ஒளியியல் | இயற்பியல் - ஒளிவிலகல் | 12th Physics : UNIT 6 : Ray Optics
ஒளிவிலகல் (Refraction)
ஒளியானது. ஓர் ஊடகத்திலிருந்து மற்றோர் ஊடகத்திற்கு
அவ்விரு ஊடகங்களைப்பிரிக்கும் எல்லை வழியாகச் செல்லும் நிகழ்வு ஒளிவிலகல் எனப்படும்.
ஒளிவிலகலில், ஓர் ஊடகத்தின் படுகோணம் (i), மற்றும் மற்றோர் ஊடகத்தின் விலகுகோணம்
(r) போன்றவை, ஒளிக்கதிர்படும் புள்ளியில் இரண்டு ஊடகங்களையும் பிரிக்கும் தளத்திற்கு
வரையப்பட்ட செங்குத்துக் கோட்டினைப் பொருத்து அளக்கப்படுகின்றன. ஒளிவிலகல் விதியினை
ஸ்னெல் விதி (Snell's law) என்றும் அழைக்கலாம்.
ஸ்னெல்
விதியின்படி
அ) படுகதிர், விலகுகதிர், விலகுதளம் மற்றும்
விலகுதளத்திற்கு வரையப்பட்ட செங்குத்துக்கோடு இவை அனைத்தும் ஒரே தளத்தில் அமையும்.
ஆ) முதல் ஊடகத்தின் படுகோணத்தின் சைன் மதிப்பிற்கும்
(sin i), இரண்டாவது ஊடகத்தின் விலகுகோணத்தின் சைன் மதிப்பிற்கும் (sin r) உள்ள விகிதம்,
இரண்டாவது ஊடகத்தின் ஒளிவிலகல் எண்ணுக்கும் (n2) முதல் ஊடகத்தின் ஒளிவிலகல்
எண்ணுக்கும் (n1) உள்ள விகிதத்திற்குச் சமமாகும்.

மேற்கண்ட சமன்பாடு விகித வடிவில் உள்ளது. இதனை
பெருக்கல் வடிவில் பின்வருமாறும் எழுதலாம்.
இரு ஊடகங்களைப் பிரிக்கும் எல்லையில் ஏற்படும்
ஒளிவிலகல்படம் 6.15இல்காட்டப்பட்டுள்ளது.

படுகதிர் செங்குத்தாக தளத்தில் விழும்போது அதன் படுகோணம் சுழியாகும்
படுகதிருக்கும், விலகுகதிருக்கும் இடையே உள்ள
கோணம் விலகுகோணம் எனப்படும். ஒளிக்கதிர் அடர்குறை ஊடகத்திலிருந்து அடர்மிகு ஊடகத்திற்குள்
செல்லும் போது செங்குத்துக்கோட்டை நோக்கி வளையும். இது படம் 6.16இல் காட்டப்பட்டுள்ளது.
இத்தகைய நிகழ்வுக்கான விலகுகோணம்.

மாறாக, ஒளிக்கதிர் அடர்மிகு ஊடகத்திலிருந்து,
அடர்குறை ஊடகத்திற்குள் செல்லும் போது, செங்குத்துக் கோட்டைவிட்டு விலகிச் செல்லும்.
இது படம் 6.17 இல் காட்டப்பட்டுள்ளது. இத்தகைய நிகழ்வுக்கான விலகுகோணம்



