ஒளியியல் | இயற்பியல் - முப்பட்டகம் | 12th Physics : UNIT 6 : Ray Optics
முப்பட்டகம் (Prism)
முப்பட்டகம் என்பது, கண்ணாடி அல்லது நெகிழியால்
(Plastic) செய்யப்பட்ட திண்மப்பொருளாகும். ஒன்றுக்கொன்று இணையாக அமையாத மூன்று செவ்வக
சமதளப்பரப்புகளினால் (அல்லது) முகங்களினால் முப்பட்டகம் ஆக்கப்பட்டிருக்கும். இம்மூன்று
முகங்களில் ஒரு முகம் சொரசொரப்பாக ஆக்கப்பட்டிருக்கும். இதற்கு முப்பட்டகத்தின் அடிப்பரப்பு
என்று பெயர். மற்ற இரண்டு முகங்கள் பளபளப்பாக ஆக்கப்பட்டிருக்கும் இவற்றிற்கு விலகுமுகங்கள்
என்று பெயர். இரண்டு விலகு முகங்களுக்கு இடைப்பட்ட கோணத்திற்கு முப்பட்டகத்தின் கோணம்
அல்லது ஒளிவிலகு கோணம் (அல்லது) முப்பட்டகத்தின் உச்சிக்கோணம் என்று பெயர். இது படம்
6.40-இல் காட்டப்பட்டுள்ளது.

PQ என்ற படுகதிரொன்று முப்பட்டகத்தின் விலகுமுகம்
ஒன்றில் படம் 6.41இல் காட்டியுள்ளவாறு விழுகிறது. முப்பட்டகத்தின் முதல் முகம் AB-இல்
விழும் கதிருக்கான படுகோணம் மற்றும் விலகு கோணங்கள் முறையே i1 , மற்றும்
r1, ஆகும். முப்பட்டகத்தின் உள்ளே ஒளிக்கதிரின் பாதை QR ஆகும். இரண்டாவது
விலகுபரப்பு AC யின் படுகோணம் மற்றும் விலகு கோணங்கள் முறையே r2, மற்றும்
i2, ஆகும். RS என்பது இரண்டாவது முகத்திலிருந்து வெளிவரும் கதிராகும். கோணம்,
i2 வை வெளியேறு கோணம் என்றும் அழைக்கலாம். படுகதிர் PQ வின் திசைக்கும்
வெளியேறும் கதிர் RS க்கும் இடைப்பட்ட கோணத்திற்கு திசைமாற்றக்கோணம் (d) என்று பெயர்.
படும்புள்ளி Q மற்றும் வெளியேறும் புள்ளி R இவற்றிற்கு வரையப்படும் செங்குத்துக் கோடுகள்
முறையே QN மற்றும் RN ஆகும். இவை N என்ற புள்ளியில் சந்திக்கின்றன. படுகதிர் மற்றும்
வெளியேறுகதிர் இரண்டும் M என்ற புள்ளியில் சந்திக்கின்றன.


d1 மற்றும் d2 மதிப்புகளை
பிரதியிடும்போது,
d = (i1, r1)+(i2 -r2)
சமன்பாட்டினை மாற்றி அமைத்தபின்னர்,

நாற்கரம் AQNR, இல் இரண்டு கோணங்கள் (Q மற்றும்
R உச்சிகள்) செங்கோணங்களாகும். எனவே, நாற்கரத்தின் மற்ற கோணங்களின் கூடுதல் 180° ஆகும்.

