப் பயன்படுத்துவோம். மேலும் {(1, 2)} என்ற தொடர்பு, வரையறையின்படி கடப்பு ஆகும். (2, 3) ஐ சேர்த்து, (1, 3) ஐ நீக்கினால் தொடர்பானது கடப்பு அல்ல. எனவே தொடர்பு {(1,2), (2,3)} என்பது தற்சுட்டு அல்ல, சமச்சீர் அல்ல மற்றும் கடப்பும் அல்ல. இதே போன்று பல உதாரணங்கள் கொடுக்க இயலும்.
(ii) வரையறையின் படி, தொடர்பு {(1, 2)} என்பது கடப்பு தொடர்பாகவும் அதே நேரத்தில், தற்சுட்டு மற்றும் சமச்சீர் அல்லாமலும் உள்ளதை அறிவோம்.
(iii) (1, 2) என்ற உறுப்போடு தொடங்குவோம். நமக்குச் சமச்சீர் தேவை என்பதால் (2, 1) என்ற உறுப்பினைச் சேர்க்க வேண்டும். இந்நிலையில் (1,1), (2, 2) ஆகிய உறுப்புகள் இல்லாமையால் தொடர்பானது கடப்பும் அல்ல, தற்சுட்டும் அல்ல. இதனால் {(1,2),(2,1)} என்பது தற்சுட்டும் அல்ல, கடப்பும் அல்ல. ஆனால் இது சமச்சீர் ஆகும்.
(iv) மேல் விவாதிக்கப்பட்ட தொடர்பில் (1, 1) மற்றும் (2, 2) என்ற உறுப்புகளைச் சேர்த்தால் அது கடப்பாக மாறும். எனவே, {(1, 2), (2, 1), (1, 1), (2, 2)} என்பது தற்சுட்டு அல்ல ஆனால் சமச்சீர் மற்றும் கடப்பு தொடர்பாகும்.
(v) {0, 1, 2, 3} -ல் அமைந்த தொடர்பானது தற்சுட்டாக இருக்க வேண்டுமெனில் (0, 0), (1, 1), (2, 2), (3, 3) என்ற உறுப்புகள் கண்டிப்பாக இருக்க வேண்டும். ஆனால் இது சமச்சீர் மற்றும் கடப்புத் தொடர்பாகவும் அமையும். எனவே, (i) இல் சேர்த்தது போல் (1, 2) மற்றும் (2, 3) சேர்த்தால் தேவை பூர்த்தியாகிவிடும். ஆகவே, {(0, 0), (1, 1),(2, 2), (3, 3),(1, 2), (2, 3)} என்பது தற்சுட்டாகும், ஆனால் சமச்சீர் மற்றும் கடப்பு அல்ல.
(vi) மேற்கண்ட முறையையே கடைப்பிடித்தால் {(0, 0),(1, 1), (2, 2), (3, 3), (1, 2)} என்பது தற்சுட்டு ஆகும், கடப்பு ஆகும் ஆனால் சமச்சீர் அல்ல.
(vii) இதே போன்று {(0, 0), (1, 1), (2, 2), (3, 3), (1, 2),(2, 3),(2, 1), (3, 2)} என்பது தற்சுட்டு மற்றும் சமச்சீர் ஆகும் ஆனால் கடப்பு அல்ல.
(viii) {(0, 0), (1,1), (2, 2), (3, 3)} என்பது தற்சுட்டு, சமச்சீர் மற்றும் கடப்பு ஆகும்.
எடுத்துக்காட்டு 1.13 ℤ என்ற கணத்தில், m - n என்பது 12 -ன் மடங்காக இருந்தால் தொடர்பு mRn என வரையறுக்கப்படுகிறது எனில், R ஒரு சமானத் தொடர்பு என நிரூபிக்க.
தீர்வு
m - m = 0 என்பதால், 0 = 0 × 12 என எழுதுவதன் மூலம் பூஜ்ஜியமும் 12 -ன் மடங்கு என்பது உண்மை. ஆகவே mRm என்பது எல்லா m ∈ Z - க்கும் பொருந்தும். எனவே, ℝ தற்சுட்டாகும்.
mRn. என்க. அப்பொழுது k ∈ ℤ க்கு m - n = 12k ஆகும். இதனால் n - m = 12(-k). ஆகையால் nRm ஆகும். இது R சமச்சீர் என்பதைக் காட்டுகிறது.
mRn மற்றும் nRp என்க. அதாவது k, l ∈ℤ -க்கு, m-n = 12k மற்றும் n-p= 12l ஆகும். ஆகவே m – p = 12(k+l). அதாவது mRp. இது R என்பது கடப்பு தொடர் எனக் காட்டுகிறது. எனவே R என்பது சமானத் தொடர்பு ஆகும்.