அ) ஒளி அடர்குறை ஊடகத்தில் இருந்து, அடர்மிகு
ஊடகத்திற்குள் செல்லும்போது அது அடர்மிகு ஊடகத்தில் உள்ள செங்குத்துக்கோட்டை நோக்கி
வளையும்.
ஆ) ஒளி அடர்மிகு ஊடகத்தில் இருந்து, அடர்குறை
ஊடகத்திற்குள் செல்லும்போது அது அடர்குறை ஊடகத்தில் உள்ள செங்குத்துக்கோட்டைவிட்டு
விலகிச்செல்லும்.
இ) எந்த ஒளிவிலகு பரப்பாக இருந்தாலும், அது
சிறிதளவு ஒளி எதிரொளிப்பையும் ஏற்படுத்தும். எனவே, விலகலடைந்த ஒளிக்கதிரின் செறிவு,
படுகதிரின் செறிவைவிடக் குறைவாகவே காணப்படும். இவ்வாறு ஒரே ஒளி மூலத்திலிருந்து வரும்
ஒளியின் ஒரு பகுதி ஒளி எதிரொளிப்பையும், மற்றொரு பகுதி ஒளிவிலகலையும் அடையுமானால் அதற்கு
ஒரேநேர எதிரொளிப்பு அல்லது ஒரேநேர ஒளிவிலகல் (simultaneous reflection and simultaneous
refraction) என்று பெயர். இது படம் 6.18 இல் காட்டப்பட்டுள்ளது. பகுதி வெள்ளி பூசப்பட்ட
கண்ணாடியில் இதுபோன்ற ஒரே நேர எதிரொளிப்பு மற்றும் விலகு பரப்புகள் காணப்படும்.

பரப்புகளின் மீது தகுந்த பூச்சை ஏற்படுத்துவதன் மூலம் ஒரே நேர ஒளிவிலகல் மற்றும் ஒளி எதிரொளிப்பை தோற்றுவிக்கும் ஒளிப்பரப்புகளை உருவாக்கலாம். இவ்வாறு, ஒரு கண்ணாடிப் பரப்பின் மீது பூசும் பொருளின் அளவை மாற்றி அதனைப் பகுதி ஒளிபுகு பரப்பாகவும், பகுதி ஒளி எதிரொளிப்புப் பரப்பாகவும் மாற்றலாம். இவ்வாறு உருவாக்கப்பட்ட கண்ணாடியை வணிகரீதியாக இருவழிக் கண்ணாடி மற்றும் அரை அல்லது பாதி வெள்ளி பூசப்பட்ட கண்ணாடி என அழைக்கிறார்கள். இருவழி கண்ணாடி பின்பக்கம் முழுவதும் இருளாக்கப்பட்டால் அது பார்ப்பதற்கு சாதாரண ஒரு வழி கண்ணாடி போன்றே காணப்படும். ஆனால், இருவழிக் கண்ணாடியின் பின்புறம் கேமிராக்கள் மறைத்து வைக்கப்பட்டிருக்கலாம். எனவே, நமக்கு அறிமுகமில்லாத இடங்களில் வைக்கப்பட்டுள்ள கண்ணாடிகளின் முன்பு நாம் நிற்கும் போது மிகவும் எச்சரிக்கையாக இருக்க வேண்டும். இருவழிக் கண்ணாடியா என சோதித்துப்பார்க்க ஒரு வழிமுறை உள்ளது. விரலால் கண்ணாடியைத் தொடும்போது, விரலுக்கும் அதன் பிம்பத்திற்கும் இடையே இடைவெளி இருந்தால் அது சாதாரண கண்ணாடி. அவ்வாறு இல்லாமல் விரல் நேரடியாகப் பிம்பத்தைத் தொட்டால் அஃது இருவழிக் கண்ணாடியாகும்.


மீளும் கொள்கையின்படி, ஒளி செல்லும் பாதையின்
திசையைப் பின்னோக்கித் திருப்பும் போது (reversed), ஒளி மிகச்சரியாக தான் கடந்துவந்த
பாதையின் வழியாகவே திரும்பிச் செல்லும். இக்கொள்கை ஒளி எதிரொளிப்பு மற்றும் ஒளிவிலகல்
இரண்டிற்கும் பொருந்தும். இது படம் 6.19 இல் காட்டப்பட்டுள்ளது.

ஸ்னெல் விதி சமன்பாட்டிலுள்ள(n2/n1)பதத்திற்கு
முதல் ஊடகத்தைப் பொருத்து, இரண்டாவது ஊடகத்தின் ஒப்புமை ஒளிவிலகல் எண் என்று பெயர்.
இதனை (n21) என எழுதலாம்.