முக்கோணம் ΔQNR,
இல்

(6.99) மற்றும் (6.100) சமன்பாடுகளை ஒப்பிடும்போது,

முப்பட்டகத்தின் திசைமாற்றக்கோணத்தைக் காண,
மேற்கண்ட சமன்பாட்டைச் சமன்பாடு (6.98) இல் பிரதியிடும்போது,

எனவே, முப்பட்டகத்தின் திசைமாற்றக்கோணம் படுகோணம்,
வெளியேறு கோணம் மற்றும் முப்பட்டகக்கோணம் ஆகியவற்றைச் சார்ந்துள்ளது. ஒரு குறிப்பிட்ட
படுகோண மதிப்பிற்கு, வெளியேறு கோணத்தை முப்பட்டகப்பொருளின் ஒளிவிலகல் எண் தீர்மானிக்கிறது.
எனவே, முப்பட்டகத்தின் திசைமாற்றக்கோணம் பின்வரும் காரணிகளைச் சார்ந்துள்ளது.
(i) படுகோணம்
(ii) முப்பட்டகக் கோணம்
(iii) முப்பட்டகம் செய்யப் பயன்படுத்தப்பட்ட
பொருள்
(iv) ஒளியின் அலைநீளம்
எடுத்துக்காட்டு
6.19
சமபக்க முப்பட்டகம் ஒன்றின் மீது, ஒற்றை நிற
ஒளிக்கதிரொன்று 30° கோணத்தில் விழுந்து 75° கோணத்தில் வெளியேறுகிறது எனில், முப்பட்டகம்
ஏற்படுத்திய திசைமாற்றக் கோணத்தைக் காண்க.
தீர்வு
கொடுக்கப்பட்டவை, கொடுக்கப்பட்ட முப்பட்டகம்
ஒரு சமபக்க முப்பட்டகம் எனவே, A = 60°; i1 = 30°; மற்றும் i2,
=75°
திசைமாற்றக்கோணச் சமன்பாட்டின்படி d=i1+i2-A
மதிப்புகளைப் பிரதியிடும்போது, d = 30°+75°-60°=45° முப்பட்டகம் ஏற்படுத்திய திசைமாற்றக்கோணம்,
d = 450
எடுத்துக்காட்டு
6.20
சமபக்க முப்பட்டகம் ஒன்றின் முதல் முகத்தில்
அல்லது முதல் பரப்பின் மீது செங்குத்துப் படுகோணநிலையில் ஒளிக்கதிரொன்று விழுந்து,
முப்பட்டகத்தின் வழியாக சென்று இரண்டாவது முகத்தினைத் தழுவிச்செல்கிறது எனில், முப்பட்டகம்
ஏற்படுத்திய திசை மாற்றக் கோணம் எவ்வளவு? மேலும், முப்பட்டகப்பொருளின் ஒளிவிலகல் எண்ணைக்
கணக்கிடுக.
தீர்வு

கொடுக்கப்பட்டுள்ள வினாவின் சூழல் படத்தில்
காட்டப்பட்டுள்ளது.
இங்கு, A = 60°; i1 = 0°; i2,
= 90°
முப்பட்டகத்தின் திசைமாற்றக்கோணத்திற்கான சமன்பாட்டிலிருந்து,
d = i1 + i2 - A
மதிப்புகளைப் பிரதியிடும்போது,
d = 0° + 90° - 60° = 30°
முப்பட்டகம் ஏற்படுத்திய திசைமாற்றக்கோணம்,
d = 300
முப்பட்டகத்தின் உட்புறம், இரண்டாவது முகத்தின்
மீது ஒளிக்கதிர் மாறுநிலைக் கோணத்தில் விழுகிறது. எனவே, இக்கதிர் ஒளிவிலகல் அடைந்து
இரண்டாவது முகத்தின் தளத்தின் மீதே செல்லும். அதாவது, இரண்டாவது முகத்தைத் தழுவிச்செல்லும்.
மாறுநிலைக்
கோணத்திற்கான சமன்பாட்டின்படி,
sinic = 1/n

முப்பட்டகப்பொருளின் ஒளிவிலகல் எண் , n = 2
படுகோணம் மற்றும் திசைமாற்றக் கோணம் இவற்றிற்கு
இடையே வரையப்பட்ட வரைபடம் படம் 6.42-இல் காட்டப்பட்டுள்ளது. இப்படத்திலிருந்து படுகோணம்
அதிகரிக்க அதிகரிக்க திசைமாற்றக்கோணம் குறைந்து கொண்டே சென்று ஒரு குறிப்பிட்ட படுகோண
மதிப்பிற்கு சிறும நிலையை அடைகிறது. படுகோணமதிப்பினை மேலும் அதிகரிக்கும்போது, திசைமாற்றக்கோணம்
அதிகரிக்கத் தொடங்குகிறது.

