வேதியியல் செய்முறை ஆய்வக பரிசோதனை - I - கரிம பண்பறி பகுப்பாய்வு | 12th Chemistry : Practicals
வேதியியல் செய்முறை
I - கரிம பண்பறி பகுப்பாய்வு
முதல் நிலைச் சோதனைகள்
1. மணம்:
2. லிட்மஸ்தாள் சோதனை:
3. சோடியம் பைகார்பனேட்டுடன் வினை:
4. போர்ஷ் வினைப் பொருள் (Borsche’s reageant):
5. H2SO4 சோதனை:
அலிபாட்டிக் அல்லது அரோமேட்டிக் தன்மையினைக் கண்டறியும் சோதனை
6. எரித்தல் சோதனை:
நிறைவுறாத் தன்மையைகண்டறியும் சோதனை
7. புரோமின் நீருடன் சோதனை :
8. KMnO4 கரைசல் சோதனை :
குறிப்பிட்ட சில கரிம வினைத் தொகுதி உறுப்புகளுக்கான சோதனை
பீனாலுக்கான சோதனை
9. நடுநிலை FeCl3 கரைசல் சோதனை :
கார்பாக்சிலிக் அமிலங்களுக்கான சோதனை
10. எஸ்டராக்குதல் வினை:
ஆல்டிஹைடுக்கான சோதனை
11. டாலன்ஸ் வினைப்பொருள் சோதனை (Tollen’s reagent):
12. பெலிங்க்ஸ் சோதனை (Fehling’s test):
கீட்டோன்களுக்கான சோதனை
13. லீகல்ஸ் சோதனை (Legal’s test) :
அமீன்களுக்கான சோதனை
14. சாய சோதனை :
டைஅமைடுக்கான சோதனை
15. பையூரட் சோதனை (Biuret test):
கார்போஹைட்ரேட்டுக்களுக்கான சோதனை
16. மாலிஷ் சோதனை (Molisch’s test) :
17 ஓசசோன் சோதனை (Osazone test):


பன்பறி பகுப்பாய்விற்க்கான கரிமச் சேர்மங்கள்
1. பென்சால்டிஹைடு (Benzaldehyde)
2. சின்ன மால்டிஹைடு (Cinnamaldehyde)
3. அசிட்டோபீனோன் (Acetophenone)
4. பென்சோபீனோன் Benzophenone
5. பென்சாயிக் அமிலம் Benzoic acid
6. சின்ன மிக் அமிலம் (Cinnamic acid)
7. யூரியா (Urea)
8. குளுக்கோஸ் (Glucose)
9. அனிலீன் (Aniline)
10. சாலிசிலிக் அமிலம் (Salicylic acid)

முடிவு
கொடுக்கப்பட்ட கரிமச் சேர்மம்
(i) அரோமேட்டிக் /அலிபாட்டிக் சேர்மமாகும்.
i(i) நிறைவுற்ற நிறைவுறா தன்மையினைப் பெற்றுள்ளது.
(iii)----- வினைச் செயல் தொகுதி/தொகுதிகளைப் பெற்றுள்ளது.
வினைகளுக்கான விளக்கம்
3. சோடியம் பைகார்பனேட்டுடன் வினை:
கார்பாக்ஸிலிக் அமிலங்கள் சோடியம் பைகார்பனேட்டுடன் வினைபுரிந்து CO2 வாயுவை வெளியேற்றுகின்றன. இதன் விளைவாக நுரைத்துப் பொங்குதல் நிகழ்கிறது.
2R-COOH+ 2NaHCO3 → 2R-COONa+ CO2 ↑ +H2O
4. போர்ஷ் வினைபொருளுடன் வினை:
சிறிதளவு அடர் கந்தக அமிலம் கலந்துள்ள மெத்தனால் கரைசலில் 2,4 டைநைட்ரோ பீனைல் ஹைட்ரசீனை, கரைத்து போர்ஷ் வினைப்பொருள் தயாரிக்கப்படுகிறது.
ஆல்டிஹைடுகள் மற்றும் கீட்டோன்களை போர்ஷ் வினைப் பொருளுடன் வினைப்படுத்தும் போது 2,4 டைநைட்ரோ பீனைல் ஹைட்ரசோன் உருவாவதால் மஞ்சள்/ ஆரஞ்சு அல்லது சிவப்பு நிற வீழ்படிவு உருவாகிறது.
அலிபாட்டிக் கார்பனைல் சேர்மங்கள் ஆழ்ந்த மஞ்சள் நிற வீழ்படிவினையும், அரோமேட்டிக் கார்பனைல் சேர்மங்கள் சிவப்பு நிற வீழ்படிவினையும் தருகின்றன.