ஒப்புமை ஒளிவிலகல் எண் சமன்பாட்டிலிருந்து
மேலும் சில பயனுள்ள தொடர்புகளை வருவிக்கலாம் அவை முறையே,
அ) நேர்மாறு விதி

ஆ) சங்கிலி விதி

எடுத்துக்காட்டு
6.7
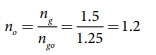
ஒளிபுகும் எண்ணெய்யின் வழியாகச் செல்லும் ஒளிக்கதிர்,
ஒளிவிலகல் எண் n8 1.5 கொண்ட கண்ணாடியினுள் நுழைகிறது. எண்ணெய்யைப் பொருத்துக்
கண்ணாடியின் ஒளிவிலகல் எண் n. 1.25 எனில், எண்ணெய்யின் ஒளிவிலகல் எண் என்ன ?
தீர்வு
கொடுக்கப்பட்டவை ngo =1.25 மற்றும்
ng =1.5 எண்ணெய்யைப் பொருத்து கண்ணாடியின் ஒளிவிலகல் எண்

சமன்பாட்டினைச் சீரமைக்கும்போது

எனவே எண்ணெய்யின் ஒளிவிலகல் எண் n0 = 1.2 ஆகும்.
பொதுவாக நீர் நிரப்பப்பட்ட தொட்டியினுள் பார்க்கும்போது,
தொட்டியின் அடிப்பரப்பு சற்று மேலே தெரிவதுபோலத் தோன்றும். இது படம் 6.20 (அ) வில்
காட்டப்பட்டுள்ளது. செங்குத்து நிலையில் பார்க்கும்போது தெரியும் தோற்ற ஆழத்திற்கான
சமன்பாட்டை நாம் வருவிக்கலாம். அதற்கான கதிர்ப்ப டம் படம் 6.20 (ஆ) மற்றும் (இ) இல்
காட்டப்பட்டுள்ளது.


தொட்டியின் அடியில் உள்ள (O) என்ற பொருளிலிருந்து
வரும் ஒளி அடர்மிகு ஊடகத்தில் இருந்து (நீர்) அடர்குறை ஊடகத்திற்கு (காற்று) வந்து
நமது கண்களை அடைகிறது. இவ்வொளிக்கதிர் அடர்குறை ஊடகத்தில் படுகதிர் படும்புள்ளியில்
(B) வரையப்பட்டுள்ள செங்குத்துக் கோட்டினைவிட்டு விலகிச்செல்லும். அடர்மிகு ஊடகத்தின்
ஒளிவிலகல் எண் (n1) மேலும் அடர்குறை ஊடகத்தின் ஒளிவிலகல் எண் (n2).
இங்கு n1, > n2 அடர்மிகு ஊடகத்தில் படுகோணத்தின் மதிப்பு
(i) மற்றும் அடர்குறை ஊடகத்தில் விலகு கோணத்தின் மதிப்பு (r). நேர்க்கோடுகள் NN' மற்றும்
OD இரண்டும் இணையானவை. எனவே, கோணம் ∠DIB யும்
(r) ஆகும். கோணங்கள் (i) மற்றும் (r) இரண்டும் மிகவும் சிறியவை. எனவே, பொருள் O விலிருந்து
வெளிவந்து நம் கண்களை அடையும் கதிர்களும் மிகவும் குறுகியவையே. இவ்ஒளிவிலகலுக்கான ஸ்னெல்
விதியின் பெருக்கல் வடிவம்

கோணங்கள் (i) மற்றும் (r) ஆகியவற்றின் மதிப்பு
மிகவும் குறைவு. எனவே, இதனைப் பின்வருமாறு தோராயமாக்கலாம், sini ͠ppppppp
tani;
n1 tani =n2 tani
முக்கோணங்கள் ΔDOB மற்றும்
ΔDIBயில்

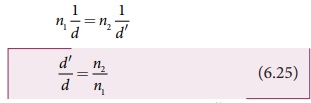
இரண்டு பக்கமுள்ள DBக்களும் ஒன்றை ஒன்று சமன்
செய்து கொள்ளும். எனவே DO என்பது உண்மையான ஆழம் (d) மற்றும் DI என்பது தோற்ற ஆழம்
d' ஆகும்.