திசைமாற்றக்கோணத்தின் சிறும மதிப்பிற்கு, சிறுமத்திசை
மாற்றக்கோணம் (D) என்று பெயர். சிறும திசைமாற்றக் கோணத்தில்
அ) படுகோணமும், வெளியேறு கோணமும் சமம், (i1=i2.).
ஆ) முதல் முகத்தின் விலகுகோணமும், இரண்டாவது
முகத்தின் படுகோணமும் சமம், (r1=r2).
இ) முப்பட்டகத்தைப் பொருத்துப் படுகதிர் மற்றும்
வெளியேறு கதிர் இரண்டும் சமச்சீரானவை.
ஈ) முப்பட்டகத்திற்கு உள்ளே விலகுகதிர் முப்பட்டகத்தின்
அடிப்பரப்புக்கு இணையாகச் செல்லும்.
சிறும திசைமாற்றக்கோணநிலை படம் 6.43இல் காட்டப்பட்டுள்ளது.

சிறும திசைமாற்ற நிலையில், i1
= i2 = i மற்றும் r1 = r2 = r
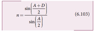
இந்நிலையில் சமன்பாடு (6.102) பின்வருமாறு
மாற்றமடையும்,
D = i1 + i2, - A =
2i- A அல்லது t = (A+D) /2
மேலும், சமன்பாடு (6.101) பின்வருமாறு மாற்றமடையும்,
r1 + r2 = A =>
2r = A அல்லது r = A/2
(i) மற்றும் (r) மதிப்புகளை ஸ்னெல் விதியில்
பிரதியிடும்போது
n= sini / sinr

மேற்கண்ட சமன்பாட்டினைக் கொண்டு முப்பட்டகப்பொருளின்
ஒளிவிலகல் எண்ணைக் கணக்கிடலாம். கோணங்கள் A மற்றும் D ஆகியவற்றின் மதிப்புகளைச் சோதனையின்
மூலம் கண்டறியலாம்.
எடுத்துக்காட்டு
6.21
முப்பட்டகம் ஒன்றின் சிறும திசைமாற்றக்கோணம்
37° மேலும் அம்முப்பட்டகத்தின் கோணம் 60° எனில், முப்பட்டகப்பொருளின் ஒளிவிலகல் எண்ணைக்
கணக்கிடுக.
தீர்வு
கொடுக்கப்பட்டவை, A=60°; D=37°

முப்பட்டகப்பொருளின் ஒளிவிலகல் எண், n = 1.5
முப்பட்டகத்தின் வழியே செல்லும் ஒற்றை நிற
ஒளியின் திசைமாற்றக் கோணத்தைப் பற்றி இதுவரை பயின்றோம். வெள்ளை ஒளி முப்பட்டகத்தின்
வழியாகச் செல்லும் போது எவ்வாறு நிறப்பிரிகை ஏற்படுகின்றது என்பதைப்பற்றித் தற்போது
படிக்க உள்ளோம். வெள்ளை ஒளியில் உள்ள வண்ணங்கள் தனித்தனியாகப் பிரியும் நிகழ்வுக்கு
நிறப்பிரிகை என்று பெயர். இவ்வண்ணங்களின் தொகுப்புக்கு நிறமாலை என்று பெயர். முப்பட்டகத்தின்
ஒரு முகத்தில் பட்டு விலகலடைந்த குறுகிய வெள்ளை இணை ஒளிக்கற்றைகளை வெள்ளைத்திரையில்
பார்க்கும்போது, VIBGYOR என்ற வரிசையில் வண்ணங்களின் தொகுப்பு கிடைக்கும். அதாவது ஊதா,
கருநீலம், நீலம், பச்சை , மஞ்சள், ஆரஞ்சு, மற்றும் சிவப்பு (Violet, Indigo, Blue,
Green, Yellow, Orange, Red) என்ற வரிசையில் வண்ண ங்கள் கிடைக்கும்.
படம் 6.44 இல் காட்டப்பட்டுள்ளவாறு, ஊதா வண்ணம்
அதிக திசைமாற்றத்தையும், சிவப்புவண்ணம் குறைந்த திசைமாற்றத்தையும் அடையும்.