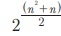
தேற்றம் 1.1 : m உறுப்புகள் கொண்ட கணத்திலிருந்து n உறுப்புகள் கொண்ட ஒரு கணத்திற்கு வரையறுக்கப்படும் தொடர்புகளின் எண்ணிக்கை 2mn ஆகும். குறிப்பாக n உறுப்புகள் கொண்ட ஒரு கணத்தின் மீதான தொடர்புகளின் எண்ணிக்கை
ஆகும்.
நிரூபணம்
A மற்றும் B கணங்களின் உறுப்புகளின் எண்ணிக்கை முறையே m மற்றும் n என்க. ஆதலால் A × B -ல் mn உறுப்புகள் உள்ளது. எனவே அதற்கு 2mn உட்கணங்கள் உள்ளது. A×B-ன் ஒவ்வொரு உட்கணமும் A-லிருந்து B-க்குரிய ஒரு தொடர்பை வரையறுக்கும் என்பதால், n உறுப்புகள் கொண்ட ஒரு கணத்திற்கு m உறுப்புகள் கொண்ட கணத்திலிருந்து வரையறுக்கப்படும் தொடர்புகளின் எண்ணிக்கை 2mn ஆகும். A = B என எடுத்துக்கொண்டால் n உறுப்புகள் கொண்ட ஒரு கணத்தின் மீதான தொடர்புகளின் எண்ணிக்கை
ஆகும்.
குறிப்பு: (i) n. உறுப்புகள் கொண்ட ஒரு கணத்தின் மீதான தற்சுட்டுத் தொடர்புகளின் எண்ணிக்கை
ஆகும்.
(ii) n உறுப்புகள் கொண்ட ஒரு கணத்தின் மீதான சமச்சீர் தொடர்புகளின் எண்ணிக்கை
ஆகும்.
வரையறை 1.5
R என்பது A-லிருந்து B-க்கு உள்ள ஒரு தொடர்பு எனில், B-லிருந்து A-க்கு R-1 = {(b,a) :(a,b) ∈ R} என வரையறுக்கப்படும் தொடர்பு, R-ன் நேர்மாறு (inverse) ஆகும்.
உதாரணமாக, தொடர்பு R = {(1, a), (2, b),(2, c),(3, a)} எனில் நேர்மாறு தொடர்பு R-1 = {(a, 1), (b, 2), (c, 2), (a, 3)} ஆகும். R -ன் சார்பகம் R-1-ன் வீச்சகமாகவும், R -ன் வீச்சகம் R-1-ன் சார்பகமாகவும் மாறும்.
சமானத் தொடர்பின் மூலம் ஒரு கணத்தினை அதன் வெட்டா உட்கணங்களின் சேர்ப்பாக எழுத இயலும். இத்தகைய பிரித்தலை பிரிவினை எனலாம். இதனை கீழ்க்காணும் உதாரணம் மூலம் காணலாம். அனைத்து a, b ∈ ℤ -க்கும் a- b = 3k, k∈ℤ எனுமாறு தொடர்பு aRb வரையறுப்பின் R ஆனது ℤ -ல் ஒரு சமானத் தொடர்பாக அமையும்.
Z0 = {x ∈ ℤ: xR0} எனில் Z0 = {...., - 3, 0, 3, 6, 9, ...}
Z1 = {x ∈ ℤ: xR1} = {..., - 2, 1, 4, 7, 10, ...}
Z2 = {x ∈ ℤ: xR2} = {.., -4, -1, 2, 5, 8, ...)