மேற்கண்ட சமன்பாட்டை d' க்கு மாற்றி அமைக்கும்போது,

இங்கு அடர்குறை ஊடகம் காற்று. அதன் ஒளிவிலகல்
எண் 1, (n2 = 1). மேலும், அடர்மிகு ஊடகத்தின் ஒளிவிலகல் எண் n1,
ஐ n என எடுத்துக்கொண்டால், (n1 = n), இதற்கான தோற்ற ஆழச் சமன்பாடு

தொட்டியின் அடிப்பரப்பு d-d' அளவு மேலே எழும்பித்
தெரியும். எனவே,

எடுத்துக்காட்டு
6.8
தொட்டி ஒன்றினுள் ஒன்றுடன் ஒன்று கலக்காத மற்றும்
ஒளிவிலகல் எண்கள் முறையே 1.3, 1.4 மற்றும் 1.5 கொண்ட மூன்று திரவங்கள் 30 cm, 16
cm மற்றும் 20 cm உயரத்திற்கு நிரப்பி வைக்கப்பட்டுள்ளன. அத்தொட்டியின் அடிப்பரப்பில்
நாணயம் ஒன்று உள்ளது. வெளியில் உள்ள காற்று ஊடகத்திலிருந்து நாணயத்தைப் பார்க்கும்போது,
எந்தத் தோற்ற ஆழத்தில் நாணயம் தெரியும்? எந்த ஊடகத்தில் நாணயம் இருப்பது போன்று தோன்றும்?
தீர்வு
மேலே இருந்து பார்க்கும் போது, நாணயம் அடிப்பரப்பிலேயே
தொடர்ந்து தெரியும். மேலும், ஒவ்வோர் ஊடகமும் வெளியில் உள்ள காற்று ஊடகத்தைப்பொருத்துச்
சுருங்கித் தெரியும். இது கீழே உள்ள படத்தில் சுட்டிக்காட்டப்பட்டுள்ளது.

ஒவ்வோர் ஊடகத்திற்குமான தோற்ற ஆழச் சமன்பாடுகள்,


வெவ்வேறு ஒளிவிலகல் எண்களைக் கொண்டுள்ள வளிமண்டலத்தின் வெவ்வேறு
அடுக்குகளின் வழியே ஒளி செல்லும்போது தொடர்
ஒளிவிலகல் ஏற்படுவதினால் அதன்பாதை தொடர்ந்து
விலகலடையும். உதாரணமாகச் சூரிய உதயத்தின் போது நாம் காணும் சூரியன், உண்மையில் சூரியன்
உதிப்பதற்குச் சிறிதுநேரத்திற்கு முன்பே தெரியத் தொடங்கும். இதே போன்று, சூரியன் உண்மையில்
மறைந்த பிறகும் நமக்குச் சூரியன் தெரியும். இவ்விரண்டு நிகழ்வுகளுக்கும் காரணம், வளிமண்டலத்தினால்
ஏற்படும் ஒளிவிலகல் ஆகும். உண்மையான சூரிய உதயம் என்பது சூரியன் கிடைத்தளத்தைக் கடப்பதைக்
குறிக்கிறது. கீழே காட்டப்பட்டுள்ள படங்கள் கிடைத்தளத்தைப் பொருத்துச் சூரியனின் உண்மையான
நிலை மற்றும் தோற்ற நிலைகளைக்காட்டுகின்றன. இப்படம் வளிமண்டலத்தினால் ஏற்படும் ஒளிவிலகலைவிளக்குவதற்காக
மிகைப்படுத்தப்பட்ட படமாகும். சூரியனின் திசையில் ஏற்படும் தோற்ற மாற்றம் கிட்டத்தட்ட
அரை டிகிரி. இதற்கான நேர வேறுபாடு 2 நிமிடங்களாகும். இதே நிகழ்வின் காரணமாகத்தான் சூரிய
உதயம் மற்றும் மறைவின் போது சூரியன் சற்று தட்டையாகத் தெரிகிறது (முட்டை வடிவில்).
படத்தில் காட்டப்பட்டுள்ள விண்மீன்களின் நிலைகளுக்குக் காரணமும் இதே நிகழ்வுதான். உண்மையில்
விண்மீன்கள் மின்னுவதில்லை, அவை மின்னுவதுபோன்று தோன்றுகின்றன. இதற்குக் காரணம் வெவ்வேறு
ஒளிவிலகல் எண்களைப்பெற்றுள்ள வளிமண்டல அடுக்குகளின் இயக்கமேயாகும். இரவு வானில் தெளிவாக
இதனை நாம் காணலாம்.