நிறமாலையில் கிடைக்கும் வண்ணங்கள் ஒளிமூலத்தின்
தன்மையைப் பொருத்ததாகும். ஒவ்வொரு வண்ணமும் வரையறுக்கப்பட்ட அலைநீளத்தைப் பெற்றிருக்கும்.
சிவப்பு ஒளி நீண்ட அலைநீள எல்லையையும் (700 nm) ஊதா ஒளி குறுகிய அலைநீள எல்லையையும்
(400 nm) பெற்றுள்ளன. இதன்காரணமாகக் கண்ணாடி முப்பட்டகத்தின் வழியே செல்லும் ஊதா ஒளிக்கற்றையின்
திசைவேகம், சிவப்பு ஒளிக்கற்றையின் திசைவேகத்தைவிடக் குறைவாக இருக்கும்.
சிந்தனைத் துளிகள்
சர் ஐசக் நியூட்டன், தம்முடைய புகழ்வாய்ந்த சோதனை ஒன்றின் மூலம்
நிறமாலையின் வண்ணங்களை (VIBGYOR) ஒன்றிணைத்து வெள்ளை ஒளியை உருவாக்கினார். இச்சோதனையில்
ஒரு முப்பட்டகத்தைப் பயன்படுத்தி, நிறப்பிரிகையை ஏற்படுத்தி, நிறப்பிரிகை அடைந்த ஒளியைத்
தலைகீழாகத் திருப்பப்பட்ட மற்றொரு முப்பட்டகத்தின் வழியே செலுத்தும்போது, நிறப்பிரிகை
அடைந்த அனைத்து வண்ணங்களும் படத்தில் காட்டியுள்ளவாறு ஒன்றிணைந்து, மீண்டும் வெள்ளை
ஒளியை ஏற்படுத்துகின்றன.

வெவ்வேறு அலை நீளங்கள் கொண்ட ஒளி, முப்பட்டகத்தின்
வழியே வெவ்வேறு திசை வேகங்களில் செல்வதால் நிறப்பிரிகை ஏற்படுகின்றது. வேறுவகையில்
கூறுவோமாயின் முப்பட்டகப்பொருளின் ஒளிவிலகல் எண் வெவ்வேறு வண்ணங்களுக்கு வெவ்வேறான
மதிப்புகளைப் பெற்றிருக்கும். ஊதா வண்ணம் அதிக ஒளிவிலகல் எண்ணையும், சிவப்பு வண்ணம்
குறைந்த ஒளிவிலகல் எண்ணையும் பெற்றிருக்கும். வெற்றிடத்தின் வழியே எல்லா வண்ண ஒளிக்கதிர்களும்
சம வேகத்தில் செல்லும். அட்டவணை 6.4 இல் இரண்டு வெவ்வேறு கண்ணாடிப் பொருள்களுக்கான
ஒளிவிலகல் எண்கள் வெவ்வேறு வண்ணங்களுக்கு கொடுக்கப்பட்டுள்ளன.
வெற்றிடத்தில் செல்லும் ஒளியின் வேகம், அலைநீளத்தைச்
சார்ந்ததல்ல. எனவே வெற்றிடம் என்பது நிறப்பிரிகையை ஏற்படுத்தாத ஓர் ஊடகமாகும். வெற்றிடத்தின்
வழியே அனைத்து வண்ணங்களும் ஒரே வேகத்தில் செல்கின்றன.

