ஒளியியல் | இயற்பியல் - ஒற்றை கோளகப்பரப்பில் ஏற்படும் ஒளிவிலகல் | 12th Physics : UNIT 6 : Ray Optics
ஒற்றை கோளகப்பரப்பில் ஏற்படும் ஒளிவிலகல்
(Refraction at single spherical surface)
இதுவரை நாம் சமதளப்பரப்பில் ஏற்படும் ஒளிவிலகலைப்
பற்றி மட்டுமே பயின்றோம். இரண்டு ஒளிபுகும் ஊடகங்களுக்கு நடுவே உள்ள கோளகப் பரப்பிலும்
ஒளிவிலகல் நடைபெறும். கோளகப்பரப்பின் ஒவ்வொரு புள்ளியிலும் ஒளிவிலகல் விதி பொருந்தும்.
ஒளிக்கதிர் படும் புள்ளியில் உள்ள செங்குத்துக்கோடு, அப்புள்ளியின் கோளகப்பரப்பிற்கு
வரையப்பட்ட தொடுகோட்டுப் பரப்பிற்குச் செங்குத்தாகும். எனவே, செங்குத்துக் கோடு எப்போதும்
வளைவு மையம் வழியாகவேச் செல்லும். ஒற்றைக் கோளகப்பரப்பில் ஏற்படும் ஒளிவிலகல் பற்றிய
அறிவானது, இருபரப்புகொண்ட லென்ஸ்களைப்பற்றி புரிந்துகொள்ள துணைபுரியும். லென்ஸின் இரண்டு
பரப்புகளில் ஏதேனும் ஒரு பரப்பு அல்லது இரண்டு பரப்புகளுமே கோளகப்பரப்பாக இருக்கலாம்.
கோளகப் பரப்பில் ஏற்படும் ஒளிவிலகலைப்பற்றி
படிக்கும்போது, பின்வரும் அனுமானங்களை நினைவில் கொள்ள வேண்டும்.
(அ) படும் ஒளிக்கதிர் ஒற்றை நிறம் கொண்டதாகக்
கருதவேண்டும்.
(ஆ) படும் ஒளிக்கதிர், முதன்மை அச்சுக்கு மிக நெருக்கமாகக் செல்வதாகக் கருதவேண்டும் (அண்மை அச்சுக்கதிர்) கோளக ஆடிகளுக்கு பயன்படுத்தப்படும் குறியீட்டு மரபுகளை இவற்றிற்கும் பயன்படுத்தலாம்.
n1 மற்றும் n2 ஒளிவிலகல்
எண்கொண்ட இரண்டு ஒளிபுகும் ஊடகங்கள் படம் 6.31-இல் காட்டியுள்ளவாறு கோளகப்பரப்பு ஒன்றினால்
பிரிக்கப்பட்டுள்ளன. கோளகப்பரப்பின் வளைவு மையத்தை C என்க. 0 என்ற புள்ளிப்பொருளொன்று
n1 ஒளிவிலகல் கொண்ட ஊடகத்தில் உள்ளது எனக்கருதுக . OC கோடு, கோளகப்பரப்பை
பரப்புமுனை P- யில் வெட்டுகிறது. ஒளிக்கதிர்களை அண்மை அச்சுக்கதிர்களாகக் கருதுவதால்
படும்புள்ளிக்கும், முதன்மை அச்சுக்கும் வரையப்பட்ட செங்குத்துக்கோடு பரப்புமுனை P-
க்கு நெருக்கமாக அல்லது P வழியே செல்கிறது.

புள்ளி O விலிருந்து வரும் ஒளிக்கதிர் ஒளிவிலகு பரப்பின் மீது N என்ற புள்ளியில் விழுகிறது. இப்படுபுள்ளிக்கு வரையப்பட்ட செங்குத்துக்கோடு வளைவு மையம் C வழியே செல்கிறது. இங்கு n2 > n1 எனவே, அடர்மிகு ஊடகத்தில் உள்ள ஒளிக்கதிர் செங்குத்துக்கோட்டினை நோக்கி விலகி முதன்மை அச்சை I என்ற புள்ளியில் சந்திக்கிறது. அப்புள்ளியில் பிம்பம் ஏற்படுகிறது.
N புள்ளியில் ஏற்படும் ஒளிவிலகலுக்கான, ஸ்னெல்
விதியின் பெருக்கல் வடிவம் பின்வருமாறு,

கோணங்கள் மிகச்சிறியவை. எனவே, கோணங்களின் சைன்
மதிப்புகளை, நேரடியாகக் கோணங்களாகவே எடுத்துக்கொள்ளலாம்.

கோணங்கள்,

இந்தக் கோணங்களும் மிகச்சிறியவைகளாகும், எனவே,
கோணங்களின் டேன் மதிப்புக்கு பதிலாக, கோணங்களையே எடுத்துக்கொள்ளலாம்.

முக்கோணம், ΔONC,
யிலிருந்து

முக்கோணம், ΔINC,
யிலிருந்து,

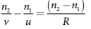
சமன்பாடு 6.53 மற்றும் 6.54 இல் இருந்து (i)
மற்றும் (r) மதிப்புகளைச் சமன்பாடு 6.51- இல் பிரிதியிடு.
n1 (a + β) =
n2 (β-ϒ)
சமன்பாட்டினை மாற்றி அமைக்கும்போது,
n1a + n2
ϒ
= (n2, - n1) β
சமன்பாடு 6.52 இல் இருந்து a, β மற்றும்
Y மதிப்புகளைப் பிரதியிட

PN ஐ நீக்கிவிட்டு மேலும் சுருக்கும்போது

சமன்பாடு 6.55 ல் குறியீட்டு மரபினைப் பின்பற்றும்போது,
PO = -u, PI = +v மற்றும் PC = +R எனவே, சமன்பாடு (6.55)ஐ பின்வருமாறு எழுதலாம்,

சமன்பாட்டினை மாற்றி அமைத்து, இறுதியாக நாம்
பெறுவது

சமன்பாடு 6.56, பொருளின் தொலைவு, பிம்பத்தின்
தொலைவு, இரண்டு ஊடகங்களின் ஒளிவிலகல் எண்கள் மற்றும் வளைபரப்பின் வளைவு ஆரம் போன்றவற்றை
ஒன்றுடன் ஒன்று தொடர்புபடுத்துகிறது. இச்சமன்பாடு எந்த ஒரு வளைபரப்பிற்கும் அல்லது
கோளகப்பரப்பிற்கும் பொருந்தும். முதல் ஊடகம் காற்று எனில் n1 = 1. மேலும்,
இரண்டாவது ஊடகத்தின் ஒளிவிலகல் எண் n2, வை n எனவும் கொண்டால், மேற்கண்ட
சமன்பாடு பின்வருமாறு சுருங்கும்.

எடுத்துக்காட்டு
6.12
பின்வரும் படத்தில் காட்டப்பட்டுள்ள புள்ளிப்பொருள்
O வின் பிம்பம் எங்குத் தோன்றும் எனக் குறிப்பிட்டுக்காட்டுக. படத்தில் C என்பது ஊடகங்களைப்
பிரிக்கும் தளத்தின் வளைவு ஆரமாகும்.

தீர்வு
கொடுக்கப்பட்டவை u = -15 cm R = 30 cm மற்றும்
n2 = 1.5
ஒற்றை கோளகப்பரப்பு சமன்பாடு

மதிப்புகளைப் பிரதியிடும் போது,

கோளகப்பரப்பின் இடப்பக்கமாக 30 cm தொலைவில் மாயபிம்பம் தோன்றும்.
நீளமான ஒரு பொருள் OO' என்ற பொருளைக் கருதுக.
இப்பொருள் முதன்மை அச்சுக்கு செங்குத்தாகவும், ஒற்றை கோளகப்பரப்பிற்கு இடப்பக்கமாகவும்
உள்ளது. இது படம் 6.32-இல் காட்டப்பட்டுள்ளது. பரப்பின் மறுபுறம் தோன்றும் பிம்பம்
II' ஆகும். O' என்ற முதல் ஊடகத்திலிருந்து புறப்படும் ஒளிக்கதிர் இரண்டாவது ஊடகத்திலுள்ள
C புள்ளியை நோக்கி வருகிறது என்க . இக்கதிர் கோளகப்பரப்பிற்குச் செங்குத்தாக வருவதால்
இரண்டாவது ஊடகத்தில் எவ்வித விலகலும் அடையாது. சமன்பாடு 6.56ஐ பயன்படுத்தி பிம்பத்தின்
இடத்தை அறிந்துகொள்ளலாம்.

பிம்பத்தின் உயரத்திற்கும், பொருளின் உயரத்திற்கும் இடையே உள்ள விகிதத்திற்குப் பக்கவாட்டு உருப்பெருக்கம் (m) அல்லது குறுக்குவெட்டு உருப்பெருக்கம் என்று பெயர்.

ஒத்த முக்கோணங்கள் ΔCOO'
மற்றும் ΔCII'
இல் இருந்து பின்வரும் சமன்பாட்டை அமைக்கலாம்.

மேற்காணும் சமன்பாட்டிற்கு குறியீட்டு மரபைப்
பின்பற்றும் போது
II' =-h2, OO’ =h1,,PI
=+v,
PC =+R, PO =-u
இங்கு h1 என்பது பொருளின் உயரம்
மற்றும் h2 என்பது பிம்பத்தின் உயரமாகும்.

சமன்பாட்டினை மாற்றியமைத்த பின்னர்,

இரண்டு ஊடகங்களின் ஒளிவிலகல் எண்களைப் பயன்படுத்தியும்
பக்கவாட்டு உருப்பெருக்கத்திற்கான கோவையைப் பெறலாம்.
ஒற்றைக் கோளகப்பரப்பிற்கான சமன்பாட்டைக் கருதுக.

இதனை மேலும் சுருக்கும்போது, 

சமன்பாட்டிலிருந்து R ஐ வெளியே எடுக்கும் போது

மாற்றியமைத்த பின்பு

சமன்பாடுகள் (6.61) மற்றும் (6.62) இரண்டையும்
சமன்பாடு (6.60)வில் பிரதியிடும் போது பக்கவாட்டு உருப்பெருக்கத்திற்கான கோவை கிடைக்கும்.

எடுத்துக்காட்டு
6.13
பின்வரும் படத்தில் தோன்றும் பிம்பத்தின் அளவைக்
காண்க

தீர்வு
கொடுக்கப்பட்டவை, u = -40 cm, R = -20 cm,

ஒற்றை கோளகப்பரப்பிற்கு இடப்புறமாக 32 cm தொலைவில்
0.6 cm உயரமுள்ள நேரான மாயபிம்பம் கிடைக்கும்.