ஒளிக்கதிரொன்று அடர்மிகு ஊடகத்திலிருந்து அடர்குறை
ஊடகத்திற்குச் செல்லும்போது; அதன்பாதையிலிருந்து விலகிச் செங்குத்துக் கோட்டை விட்டு
விலகிச் செல்கிறது. இதன் காரணமாக அடர் குறை ஊடகத்தில் விலகுகோணம் (r), அடர்மிகு ஊடகத்தில்
படுகோணம் (i)ஐ விட அதிகமாக உள்ளது.
பொதுவாகப் படுகோணத்தைப் (i) படிப்படியாக அதிகரிக்கும்போது
விலகுகோணம் (r) விரைவாக அதிகரிக்கும். ஒரு கட்டத்தில் இதன் மதிப்பு 90° ஐ அடையும் அல்லது
விலகு கதிர் இரண்டு ஊடகங்களையும் பிரிக்கும் எல்லையினைத் தழுவிச் செல்லும். அடர்மிகு
ஊடகத்தில் எந்தப் படுகோணமதிப்பிற்கு, விலகுகதிர் ஊடகங்களைப்பிரிக்கும் எல்லையைத் தழுவிச்செல்கிறதோ,
அந்தப் படுகோணமே மாறுநிலைக் கோணமாகும் ie . அடர்மிகு ஊடகத்தில் படுகோணத்தின்
மதிப்பினை மாறுநிலைக் கோணத்தைவிட அதிகரிக்கும்போது, அடர்குறை ஊடகத்தில் ஒளிவிலகல் ஏற்பட
எவ்வித சாத்தியமும் இல்லை . அப்போது ஒளி முழுவதும் அடர்மிகு ஊடகத்திலேயே எதிரொளிக்கும்.
இந்நிகழ்ச்சிக்கு முழு அக எதிரொளிப்பு என்று பெயர். இது படம் 6.21 இல் காட்டப்பட்டுள்ளது.
முழு அக எதிரொளிப்பு ஏற்படுவதற்கான இரண்டு
நிபந்தனைகள்
(அ) ஒளி அடர்மிகு ஊடகத்தில் இருந்து, அடர்குறை
ஊடகத்திற்குச் செல்லவேண்டும்.
(ஆ) அடர்மிகு ஊடகத்தில் படுகோணத்தின் மதிப்பு,
மாறுநிலைக் கோணத்தைவிட, அதிகமாக இருக்கவேண்டும். (i>ic)

மாறுநிலை படுகோணத்திற்கு, ஸ்னெல் விதியின்
பெருக்கல் வடிவம் (6.19) பின்வரும் வடிவில் அமையும்


இங்கு n1>n2 அடர்குறை
ஊடகம் காற்று ஊடகம் எனில் அதன் ஒளிவிலகல் எண்ணை 1 எனவும், அடர்மிகு ஊடகத்தின் ஒளிவிலகல்
எண்ணைா எனவும் கருதலாம்.
அதாவது (n2=1) மற்றும் (n1=n)

எடுத்துக்காட்டாக, கண்ணாடியின் ஒளிவிலகல் எண்
1.5. கண்ணாடி- காற்று இடைமுகத்தின்
(Interface) மாறுநிலைக்கோணம், ic=
sin-1 (1/1.5)
= 41.8. தண்ணீர் - காற்று இடைமுகத்தின் மாறுநிலைக்கோணம்
i = sin-1 (1/1.3) 48.6°.
மாறுநிலைக்கோணம் ic ஊடகத்தின் ஒளிவிலகல்
எண்ணைச் சார்ந்துள்ளது. வெவ்வேறு பொருள்களின் ஒளி விலகல் எண் மற்றும் மாறுநிலைக் கோணம்
போன்றவை அட்டவணை 6.3 இல் கொடுக்கப்பட்டுள்ளன.