நிறப்பிரிகை திறன் (அல்லது) பிரிதிறன்
வெள்ளை ஒளிக்கற்றை ஒன்றைக் கருதுக. இவ்வொளிக்கற்றை
முப்பட்டகத்தின் வழியாகச் செல்லும் போது, வெள்ளை ஒளியிலுள்ள வண்ண ங்கள் நிறப்பிரிகை
அடையும். இது படம் 6.45 இல் காட்டப்பட்டுள்ளது. δv, δR என்பவை,
முறையே ஊதா மற்றும் சிவப்பு அலைநீளங்களுக்கான திசைமாற்றக் கோணங்கள் என்க.

முப்பட்டகப் பொருளின் ஒளிவிலகல் எண்ணிற்கான
சமன்பாடு (6.103)இல் கொடுக்கப்பட்டது.

இங்கு A என்பது முப்பட்டகக்கோணம் மற்றும்
D என்பது சிறும் திசைமாற்றக் கோணமாகும். முப்பட்டகக் கோணம் 10° என்ற சிறய அளவில் உள்ள
முப்பட்டகங்களுக்கு சிறுகோண முப்பட்டகங்கள் என்று பெயர். இவ்வகையான முப்பட்டகங்களின்
வழியே ஒளிக்கதிர் செல்லும்போது ஏற்படும் திசைமாற்றக்கோணமும் சிறியதாகும். A என்பதை
முப்பட்டகக் கோணமாகவும், δ என்பதை திசைமாற்றக்கோணமாகவும்
கொண்டால், முப்பட்டகச்சமன்பாடு பின்வரும் வடிவைப்பெறும்.

வெள்ளை ஒளி முப்பட்டகத்தினுள் நுழையும் போது,
வெவ்வேறு வண்ணங்களுக்கான திசைமாற்றமும் வெவ்வேறாக இருக்கும். எனவே, வெவ்வேறு வண்ணங்களுக்கான
ஒளிவிலகல் எண்ணும் வெவ்வேறானவையாகும்.


ஊதா வண்ணத்தின் திசைமாற்றக்கோணம் δv, சிவப்பு
வண்ணத்தின் திசைமாற்றக் கோணத்தைவிட δR அதிகமாக
உள்ளதால், ஊதா வண்ண த்தின் ஒளிவிலகல் எண் (nv), சிவப்பு வண்ணத்தின் ஒளிவிலகல்
எண்ணைவிட (nR) அதிகமாக இருக்கும்.
δv, யிலிருந்து
δR. ஐ கழிக்கும்
போது, பின்வரும் சமன்பாடு கிடைக்கும்.

மேற்கண்ட சமன்பாட்டில் உள்ள (δv.-
δR) பதம்,
நிறமாலையில் உள்ள இரண்டு எல்லை வண்ணங்களுக்கு இடையேயான (ஊதா மற்றும் சிவப்பு) கோணப்பிரிகையைக்
கொடுக்கிறது. இக்கோணப்பிரிகைக்குக் கோண நிறப்பிரிகை என்று பெயர். முப்பட்டகத்தின் கோணநிறப்பிரிகை
பின்வருவனவற்றைச் சார்ந்துள்ளது.
(i) முப்பட்டகக் கோணம் மற்றும்
(ii) முப்பட்டகம் செய்யப்பட்ட பொருளின் தன்மை
.
சராசரிகதிர் ஒன்றின் திசைமாற்றக் கோணத்தை δ என்றும்,
இதற்கான ஒளிவிலகல் எண்ணை n எனவும் கொண்டால்,

நிறங்களைப் பிரிக்கும் முப்பட்டகப்பொருளின்
திறமைக்கு முப்பட்டகத்தின் நிறப்பிரிகைதிறன் (ɷ) என்று
பெயர். இரண்டு எல்லை வண்ணங்களுக்கான கோண நிறப்பிரிகைக்கும் சராசரி வண்ணம் ஒன்றின் திசைமாற்றக்
கோணத்திற்கும் உள்ள தகவு நிறப்பிரிகைதிறன் அல்லது பிரிதிறன் என வரையறுக்கப்படுகிறது.
முப்பட்டகத்தின் நிறப்பிரிகைதிறன் (ɷ),

நிறப்பிரிகைதிறன், பரிமாணமற்ற ஓர் எண்ணாகும்.
இதற்கு அலகு இல்லை . இது எப்போதும் நேர்குறி மதிப்பையே பெற்றிருக்கும். பிரிதிறன் முப்பட்டகப்பொருளின்
தன்மையை மட்டும் சார்ந்திருக்கும். முப்பட்டகக் கோணத்தைப் பொருத்தல்ல.
எடுத்துக்காட்டு
6.22
ஃபிளிண்ட் கண்ணாடியின் வழியே செல்லும் சிவப்பு,
பச்சை மற்றும் ஊதா ஒளிகளின் ஒளிவிலகல் எண்கள் முறையே 1.613, 1.620 மற்றும் 1.632 ஆகும்.
இம்மதிப்புகளைக் கொண்டு ஃபிளிண்ட் கண்ணாடியின் நிறப்பிரிகை திறனைக் காண்க
தீர்வு
கொடுக்கப்பட்டவை , ny =1.632;
nR=1.613; nG=1.620 நிறப்பிரிகை திறனுக்கான சமன்பாட்டிலிருந்து,
ɷ = (ny - nR)
/ (nG-1)
மதிப்புகளைப் பிரதியிடும் போது
ɷ = 1.632-1.613/1.620-1
= 0.019 /0.620 = 0.0306
ஃபிளிண்ட் கண்ணாடியின் நிறப்பிரிகை திறன், ɷ = 0.0306
சூரிய ஒளிச் சிதறல்
புவியின் வளிமண்டலத்தில் உள்ள வளிமண்டலத்துகள்கள்,
புவியின் வளிமண்டத்திற்குள் நுழையும் சூரிய ஒளியின் திசையை மாற்றும். இந்நிகழ்ச்சிக்கு
ஒளிச்சிதறல் என்று பெயர். ஒளியின் அலைநீளத்தை (λ) விட,
மிகவும் குறைவான அளவுடைய (a) அணுக்கள் மற்றும் மூலக்கூறுகளினால் ஏற்படும் ஒளிச்சிதறலுக்கு,
இராலே ஒளிச்சிதறல் (Rayleighs Scattering) என்று பெயர். 11 அதாவது, இராலே ஒளிச்சிதறல்
ஏற்பட நிபந்தனை (a<<λ) ஆகும். இராலே ஒளிச்சிதறலின்
செறிவு, அலைநீளத்தின் நான்குமடி மதிப்புக்கு எதிர்விகிதத்தில் இருக்கும்.

பகல் நேரத்தில், குறைந்த அலைநீளமுடைய நீலவண்ணம்
வளிமண்டலத் துகள்களினால், வளிமண்டலம் முழுவதும் சிதறடிக்கப்படுகின்றது.
உங்களுக்குத் தெரியுமா?
நிறப்பிரிகைக்கான சிறந்த ஓர் எடுத்துக்காட்டு , வானவில்லாகும்.
மழைக்காலங்களில் நீர்த்துளிகளினால் சூரிய ஒளி நிறப்பிரிகை அடைவதால் வானவில் ஏற்படுகிறது.
மழைபொழியும் பொழுதோ அல்லது மழை பொழிந்து நின்றபின்னோ அல்லது பின்புறமாகச் சூரியன் உள்ள
நிலையில் நீரூற்று ஒன்றைப் பார்க்கும் பொழுதோ, வானவில்லை நாம் பார்க்கமுடியும். காற்றில்
மிதந்து கொண்டிருக்கும் நீர்த்துளிகளின் மீது விழும் சூரிய ஒளி, நிறப்பிரிகை அடைந்து
அதன் ஏழுவண்ணங்களாகப் பிரிகை அடையும். எனவே, காற்றில் மிதந்துகொண்டிருக்கும் நீர்த்துளிகள்,
கண்ணாடி முப்பட்டகம் போன்று செயல்படுகின்றன. நீர்த்துளியினுள் நுழைந்த ஒளிக்கதிர் அதிலிருந்து
வெளியேறுவதற்கு முன்பு, ஒரு முழுஅக எதிரொளிப்பு அடைவதால் முதன்மை வானவில் உருவாகும்.
இது படத்தில் காட்டப்பட்டுள்ளது. முதன்மை வானவில்லில் ஊதாவிலிருந்து சிவப்புவரை உள்ள
வண்ணங்களைப் பார்ப்பதற்கான பார்வைக் கோணம் 40° முதல் 42° வரையிருக்கும். முதன்மை வானவில்லின்
வெளிப்புறமாகத் துணை வானவில் தோன்றுகின்றது. நீர்த்துளியினுள் நுழைந்த சூரிய ஒளி அதிலிருந்து
வெளியேறுவதற்கு முன்னர், இரண்டு முழுஅக எதிரொளிப்புகளை அடைவதால் துணைவானவில் தோன்றும்.
சிவப்பு வண்ணத்திலிருந்து ஊதா வண்ணம் வரை பார்ப்பதற்கான பார்வைக்கோணம், 52° முதல்
54° வரையிலிருக்கும்.