இங்கு Z0 , Z1 , Z2, ஆகியவை வெட்டாக் கணங்கள் மட்டுமன்றி ℤ = Z0, U Z1, U Z2,
கொடுக்கப்பட்ட பிரிவினை S = S1US2, U... USn.. - க்கு S மீது R என்ற சமானத் தொடர்புக்கு x, y ∈ Si எனில் xRy எனக் காணலாம். சமானத் தொடர்பு உயர் கணிதத்தில் பரவலாக பயன்படுத்தப்படுகிறது
-
பயிற்சி 1.2
1. கீழ்க்காணும் தொடர்புகளுக்கு தற்சுட்டு, சமச்சீர் மற்றும் கடப்பு ஆகியவற்றை பற்றி ஆராய்க
(i) மிகை முழு எண்களில் தொடர்பு R ஆனது “n -ன் வகுத்தி m ஆக இருந்தால் mRn" என வரையறுக்கப்படுகிறது.
(ii) P என்பது தளத்திலுள்ள அனைத்து நேர்க்கோடுகளின் கணத்தைக் குறிப்பதாகக் கொள்க. தொடர்பு R என்பது "l ஆனது m-க்குச் செங்குத்தாக இருந்தால் lRm" என வரையறுக்கப்படுகிறது.
(iii) A என்பது ஒரு குடும்பத்தின் உறுப்பினர்கள் அனைவரையும் கொண்ட கணமாகக் கருதுக. “a என்பவர் b -ன் சகோதரி இல்லையெனில் தொடர்பு R ஆனது aRb” என வரையறுக்கப்படுகிறது
(iv) A என்பது ஒரு குடும்பத்தின் பெண் உறுப்பினர்கள் அனைவரையும் கொண்ட கணம் என்க. தொடர்பு R என்பது " a என்பவர் b-ன் சகோதரி இல்லையெனில் தொடர்பு R ஆனது aRb” என வரையறுக்கப்படுகிறது.
(v) அனைத்து இயல் எண்களின் கணத்தில் தொடர்பு R என்பது "x + 2y = 1" எனில் xRy என வரையறுக்கப்படுகிறது.
2. X = {a, b, c, d} மற்றும் R = {(a, a), (b, b), (a, c)} என்க. தொடர்பு R -ஐ
(i) தற்சுட்டு (ii) சமச்சீர் (iii) கடப்பு (iv) சமானத் தொடர்பு என உருவாக்க R-உடன் சேர்க்கப்பட வேண்டிய குறைந்தபட்ச உறுப்புகளை எழுதுக.
3. A = {a,b,c} மற்றும் R = {(a, a),(b, b),(a, c)} என்க. தொடர்பு R-ஐ (i) தற்சுட்டு (ii) சமச்சீர் (iii) கடப்பு (iv) சமானத் தொடர்பு என உருவாக்க R-உடன் சேர்க்க வேண்டிய குறைந்தபட்ச உறுப்புகளை எழுதுக.
4. ஒரு தளத்திலுள்ள அனைத்து முக்கோணங்களின் கணத்தை P என்போம். P -ல் R என்ற தொடர்பானது "a ஆனது b ன் வடிவொத்ததாக இருப்பின் aRb" என வரையறுக்கப்படுகிறது. R என்பது சமானத் தொடர்பு என நிறுவுக.
5. இயல் எண்களின் கணத்தில் R என்பது "2a + 3b = 30 எனில் aRb" என வரையறுக்கப்படுகிறது. R -ல் உள்ள உறுப்புகளை எழுதுக. அது (i) தற்சுட்டு (ii) சமச்சீர் (iii) கடப்பு (iv) சமானத் தொடர்பா என்பதை சரிபார்க்க.
6. சென்னையில் உள்ள மக்களின் கணத்தில் "நட்பு" ஒரு சமானத் தொடர்பன்று என்பதை நிரூபிக்க.
7. இயல் எண்களில் கணத்தில் தொடர்பு R ஆனது "a + b ≤ 6 ஆக இருந்தால் aRb" என வரையறுக்கப்படுகிறது. R-ல் உள்ள உறுப்புகளை எழுதுக. அது (i) தற்சுட்டு (ii) சமச்சீர் (iii) கடப்பு (iv) சமானத் தொடர்பு என்பதை சரிபார்க்க.
8. A = {a, b, c} என்க. A-ன் மீதான மிகச்சிறிய செவ்வெண்மையுடைய சமானத் தொடர்பு என்ன? A -ன் மீதான மிகப்பெரிய செவ்வெண்மையுடைய சமானத் தொடர்பு என்ன?
9. ℤ -ல் "m-n ஆனது 7 ஆல் வகுபடுமெனில் mRn" எனத் தொடர்பு R வரையறுக்கப்பட்டால் R என்பது சமானத் தொடர்பு என நிரூபிக்க.