கட்ட வெக்டர் மற்றும் கட்ட விளக்கப்படம், வரையறை, விளக்கம், சூத்திரங்கள், தீர்க்கப்பட்ட எடுத்துக்காட்டு சிக்கல்கள் | மாறுதிசை மின்னோட்டம் - மாறுதிசை மின்னோட்டத்தின் RMS மதிப்பு | 12th Physics : UNIT 4 : Electromagnetic Induction and Alternating Current
மாறுதிசை மின்னோட்டத்தின் RMS மதிப்பு
RMS என்ற பதம் நேரத்தைப் பொருத்து மாறுகின்ற
சைன்வடிவ மின்னோட்டங்கள் மற்றும் மின்னழுத்த வேறுபாடுகளைக் குறிக்கின்றது மற்றும் இது
நேர்த்திசை மின்னோட்ட அமைப்புகளில் பயன்படுவதில்லை.
ஒரு மாறுதிசை மின்னோட்டங்களின் RMS மதிப்பு
என்பது ஒரு சுற்றில் உள்ள அனைத்து மின்னோட்டங்களின் இருமடிகளின் சராசரியின் இருமடி
மூலம் என வரையறுக்கப்படுகிறது. இது IRMS எனக் குறிப்பிடப்படுகிறது. மாறுதிசை
மின்னழுத்த வேறுபாடுகளுக்கு RMS மதிப்பானது VRMS என குறிப்பிடப்படுகிறது.
மாறுதிசை மின்னோட்டம் i = Im
sin ɷt அல்லது i=Im sinθ, வரைபடமாக
படம் 4.37 இல் காட்டப்பட்டுள்ளது. தொடர்புடைய இருமடியாக்கப்பட்ட மின்னோட்ட அலையும்
புள்ளியிடப்பட்ட கோட்டால் காட்டப்பட்டுள்ளது.
ஒரு முழுச்சுற்றில் உள்ள அனைத்து இருமடியாக்கப்பட்ட
மின்னோட்டங்களின் கூடுதல், இருமடியாக்கப்பட்ட அலையின் ஒரு சுற்றின் பரப்பிற்குச் சமமாகும்.

இரு மடியாக்கப்பட்ட அலையின் ஒரு சுற்றின் பரப்பு
/ ஒரு சுற்றின் அடிப்பக்க நீளம் (4.33)
படம் 4.37 - இல் காட்டியுள்ளவாறு இருமடியாக்கப்பட்ட
மின்னோட்ட அலையின் முதல் அரைச்சுற்றில் dθ அகலம்
கொண்ட சிறு பட்டையின்பரப்பு கருதப்படுகிறது. i2 என்பது அந்த பட்டையின் மையப்புள்ளிக்கான
இருமடி மின்னோட்ட மதிப்பு எனக் கொள்க.
சிறு பட்டையின் பரப்பு = i2 dθ


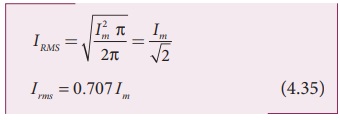
ஒரு சுற்றின் அடிப்பக்க நீளம் 2π ஆகும். இதனை சமன்பாடு (4.33) இல் பிரதியிட, நாம் பெறுவது

ஆகையால், ஒரு சமச்சீரான சைன் வடிவ மின்னோட்டத்திற்கு
அதன் RMS மதிப்பானது அதன் பெரும மதிப்பில் 70.7% உள்ளது என காண்கிறோம். இது போன்றே
மாறுதிசை மின்னழுத்த வேறுபாட்டிற்கு,