மேலும், நமது கண்களின் உணர்வு நுட்பம் ஊதா
வண்ணத்தைவிட, நீலவண்ணத்திற்கு அதிகம். இத்தகைய காரணங்களினால்தான் வானம் நீலநிறமாகக்
காட்சியளிக்கிறது. இது படம் 6.46(அ)வில் காட்டப்பட்டுள்ளது. சூரிய உதயம் மற்றும் மறையும்
நேரங்களில் சூரிய ஒளி வளிமண்டலம் வழியாக மிக நீண்ட தொலைவு செல்லவேண்டியுள்ளது. எனவே,
குறைந்த அலைநீளம் கொண்ட நீல ஒளி சிதறலடைந்துவிடும். ஆனால் அதிக அலைநீளம் கொண்ட சிவப்பு
ஒளி குறைவாகச் சிதறலடைந்து நமது கண்களை அடையும். இதன் காரணமாகத்தான் சூரியன் உதிக்கும்
போதும், மறையும் போதும் வானம் சிவப்பு நிறமாகக் காட்சி அளிக்கின்றது. இது படம்
6.46 (ஆ)) இல் காட்டப்பட்டுள்ளது.


வளிமண்டலத்திலுள்ள தூசு , மற்றும் நீர்த்துளிகளின்
அளவு (a), ஒளியின் அலைநீளத்தைவிட (λ) மிக
அதிகமாக உள்ள போது, அதாவது (a>>λ), இத்தகைய
பெரிய துகள்களினால் ஒளி சிதறலடையும்போது, சிதறலடைந்த ஒளியின் செறிவு அனைத்து அலைநீளங்களுக்கும்
சமமாக இருக்கும். மிக அதிக அளவு தூசு மற்றும் நீர்த்துளிகளைப் பெற்றுள்ள மேகங்களில்
இத்தகைய ஒளிச்சிதறல் ஏற்படும். எனவே, மேகங்களில் அலைநீளத்தைப்பொருத்து, ஒளிச்சிறதல்
ஏற்படாமல் அனைத்து வண்ணங்களும் சமஅளவில் சிதறலடைகின்றன. இதன்காரணமாகத்தான் மேகம் வெண்மை
நிறமாகக் காட்சியளிக்கிறது. இது படம் 6.46 (இ) இல் காட்டப்பட்டுள்ளது. ஆனால், மழைமேகங்கள்
கருமையாக இருப்பதற்குக் காரணம், அதிலுள்ள நீர்த்துளிகள் ஒன்றிணைந்து மழை மேகத்தினை
ஒளிபுகாப்பொருளாக மாற்றிவிடுவதேயாகும்.
ஒருவேளை, புவியைச் சுற்றி வளிமண்டலம் இல்லாதிருந்தால்,
ஒளிச்சிதறலும் நடைபெறாது, வானமும் கருமையாகத் தெரியும். வளிமண்டலத்திற்கு மேலிருந்து
வானத்தைப் பார்க்கும் விண்வெளி வீரர்களுக்கு வானம் கருமையாகத் தெரிவதற்கு இதுவே காரணமாகும்.