1. கலப்பெண்ணின் மட்டுக்கான பண்புகள் (Properties of Modulus of a complex number)
(1) |z| = |
|
(2) | z1 + z2| ≤ |z1| + |z2| (முக்கோணச் சமனிலி)
(3) |z1z2| = |z1||z2|
(4) | z1 − z2| ≥ | z1| − | z2|
(5) 
(6) |zn|=|z|n, இங்கு n ஒரு முழு எண்
(7) Re(z) ≤ |z|
(8) Im(z) ≤ |z|
இவற்றில் சில பண்புகளை நாம் நிறுவுவோம்.
பண்பு (முக்கோண சமனிலி −Triangle inequality)
z1 மற்றும் z2 என்ற ஏதேனும் இரு கலப்பெண்களுக்கு |z1 + z2| ≤ |z1| + |z2| என பெறலாம்.
நிரூபணம்

⇒ |z1 + z2|2 ≤ (|z1| + |z2|)2
⇒ |z1 + z2| ≤ |z1| + |z2|
வடிவக் கணித விளக்கம் (Geometrical interpretation)
நாம் இப்பொழுது O, z1 அல்லது z2, மற்றும் z1 + z2 ஆகியவற்றை முனைப்புள்ளிகளாகக் கொண்ட முக்கோணத்தை கருதுவோம். வடிவியல் வாயிலாக z1 + z2 உடன் தொடர்புடைய முக்கோணத்தின் பக்கம் மீதமுள்ள இரண்டு பக்கங்களின் நீளங்களின் கூடுதலை விட அதிகமாக இருக்காது என நாம் அறிவோம். இதனால் தான் இந்த பண்பினை "முக்கோண சமனிலி" என்கிறோம். இதனை கணிதத் தொகுத்தறிதலைக் கொண்டு முடிவுற்ற எண்ணிக்கையிலான கலப்பெண்களுக்கும் இதனை விரிவுபடுத்தலாம்.

|z1 + z2 + z3 +... + zn| ≤ |z1| + |z2| + |z3|+... + |zn| இங்கு n = 2,3, …
பண்பு
z1 மற்றும் z2 என்ற கலப்பெண்களுக்கு இடைப்பட்ட தூரம் கலப்பெண் தளத்தில் | z1 – z2| ஆகும்.
z1 = x1 + iy1 மற்றும் z1 = x2 + iy2 எனில்
|z1 – z2| = |(x1 – x2) + ( y1 – y2) i|
= √[ (x1 – x2)2 + ( y1 – y2) 2 ]
மேற்குறிப்பு
z1 மற்றும் z2 என்ற இரு கலப்பெண்களுக்கு இடைப்பட்ட தூரம் |z1 – z2| ஆகும்.
இதுபோலவே ஆதி, z1 மற்றும் z2 ஆகியவற்றை முனைப்புள்ளிகளாக கொண்ட முக்கோணத்தில் மேற்கூறிய வழிமுறையின் படி,

|z1 – z2| ≤ |z1| + |z2|
|| z1| – |z2|| ≤ |z1 + z2| ≤ |z1| + |z2| மற்றும்
|| z1| – |z2|| ≤ |z1 – z2| ≤ |z1| + |z2|
பண்பு
பெருக்கலின் எண்ணளவு என்பது எண்ணளவுகளின் பெருக்கல் பலனுக்குச் சமம் ஆகும்
z1 மற்றும் z2 என்ற ஏதேனும் இரண்டு கலப்பெண்களுக்கு |z1z2| = |z1||z2|ஆகும்.
நிரூபணம்

ஆகவே, |z1z2| = |z1||z2|.
குறிப்பு
கணிதத் தொகுத்தறிதல் மூலம் இதனை முடிவுற்ற எண்ணிக்கையிலான கலப்பெண்களுக்கும் இதனை விரிவுபடுத்தலாம்:
|z1 z2 z3 ... zn| = |z1| |z2| |z3|... |zn|
அதாவது கலப்பெண்களின் பெருக்கற் பலனின் மட்டு மதிப்பு என்பது அக்கலப்பெண்களின் மட்டுகளின் பெருக்கலுக்கு சமம் ஆகும்.
இதுபோலவே கலப்பெண்களின் மட்டுகளின் மீதான மற்ற பண்புகளையும் நிறுவலாம்.
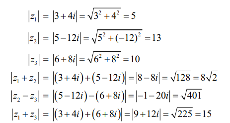
எடுத்துக்காட்டு 2.9
z1 = 3 + 4i, z2 = 5 – 12i, மற்றும் z3 = 6 + 8i எனில் | z1|, | z2|, | z3|, |z1 + z2|, | z1 – z3|, மற்றும் |z1 + z3| ஆகியவற்றின் மதிப்புகளைக் காண்க.
தீர்வு
|z1| = |3 + 4i| = √[32 + 42] = 5
|z2| = |5 − 12i|= √[52 + (−12)2] = 13
|z3| = |6 + 8i| = √[62 +82] =10
|z1 + z2| = |(3 + 4i) + (5 – 12i)| = |8 – 8i| = √128 = 8√2
|z2 – z3| = |(5 – 12i) – (6 +8i)| = |−1 – 20i| = √401
|z1 + z3| = |(3 + 4i) + (6 + 8i)| = |9 + 12i| = √225 =15

