தொகை காண வழிமுறைகள் (Methods of Integration)
வகையிடுதலைப் போன்று தொகையிடல் காண்பது அவ்வளவு எளிதானதன்று. ஒரு சார்பினை வகையிடவேண்டுமெனில் அதற்கென்று விதிமுறைகள் மற்றும் செயல்பாடுகள் வகையிடலில் திட்டவட்டமாகவும் தெளிவாகவும் உள்ளன. நாம் ƒ(x) -ன் வகையிடுதலை
எனத் தெளிவாக வரையறுக்கப்பட்டுள்ளதை அறிந்துள்ளோம். இவ்வரையறையைப் பயன்படுத்தி log x-ன் வகையிடுதலைக் காண முறையான வழிமுறைகள் நமக்குத் தெரியும். ஆனால், log x-ன் தொகையைக் காண முறையான வழிமுறைகள் இல்லை.
வகையிடுதலில், அதன் விதிகளைப் பயன்படுத்தி பல்வேறு சார்புகளின் கூட்டல், பெருக்கல், வகுத்தல், சார்புகளின் சேர்க்கை ஆகியவற்றின் வகையிடுதலைக் காணலாம்.
சார்பின் தொகையிடலைக் காண ஒரு சில தொகையீட்டு விதிகளே உள்ளன. மற்றும் இவ்விதிகளைப் பயன்படுத்தப் பல கட்டுப்பாடுகள் உள்ளன.
தொகையிடலில் மிகப் பொருத்தமான முறையைத் தேர்வு செய்து, அதனை எளிமையாக எவ்வாறு பயன்படுத்துவது என்பதனைக் கண்டறியும் திறன் பல்வேறு தீவிரப் பயிற்சிகளுக்குப் பிறகே கிடைக்கும்.
தொகையிடுதலில் இரண்டு முக்கிய பண்புகளைப் பற்றி ஏற்கனவே நாம் பார்த்துள்ளோம். தொகையிடுதலில் பின்வரும் நான்கு முக்கிய முறைகள் உள்ளன.
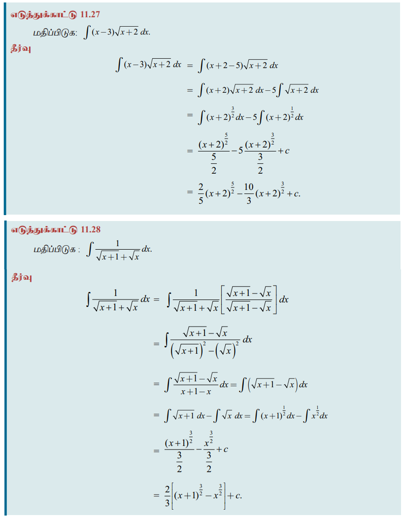
(1) கூட்டல் அல்லது கழித்தலாகப் பிரித்துத் தொகையிடுதல்.
(2) பிரதியிடுதல் முறையில் தொகையிடுதல்.
(3) பகுதித் தொகையிடுதல்.
(4) அடுக்குகளைப் படிப்படியாகச் சுருக்கித் தொகையிடுதல்.
இங்கு மேற்கூறிய முதல் மூன்று முறைகளை நாம் படிப்போம். நான்காவது முறையை மேல் வகுப்பில் படிக்க உள்ளோம்.
சில சமயங்களில் கொடுக்கப்பட்ட சார்பினுக்கு, நேரடியாகத் தொகையிடுதல் காண்பது மிகவும் கடினம். ஆனால் அவற்றைச் சார்புகளின் கூடுதல் அல்லது கழித்தலாக பிரித்து ஏற்கனவே தெரிந்த தொகையிடுதல் வாயிலாகக் காணலாம். எடுத்துகாட்டாக
ஆகியவற்றை நேரடியாகத் தொகையிடுவதற்கான சூத்திரம் கிடையாது. அவற்றைத் கூடுதல் அல்லது கழித்தலாகப் பிரித்து பிறகு கிடைக்கப்பெறும் தனிப்பட்ட தொகையிடுதல் நமக்கு தெரிந்தவையே. பெரும்பாலான கொடுக்கப்பட்ட தொகையீடுகள் இயற்கணிதம், முக்கோணவியல் அல்லது அடுக்குவடிவு மற்றும் சில சமயங்களில் இவற்றின் சேர்ப்புகள் ஆகியவற்றில் ஏதேனும் ஒன்றினை கொண்டிருக்கும்.



தொகையிடுதலில் பகுதி பின்னமாகப் பிரித்துத் தொகையிடுதல் ஒரு முக்கியமான முறையாகும். தொகையிடப்பட வேண்டியவை இயற்கணிதப் பின்ன வடிவில் இருந்தால் அதனை எளிதாகத் தொகையிட முடியாது, தொகையிடல் காண்பதற்கு முன்பு பின்னத்தைப் பகுதி பின்னங்களாகப் பிரித்து எழுத வேண்டும். விகிதமுறு சார்பு p(x)/q(x), (q(x) ≠ 0) படியானது, p(x) < q(x) ன் என இருக்க வேண்டும். அவ்வாறு இல்லையெனில், அதனை வகுத்து அதன்பிறகு பகுதி பின்னமாகப் பிரித்துத் தொகை காண வேண்டும்.