5. கரியாதல் சோதனை:
கார்போஹைட்ரேட்டுகளை அடர் கந்தக அமிலத்துடன் வினைப்படுத்தும் போது, கார்போஹைட்ரேட்களிலிருந்து நீர் மூலக்கூறுகள் நீக்கப்படுவதால் கரியாதல் நிகழ்கிறது.

6. எரித்தல் சோதனை:
அரோமேட்டிக் சேர்மங்களில் அதிக அளவு கார்பன் காணப்படுத்தால் (கார்பன்-ஹைட்ரஜன் விகிதம்) அவைகள் கரிப்புகையுடன் கூடிய சுடரைத் தருகின்றன. அலிபாட்டிக் சேர்மங்கள் எரியும் போது கரிப் புகையற்ற சுடர் உருவாகிறது.
7. புரோமின் நீருடன் சோதனை:
இச்சோதனையில், நிறைவுறா கரிமச் சேர்மங்களுடன் புரோமின் சேர்க்கை வினை புரிவதால் அதன் ஆரஞ்சு சிவப்பு நிறம் மறைகிறது.

8. KMnO4 வுடன் வினை(பேயரின் சோதனை) :
நிறைவுறா கரிமச் சேர்மங்களுடன் காரம் கலந்த KMnO4 கரைசல் சேர்க்கை வினை புரிவதால் டையால்கள் உருவாகின்றன. இவ்வினையில் KMnO4 நிறம் இழக்கப்படுகிறது. மேலும் MnO2 பழுப்பு நிற வீழ்ப்படிவாக உருவாகலாம்.
2KMnO4 + H2O → 2KOH + 2MnO2 + 3(O)

9. நடுநிலை FeC13 சோதனை:
பீனால் நடுநிலை பெர்ரிக்குளோரைடு கரைசலுடன் ஊதா நிற அணைவுச் சேர்மத்தினைத் தருவதால் கரைசல் ஊதா நிறமாகிறது.
10. எஸ்டராக்குதல் வினை:
ஆல்கஹால்கள், கார்பாக்ஸிலிக் அமிலங்களுடன் கனிம அமிலங்கள் முன்னிலையில் வினைபட்டு, பழ மணமுடைய எஸ்டர்களை உருவாக்குகின்றன.

11. டாலன்ஸ் வினைப்பொருளுடன் வினை:
ஆல்டிஹைடுகள் டாலன்ஸ் வினைப்பொருளை வெள்ளி உலோகமாக ஒடுக்குகிறது. இது சோதனைக் குழாயின் உட்புற சுவற்றில் படிவதால் வெள்ளி ஆடி உருவாகிறது.
R-CHO + 2[Ag(NH3)2 OH → 2Ag↓ + R-COONH4 + H2O + 3NH3
ஆல்டிஹைடு டாலன்ஸ் வினைப்பொருள் -வெள்ளி ஆடி

டாலன்ஸ் வினைப்பொருளைத் தயாரித்தல்:
அம்மோனியா கலந்த சில்வர் நைட்ரேட் கரைசல் டாலன்ஸ் வினைப்பொருள் என அழைக்கப்படுகிறது.
தயாரித்தல்: 1g சில்வர் நைட்ரேட் படிகத்தை தூய வாலை வடிநீரில் கரைக்கவும். இந்த நீரிய கரைசலுடன் 2ml NaOH கரைசலைச் சேர்க்கவும். பழுப்புநிற சில்வர் ஆக்ஸைடு வீழ்படிவு உருவாகும். துளித் துளியாக அம்மோனியாவைச் சேர்த்து, இவ்வீழ்படிவை கரைக்கவும்.
12. ஃபெலிங் சோதனை:
காப்பர் சல்பேட்டின் நீர் கரைசல் ஃபெலிங் (A) கரைசல் எனப்படுகிறது. சோடியம் பொட்டாசியம் டார்டரேட் உப்பின்(ரோஷ்லி உப்பு) தெளிவான கரைசல் மற்றும் அடர் NaOH கரைசல்) ஃபெலிங் (B) கரைசல் எனப்படுகிறது.
சமகனஅளவு ஃபெலிங் (A) மற்றும் ஃபெலிங் (B) ஆகியனவற்றின் கலவை ஆழ்ந்த நீல நிறமுடையது. ஃபெலிங் கரைசலில் உள்ள, Cu2+ அயனியானது காரக்கரைசலில் உள்ள டார்டரேட் அயனியுடன் அணைவுச் சேர்மத்தை உருவாக்குகிறது.
ஃபெலிங் கரைசலில் உள்ள Cu2+ அயனிகளை, ஆல்டிஹைடுகள் சிவப்பு நிற Cu(1) ஆக்ஸைடாக ஒடுக்குகின்றன.
RCHO + 2Cu2+ + 5OH- / ↓ → Cu2O↓ + RCOO- + 3H2O
ஆல்டிஹைடு ஃபெலிங் கரைசல் Cu(1) ஆக்ஸைடு (சிவப்பு நிறம்)