எல்லா வகைகளிலும் முக்கோணச் சமனிலி நிறைவு செய்யப்பட்டுள்ளது என்பதைக் காண்க.
|z1 + z3| = |z1| + |z3| = 15 (ஏன்?)
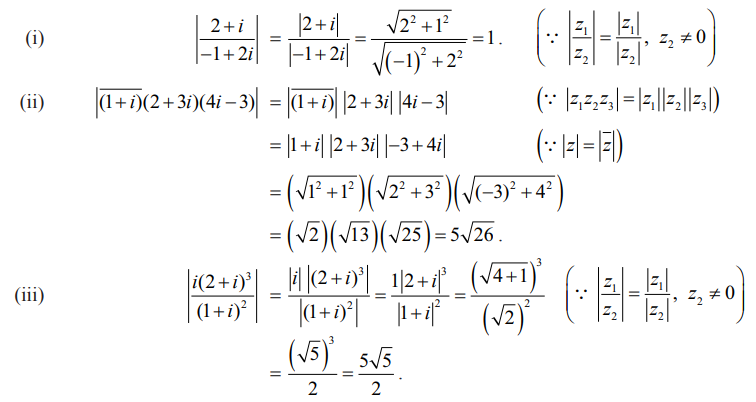
எடுத்துக்காட்டு 2.10
கீழ்க்காண்பவைகளின் மதிப்புகளைக் காண்க.

தீர்வு

எடுத்துக்காட்டு 2.11
i, −2 + i, மற்றும் 3 ஆகியவற்றில் எந்த கலப்பெண் ஆதியிலிருந்து அதிக தொலைவில் உள்ளது?
தீர்வு

z = i, −2 + i, மற்றும் 3 ஆகியவற்றிற்கும் ஆதிக்கும் உள்ள தொலைவுகள்
|z| = |i| =1
| z | = |−2 + i| = √[(−2)2 + 12] = √5
| z| < |3| < 3 ஆகும்.
1< √5 < 3 எனவே, ஆதியிலிருந்து அதிக தொலைவில் உள்ள கலப்பெண் 3 ஆகும்.
எடுத்துக்காட்டு 2.12
z1, z2, மற்றும் z3 ஆகிய கலப்பெண்கள் |z1| = |z2| = |z3| = |z1 + z2 + z3| = 1 என்றவாறு இருந்தால், |1/z1 + 1/z2 + 1/z3| −ன் மதிப்பைக் காண்க.
தீர்வு
|z1| = |z2| = |z3| = 1 எனக் கொடுக்கப்பட்டுள்ளது.

எடுத்துக்காட்டு 2.13
|z| = 2 எனில் 3 ≤ |z + 3 + 4i| ≤ 7 எனக்காட்டுக.
தீர்வு

|z + 3 + 4i| ≤ |z| + |3+ 4i| = 2 + 5 = 7
|z + 3 + 4i| ≤ 7 …………(1)
|z + 3+ 4i| ≥ | | z | − |3 + 4i| | = |2 – 5| = 3
|z + 3 + 4i| ≥ 3 …………(2)
(1) மற்றும் (2)−லிருந்து 3 ≤ |z + 3 + 4i| ≤ 7.
குறிப்பு
கீழ் மற்றும் மேல் எல்லை மதிப்புகளைக் காண | |z1|−|z2| | ≤ |z1 + z2| ≤ |z1| + |z2| என்ற பண்பை பயன்படுத்த வேண்டும்.
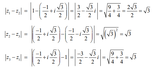
எடுத்துக்காட்டு 2.14
1, −1/2 + i √3/2 , மற்றும் −1/2 − i √3/2 என்ற புள்ளிகள் ஒரு சமபக்க முக்கோணத்தின் முனைப் புள்ளிகளாக அமையும் என நிறுவுக.
தீர்வு

இதற்கு நாம் முக்கோணத்தின் பக்கங்களின் நீளங்கள் சமம் என நிறுவினால் போதும்.
z1 =1, z2 = −1/2 + i √3/2 ,மற்றும் z3 = −1/2 − i √3/2 என்க.
முக்கோணத்தின் பக்கங்களின் நீளங்களை காண்போம்

பக்கங்களின் நீளங்கள் சமம் எனவே, கொடுக்கப்பட்ட புள்ளிகள் ஒரு சமபக்க முக்கோணத்தை அமைக்கும்.
எடுத்துக்காட்டு 2.15
z1, z2, மற்றும் z3 என்ற கலப்பெண்கள் |z1| = |z2| = |z3| = r > 0 மற்றும் z1 + z2 + z3 ≠ 0 எனவும் இருந்தால்
என நிறுவுக.
தீர்வு

எடுத்துக்காட்டு 2.16
z2 =
என்ற சமன்பாட்டிற்கு நான்கு மூலங்கள் இருக்கும் என நிறுவுக.
தீர்வு
கொள்கை z2 =![]()
⇒ |z|2 = |z|
⇒ |z| (|z|−1) = 0,
⇒ |z| = 0, அல்லது | z | = 1.
|z| = 0 ⇒ z = 0 என்பது ஒரு தீர்வு, |z| = 1 ⇒ z
=1⇒
= 1/z
கொள்கையிலிருந்து z2 =
⇒ z2 = 1/ z ⇒ z3 = 1
இதற்கு 3 பூஜ்ஜியமற்ற தீர்வுகள் இருக்கும். ஆகவே பூஜ்ஜியத்தையும் சேர்த்து இதற்கு நான்கு தீர்வுகள் இருக்கும்.