எனக் கண்டறியலாம்.
குறிப்பு
மாறுதிசை மின்னோட்டத்தின் RMSமதிப்பானது பயனுறு மதிப்பு எனவும்
அழைக்கப்படுகிறது. அது Iபயன் எனகுறிப்பிடப்படுகிறது. மாறுதிசை மின்னோட்டத்தின்
RMS மதிப்பை அதற்குச் சமமான நேர்திசை மின்னோட்டத்துடன் ஒப்பிடப் பயன்படுகிறது. மாறுதிசை
மின்னோட்டமானது சுற்று ஒன்றின் வழியே குறிப்பிட்ட நேரம் பாயும்பொழுது உருவாக்கும் வெப்ப
ஆற்றலை, அதே நேரத்தில் அதே சுற்றில் உருவாக்கும் மாறாத நேர்மின்னோட்டத்தின் மதிப்பு,
மாறுதிசை மின்னோட்டத்தின் பயனுறு மதிப்பு எனப்படுகிறது. மாறுதிசை மின்னழுத்த வேறுபாட்டின்
பயனுறு மதிப்பு Vபயன் என குறிப்பிடப்படுகிறது.
குறிப்பு
உதாரணமாகமாறுதிசை மின்னோட்டத்தின் ஒரு சுற்றில் i1, i2, .... in என n மின்னோட்டங்களைக் கருதினால், அதன் RMS மதிப்பு வருமாறு

உங்களுக்குத்தெரியுமா?
வீட்டு உபயோக மின்கருவிகளில் மின்னழுத்த வேறுபாடு மற்றும் மின்னோட்டமதிப்பீடுகள்
பொதுவாக அதன் RMS மதிப்பால் குறிப்பிடப்படுகின்றன.வீடுகளுக்கான AC மின்விநியோகம்
230 V, 50 Hz ஆகும். இங்கு 230V என்பது RMS அல்லது பயனுறு மதிப்பு ஆகும். அதன் பெரும
மதிப்பு 
எடுத்துக்காட்டு
4.18
50 Hz அதிர்வெண் மற்றும் பெரும மதிப்பு 20
V கொண்ட ஒரு சைன் வடிவ மின்னழுத்த வேறுபாட்டிற்கான சமன்பாட்டை எழுதுக. தொடர்புடைய மின்னழுத்த
வேறுபாடு மற்றும் நேரம் இடையேயான வரைபடத்தை வரைக.
தீர்வு:
f= 50Hz; Vm = 20 V

அலைவடிவமானது கீழே கொடுக்கப்பட்டுள்ளது

எடுத்துக்காட்டு
4.19
ஒரு மாறுதிசை மின்னோட்டத்தின் சமன்பாடு i
= 77 sin 314t ஆகும். அதன் பெரும மதிப்பு, அதிர்வெண் , அலைவுநேரம் மற்றும் t = 2
ms-இல் கணநேர மதிப்பு ஆகியவற்றைக் காண்க.
தீர்வு:
i = 77 sin 314 t; t = 2 m s = 2x10-3S
மாறுதிசை மின்னோட்டத்தின் பொதுவான சமன்பாடு i = Im. sinwt உடன் ஒப்பிடும்
போது
(i) பெரும மதிப்பு, Im = 77A
(ii) அதிர்வெண், f = w/2π=
314/ 2 × 3.14 = 50 Hz
(iii) அலைவுநேரம், T = 1/f = 1/50 =0.02 S
(iv) t = 2 m s, இல் கண மதிப்பு
i =77sin(314 × 2 × 10-3)
=77sin (314 x2x10-3x1800/3.14)
=77sin36° =77 × 0.5878
= 45.26A
கட்ட
வெக்டர் (Phasor)
ஒரு சைன் வடிவ மாறுதிசை மின்னழுத்த வேறுபாடானது
(அல்லது மின்னோட்டம்) தொடக்கப்புள்ளியைப் பொருத்து, இடஞ்சுழியாக w என்ற கோணத்திசைவேகத்துடன்
சுழலும் ஒரு வெக்டரால் குறிப்பிடப்படுகிறது. அத்தகைய ஒரு சுழலும் வெக்டர் கட்ட வெக்டர்
எனப்படும். கட்ட வெக்டர் பின்வரும் வகையில் வரையப்படுகிறது.
• கோட்டுத் தூண்டின் நீளம், மாறுதிசை மின்னழுத்த
வேறுபாட்டின் (அல்லது மின்னோட்டத்தின்) பெரும மதிப்புக்கு Vm (அல்லது Im)
சமமாக உள்ளது.
• அதன் கோணத்திசைவேகம் w, மாறுதிசை மின்னழுத்த
வேறுபாட்டின் (அல்லது மின்னோட்டத்தின்) கோண அதிர்வெண்ணிற்கு சமமாக உள்ளது.
• எந்த ஒரு செங்குத்து அச்சிலும் உள்ள கட்ட
வெக்டரின் வீழ்ச்சியானது மாறுதிசைமின்னழுத்த வேறுபாட்டின் (அல்லது மின்னோட்டத்தின்)
கணநேர மதிப்பைத் தருகிறது.
• கட்ட வெக்டருக்கும், குறிப்பு அச்சுக்கும்
(நேர் X - அச்சு) இடையே உள்ள கோணம் மாறுதிசை மின்னழுத்த வேறுபாட்டின் (அல்லது மின்னோட்டத்தின்)
கட்டத்தைக் குறிக்கிறது.
கட்ட வெக்டர் என்ற கருத்து வெவ்வேறு மாறுதிசை
மின்னோட்ட சுற்றுகளின் மின்னழுத்த வேறுபாடு மற்றும் மின்னோட்டம் இடையே உள்ள கட்ட தொடர்பை
ஆராய்வதற்காக அறிமுகப்படுத்தப்படுகிறது.
கட்ட
விளக்கப்படம்
பல்வேறு கட்ட வெக்டர்கள் மற்றும் அவற்றின்
கட்டத் தொடர்புகளைக் காட்டும் வரைபடம் கட்ட விளக்கப்படம் எனப்படுகிறது. ஒரு சுற்றுக்கு
அளிக்கப்பட்ட v = Vm sin wt என்ற சைன் வடிவ மாறுதிசை மின்னழுத்த வேறுபாட்டை
கருதுக. இந்த மின்னழுத்த வேறுபாட்டை படம் 4.38 இல் காட்டியுள்ளவாறு
என்ற
கட்ட வெக்டரால் குறிக்கலாம்.

இங்கு
இன் நீளம் பெரும் மதிப்புக்கு
(Vm) சமமாகும். Y - அச்சின் மீதான அதன் வீழ்ச்சி அந்த நேரத்தின் கணநேர மதிப்பு
(Vm sin wt) ஐத் தருகிறது. இது X - அச்சுடன் ஏற்படுத்தும் கோணம் அளிக்கப்பட்ட
மின்னழுத்த வேறுபாட்டின் கட்டத்தைத் (wt) தருகிறது.

O ஐப் பொருத்து,
ஆனது இடஞ்சுழித்
திசையில் w என்ற கோணத்திசைவேகத்துடன் சுழன்றால், மின்னழுத்த வேறுபாட்டின் அலை வடிவம்
தோன்றுகிறது.
இன் ஒரு முழுச் சுழற்சிக்கு மின்னழுத்த வேறுபாட்டின் ஒரு சுற்று
உருவாகிறது.
அதே சுற்றில் உள்ள மாறுதிசைமின்னோட்டத்தை
i = Im sin (wt + Ø) என்ற தொடர்பால் குறிப்பிடலாம். அது மற்றொரு கட்ட வெக்டர்
ஆல் குறிக்கப்படுகிறது. இங்கு Ø என்பது மின்னழுத்த வேறுபாடு மற்றும்
மின்னோட்டம் இடையே உள்ள கட்டக் கோணமாகும். இந்த நேர்வில் படம் 4.39-இல் காட்டியுள்ளவாறு
மின்னழுத்த வேறுபாட்டை விட மின்னோட்டமானது Ø என்ற கட்ட அளவில் முந்தி உள்ளது. மின்னழுத்த
வேறுபாட்டை விட மின்னோட்டம் பின்தங்கி இருப்பின், i = Im sin (wt –Ø ) என
நாம் எழுதலாம்.