குறிப்பு: பென்சால்டிஹைடைப் பொருத்த வரையில் இவ்வினை மிக மெதுவாக நிகழ்வதால் பென்சால்டிஹைடு சிவப்பு நிற வீழ்படிவைத் தருவதில்லை.
13. சோடியம் நைட்ரோ புருசைடு சோதனை:
காரத்தால் உருவான கீட்டோன் எதிரயனியானது நைட்ரோபுரூசைடு அயனியுடன் இணைந்து சிவப்பு நிற அணைவுச் சேர்மத்தினை உருவாக்குகிறது. ஆல்டிஹைடுகள் இவ்வினையில் ஈடுபடுவதில்லை .CH3COCH3 -OH → .CH3COCH2- +H2O
[Fe(CN)5 NO]2- + CH3COCH2- → [Fe(CN)5 NO.CH3COCH2 ]3-
சோடியம் நைட்ரோ புருசைடு (சிவப்பு நிற அணைவுச் சேர்மம்)

14. அசோ சாயச் சோதனை:
அரோமேட்டிக் ஓரிணைய அமீன்கள் இச்சோதனையில் சாயங்களை உருவாக்குகின்றன. அவைகள் நைட்ரஸ் அமிலத்துடன் டையசோனியம் உப்புகளைத் தருகின்றன. இந்த டைய சோனியம் உப்புகள் -நாப்தாலுடன் இணைப்பு வினையில் ஈடுபட்டு ஆரஞ்சு சிவப்பு நிற சாயங்களைத் தருகின்றன.

15. பையூரட் சோதனை:
யூரியா போன்ற டை அமைடுகளை வெப்பப்படுத்தும் போது பையூரட் உருவாகிறது. இது Cu2+ அயனியுடன் இணைந்து ஆழ்ந்த ஊதா நிற அணைவுச் சேர்மத்தினைத் தருகின்றது.

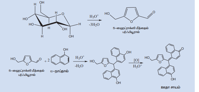
16. மாலிஷ் சோதனை:
டைசாக்கரைடுகள் மற்றும் பாலிசாக்ரைடுகள் நீராற்பகுப்படைந்து மோனோ சாக்கரைடுகளைத் தருகின்றன. இவைகள் நீரகற்றம் அடையும் போது, பென்டோஸ் ஆனது பர்ஃபியூராலையும், ஹெக்ஸோஸ் ஆனது 5-ஹைட்ராக்ஸி மீத்தைல் பர்ஃபியூராலையும் தருகின்றன. இந்த ஆல்டிஹைடுகள் a-நாப்தாலின் இருமூலக்கூறுகளுடன் குறுக்க வினைக்கு உட்பட்டு ஊதா நிறமுடைய வினைபொருளைத் தருகின்றன. வினைகள் பின்வருமாறு,

17. ஓசசோன் சோதனை:
அசிட்டிக் அமிலத்தில் உள்ள பீனைல் ஹைட்ரசீனை, ஒடுக்கும் சர்க்கரையுடன் சேர்த்து கொதிக்க வைக்கும் போது ஓசசோன் உருவாகின்றது. மோனோ சாக்கரைடுகளின் முதல் இரு கார்பன்கள் இவ்வினையில் பங்கேற்கின்றன. குளுக்கோஸ், பரக்டோஸ் மற்றும் மானோஸ் போன்ற மாறுபட்ட மோனோ சாக்கரைடுகள் ஒரே மஞ்சள் நிற ஓசசோனைத் தருகின்றன.
