தொகை நுண்கணிதத்தின் பயன்பாடுகள் | கணிதவியல் - குறைப்புச் சூத்திரங்கள் (Reduction Formulae) | 12th Maths : UNIT 9 : Applications of Integration
குறைப்புச் சூத்திரங்கள் (Reduction Formulae)
சில வரையறுத்த தொகையிடல்களில் தொகையிட வேண்டிய சார்பின் அடுக்கை குறைத்து தொகையிடல் காண முடியும். இப்பகுதியில்

என்ற வரையறுத்த தொகையிடல்களின் மதிப்புகளையும் ∞∫0 e−x xn dx . என்ற முறையற்ற தொகையிடலின் மதிப்பையும் காணலாம்.
குறைப்புச் சூத்திரத்தை காண்பதற்குரிய வழிமுறைகள் பின்வரும் படிகளில் காணலாம் :
படி 1 : தொகையிடலுக்குரிய சார்பின் அடுக்கு (மிகை முழு எண்) n - ஐ அடையாளம் காண்க.
படி 2 : தொகையிடலை In என்க.
படி 3 : பகுதித் தொகையிடலைப் பயன்படுத்தி In, சமன்பாட்டை In-1 அல்லது In-2, உடைய உறுப்புகளாக மாற்றுக.
இறுதியாக கிடைக்கும் சமன்பாடு In -இன் குறைப்புச் சூத்திரமாகும்.
இங்கு சில குறைப்புச் சூத்திரங்கள் நிரூபணமின்றி பட்டியலிடப்பட்டுள்ளது:

குறைப்புச் சூத்திரங்கள் I மற்றும் II-களைப் பயன்படுத்தி நாம் பெறும முடிவானது (நிரூபணமின்றி):

குறைப்புச் சூத்திரம் III-ஐ திரும்பத் திரும்ப பயன்படுத்தி பின்வரும் முடிவுகளை (நிரூபணமின்றி) நாம் பெறலாம் :
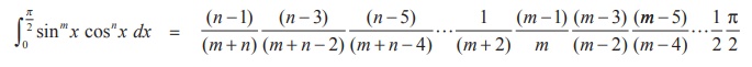
(i) n இரட்டை எண் மற்றும் m இரட்டை எண் எனில்

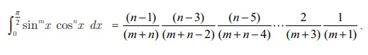
(ii) n ஒற்றை எண் மற்றும் m மிகை முழுக்கள் (இரட்டை எண் அல்லது ஒற்றை எண்), எனில்

குறிப்பு
m மற்றும் n ஏதாவது ஒன்று ஒற்றை எண் எனில் cos x சார்பின் பின் அடுக்கினை ஒற்றை எண் ஆக மாற்ற வேண்டும். எடுத்துக்காட்டாக m ஒற்றை எண் மற்றும் n இரட்டை எண் எனில்

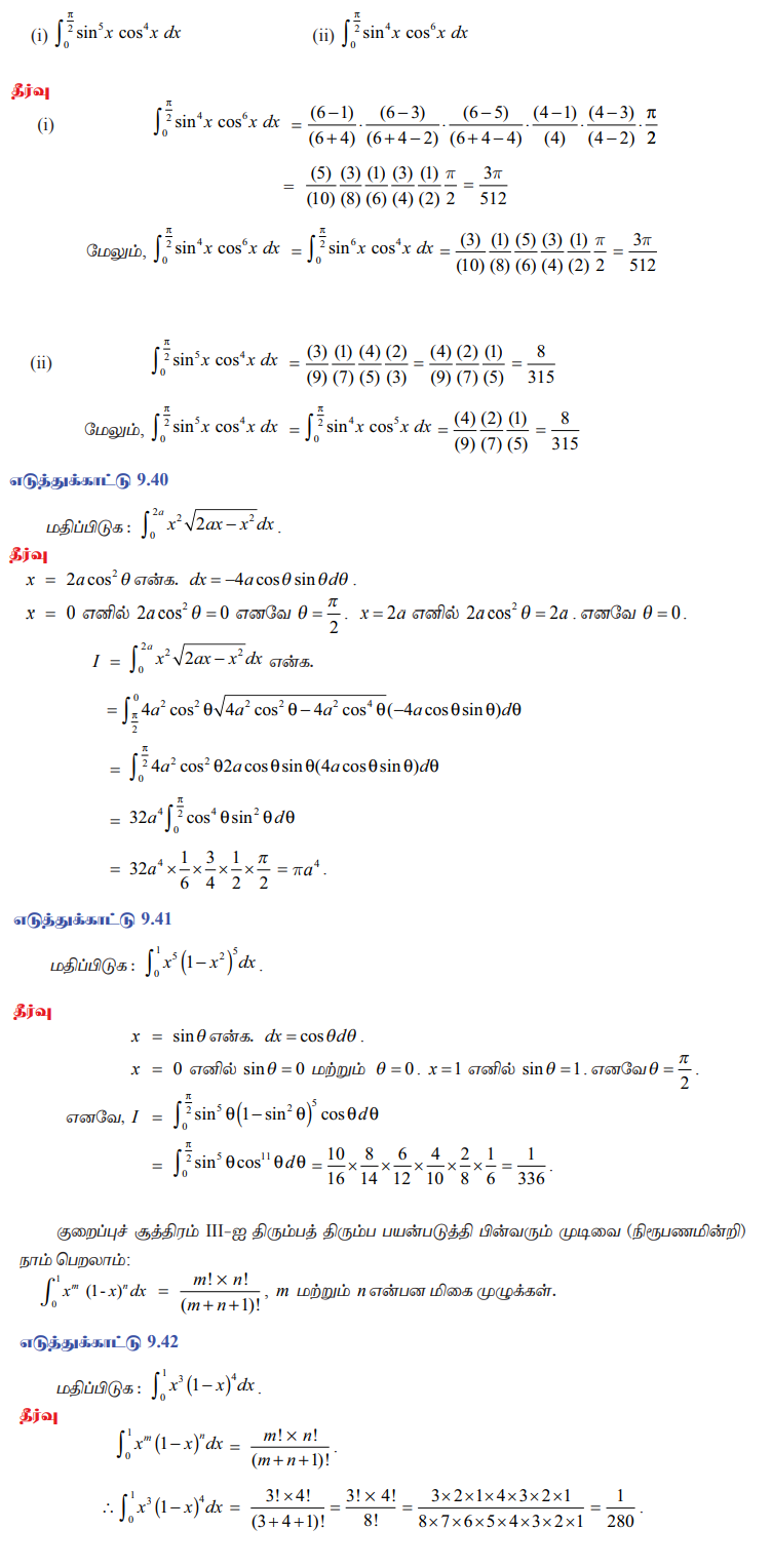
எடுத்துக்காட்டு 9.39
பின்வருபனவற்றின் மதிப்பைக் காண்க:
