இயற்பியல் - துகள்களாலான அமைப்பு மற்றும் திண்மப் பொருட்களின் இயக்கம் : முக்கியமான கேள்விகள் | 11th Physics : UNIT 5 : Motion of System of Particles and Rigid Bodies
குறு வினாக்கள்
1. நிறைமையம் வரையறு.
2. கீழ்கண்ட வடிவியல் அமைப்புகளின் நிறைமையத்தை காண்க.
அ) சமபக்க முக்கோணம் ஆ) உருளை இ) சதுரம்
3. திருப்பு விசை வரையறு அதன் அலகு யாது?
4. திருப்பு விசையை உருவாக்காத விசைகளுக்கான நிபந்தனை யாது?
5. நடைமுறை வாழ்வில் திருப்பு விசை பயன்படுத்தப்படும் எடுத்துக்காட்டுகள் ஏதேனும் இரண்டு கூறு.
6. திருப்பு விசைக்கும் கோண உந்தத்திற்கும் இடையேயான தொடர்பு யாது?
7. சமநிலை என்றால் என்ன?
8. உறுதி மற்றும் உறுதியற்ற சமநிலையை எவ்வாறு வேறுபடுத்துவாய்?
9. இரட்டையின் திருப்புத்திறனை வரையறு.
10. திருப்புத்திறனின் தத்துவத்தை கூறு.
11. ஈர்ப்பு மையத்தை வரையறு.
12. நிலைமத் திருப்புத் திறனின் சிறப்பு அம்சங்கள் ஏதேனும் இரண்டைக் கூறு.
13. சுழற்சி ஆரம் என்றால் என்ன?
14. கோண உந்த மாறாவிதியைக் கூறு.
15. அ) நிறை ஆ) விசை என்ற இயற்பியல் அளவுகளுக்கு சமமான சுழற்சி இயக்க அளவுகள் யாவை?
16. தூய உருளுதலுக்கான நிபந்தனை என்ன?
17. சறுக்குதலுக்கும், நழுவுதலுக்கும் இடையே உள்ள வேறுபாடுகள் யாவை?
1. சமநிலையின் வகைகளை தக்க உதாரணங்களுடன் விளக்குக.
2. ஒழுங்கற்ற வடிவமுடைய பொருட்களின் நிறைமையம் காணும் முறையை விளக்குக.
3. சைக்கிள் ஓட்டுபவர் வளைவுப் பாதையை கடக்க முயலும் போது சாய்வதற்கான காரணம் என்ன? கொடுக்கப்பட்ட திசை வேகத்திற்கு சைக்கிள் ஓட்டுபவர் சாயும் கோணத்திற்கான சமன்பாட்டை பெறுக.
4. தண்டு ஒன்றின் நிலைமத் திருப்புத்திறனை அதன் மையம் வழியாகவும், தண்டிற்கு செங்குத்தாகவும் செல்லும் அச்சைப் பொருத்ததுமான சமன்பாட்டை விவரி.
5. சீரான வளையத்தின் மையம் வழிச் செல்வதும், தளத்திற்கு செங்குத் தானதுமான அச்சைப்பற்றிய நிலைமத் திருப்பத்திறனிற்கான சமன்பாட்டை வருவி.
6. சீரான வட்டத்தட்டின் மையம் வழிச் செல்வதும், தளத்திற்கு செங்குத் தானதுமான அச்சைப் பற்றிய நிலைமத் திருப்பத் திறனைக் காண்க.
7. கோண உந்த மாறா விதியை தக்க உதாரணங்களுடன் விவரி.
8. இணையச்சு தேற்றத்தை கூறி நிரூபி.
9. செங்குத்து அச்சுத் தேற்றத்தை கூறி நிரூபிக்க.
10. சாய்தளத்தில் உருளுதலை விவரி மற்றும் அதன் முடுக்கத்திற்கான சமன்பாட்டை பெருக.
1. 100g நிறையுள்ள சீரான வட்டத்தட்டின் விட்டம் 10cm கிடைத்தள மேசையின் மீது 20cms-1 திசைவேகத்துடன் உருளும்போது அதன் மொத்த ஆற்றலை கணக்கிடுக.
m = 100g = 100 × 10-3 Kg
D = 10 cm = 10 × 10-2 m
V = 20 cms-1 = 20 × 10-2 ms-1
R = 5 × 10-2 m
தீர்வு :

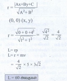
2. 5 அலகுகள் நிறை கொண்ட ஒரு துகள் v = 3 √2 அலகுகள் சீரான வேகத்துடன் XOY தளத்தில் y = x + 4 என்ற சமன்பாட்டின் படி இயங்குகிறது. அத்துகளின் கோண உந்தத்தை காண்க.
m = 5
v = 3 √ 2
y = x + 4
L = ?
தீர்வு :
y = x + 4
x - y + 4 = 0

Ax + By + C = 0 மையத்திலிருந்து செங்குத்து தொலைவிற்கான சமன்பாடு

விடை: 60 அலகுகள்
3. சுழலும் சக்கரமொன்று சீரான கோண முடுக்கத்துடன் சுழல்கிறது. இதன் கோணத் திசைவேகம் 20𝜋rads-1 லிருந்து 40𝜋rads-1 க்கு 10 வினாடிகளில் அதிகரிக்கப்படுகிறது எனில் சுற்றுகளின் எண்ணிக்கையை காண்க.

விடை: 150 சுழற்சிகள்
4. m நிறையும் l நீளமும் கொண்ட தண்டு அதன் ஒரு முனையின் வழிச் செல்லும் அச்சைப் பொருத்து θ கோணத்தை ஏற்படுத்துகிறது. அந்த அச்சைப் பற்றிய நிலைமத் திருப்புத்திறனைக் காண்க.
தீர்வு:

5. இரு துகள்கள் P மற்றும் Q என்பனவற்றின் நிறைகள் முறையே 1Kg மற்றும் 3Kg அவற்றிற்கு இடையேயான கவர்ச்சி விசையினால் 30ms-1 மற்றும் 6ms-1 என்ற திசைவேகங்களுடன் ஒன்றை ஒன்று நோக்கி நகர்கின்றன. அவற்றின் நிறை மையங்களின் திசைவேகங்கள் என்ன?
தீர்வு:
m1 = 1 Kg v1 = 30ms-1
m2 = 3 Kg v2 = -6ms-1
vcm = m1v1 + m2 v2 / m1m2
இரு துகள்களும் ஒன்றை ஒன்று நோக்கி நகர்வதால்
Vcm = 0
விடை: ௦
6. ஹைட்ரஜன் மூலக்கூறு ஒன்றின் நிலைமத் திருப்புதிறனை அதன் நிறை மையத்தின் வழியாகவும், அணுக்களுக்கிடையேயான அச்சிற்கு செங்குத்தாகவும் செல்லும் அச்சைப் பொருத்து காண்க. ஹைட்ரஜன் அணுவின் நிறை = 1.7 × 10-27Kg மற்றும் அணுவிடைத் தொலைவு = 4 × 10-10 m என கொள்க.
குறிப்பு : ஒரு அணுவிற்கு நிலைமைத் திருப்புத் திறனை கண்டறிந்து இரு மடங்காக கணக்கிடுக.

விடை: 1.36 × 10-46 kg m2
கருத்துரு வினாக்கள்
1. மரம் வெட்டப்படும்போது, மரமானது வெட்டி வீழ்த்த வேண்டிய திசையின் பக்கமே வெட்டப்பட வேண்டியது ஏன்?
விடை:
i) மரத்தை வீழ்த்த வேண்டிய திசையில் அடியிலிருந்து செயல்படும் செங்குத்து விசை நீண்டநேரம் இருக்கக் கூடாது.
ii) ஈர்ப்பு விசை ஒரு திருப்பு விசையை ஏற்படுத்த வேண்டும்.
iii) ஆகையால் மரமானது வெட்டி வீழ்த்த வேண்டிய திசையிலேயே வெட்ட வேண்டும்.
2. மூட்டை தூக்கும் தொழிலாளி மூட்டையை முதுகில் சுமக்கும் போது முன்னோக்கி சாய்வது ஏன்?
விடை:
1) மூட்டையை முதுகில் சுமக்கும் போது அவர் மீது விசை செயல்படும் ஈர்ப்பு மையம் உடலை விட்டு முன்னோக்கி செல்கிறது.
ii) இது நிலையை தடுமாறச்செய்யும்.
iii) எனவே முன்னோக்கி குனியும் போது விசை செயல்படும் ஈர்ப்பு மையம் மனித உடலின் மேலே செயல்படுகிறது.
3. தீக்குச்சி ஒன்றை விரல் நுனியில் சமன் செய்வதை விட மீட்டர் அளவுகோள் ஒன்றை அதே போல் சமன் செய்வது எளிமையாக இருப்பது ஏன்?
விடை:
i) மீட்டர் அளவுகோலின் ஈர்ப்பு மையம், தீக்குச்சியின் ஈர்ப்பு மையத்தை விட செங்குத்தாக வைக்கும்போது உயரமாக உள்ளது.
ii) ஈர்ப்பு மையம் புவியிலிருந்து குறைவான உயரத்தில் இருப்பதைவிட அதிக உயரத்தில் இருப்பதால் எளிதில் சமன் செய்து கொள்கிறது.
iii) எனவே தீக்குச்சியை விட மீட்டர் அளவுகோலை சமநிலையில் வைப்பது எளிது.
4. இரு சமமான அளவு பாட்டில்களில் ஒன்றை நீர் நிரப்பியும் மற்றொன்றை காலியாகவும் கொண்டு சாய்தளத்தில் கீழ் நோக்கி உருளுமாறு அனுமதிக்கப்படு கிறது. இவற்றில் எது சாய்தளத்தின் அடிப்பகுதியை முதலில் அடையும்? விளக்குக.
விடை:
i) நீர் நிரப்பப்பட்ட பாட்டில் அடிப்பகுதியை முதலில் அடைகிறது.
ii). நிலைம திருப்புத்திறன் α 1 / கோண திசைவேகம்
iii) காலியான பாட்டிலின் நிறை முழுவதும் அதன் மேற்பரப்பிலேயே பரவி இருக்கும். எனவே இதன் நிலைமத்திருப்புத்திறன் அதிகம், கோண திசைவேகம் குறைவு. ஆகையால் நீர் நிரப்பப்பட்ட பாட்டில் அடிப்பகுதியை முதலில் அடையும்.
5. கோண உந்தத்திற்கும் சுழற்சி இயக்க ஆற்றலுக்கும் இடையேயான தொடர்பை தருக. இவற்றிற்கு இடையேயான வரைபடத்தை வரைக. ஒத்த கோண உந்தம் கொண்ட இரு பொருட்களின் நிலைமத் திருப்புத்திறன்களை வரைபடம் மூலம் ஒப்பிடுக.
விடை:

இது Y = Kx2 என்ற சமன்பாட்டை ஒத்திருப்பதால் வரைபடம் பரவளையம் ஆகும்.
இரு பொருட்களின் கோண உந்தம் சமம் எனில்
KE α 1/I
இயக்க ஆற்றல் குறைவாக உள்ள பொருளின் நிலைமத்திருப்புத்திறன் அதிகம்.
6. செவ்வக கட்டையானது மேசையின் மீது அமைதி நிலையில் உள்ளது. கட்டையை நகரச் செய்ய மேசையின் தளத்திலிருந்து h உயரத்தில் கிடைத்தள விசை செலுத்தப் படுகிறது. மேசை கட்டையின் மீது செலுத்தும் செங்குத்து விசை N, h ஐச் சார்ந்து இருக்குமா?
விடை:
i) செங்குத்து விசை h யை சார்ந்தது
ii) உயரத்தை பொருத்து ஈர்ப்பு விசை மாறுபடுவதால் செங்குத்து விசையும் h யை சார்ந்து இருக்கும்.
7. மூன்று சாய்தளங்களில் ஒரே மாதிரியான திண்மக் கோளங்கள் கீழ்நோக்கி இயங்குகிறது. சாய்தளங்கள் A, B, C ஆகியவை ஒத்த பரிமாணத்தை உடையன. Aயில் உராய்வின்றியும், B-இல் நழுவுதலற்ற உருளுதலும் மற்றும் C-யில் நழுவி உருளுதலும் ஏற்படுகிறது. சாய்தளத்தின் அடிப்பகுதியில் இவற்றின் இயக்க ஆற்றல்கள் EA EB EC இவற்றை ஒப்பிடுக.
விடை:
● ஆற்றல் மாறா விதிப்படி நிலையாற்றல் பெற்றுள்ள இம்மூன்று கோளங்களும் இயக்க ஆற்றலை பெருகின்றன.
● எனவே சாய்தளத்தில் அடிப்பகுதியில் இவற்றின் இயக்க ஆற்றல்கள் EA, EB மற்றும் EC சமமாக உள்ளது.
8. கீழ்க்கண்ட கூற்று தவறு எனக் காட்ட ஓர் உதாரணம் தருக. “ஏதேனும் இரு விசைகள் ஒன்றிணைந்து ஒரே தொகுபயன் விசையாக ஒரு பொருளின் மீது செயல்படும் போது, விசை ஒரே விளைவை கொடுக்கும்”.
விடை:
●ஒரு பொருளின் மீது செயல்படும் இரண்டு விசைகள் அவற்றுக்கிடையேயான கோணத்தை சார்ந்தது.
● இரு சம ஒத்த விசைகள் எதிரெதிர் திசையில் செயல்பட்டால் தொகுபயன் விசை சுழி.
● இரு சம விசைகள் ஒரே திசையில் செயல்பட்டால் தொகுபயன் விசை அதிகம்/இரு மடங்கு ஆகும்.
● எனவே ஏதேனும் இரு விசைகள் ஒன்றிணைந்து ஒரே தொகுபயன் விசையாக ஒரு பொருளின் மீது செயல்படும் போது விசை ஒரே விளைவை கொடுக்காது.
(எகா) இருநபர்கள் காரைத் தள்ளுவது