வரையறை, தேற்றம், நிரூபணம், எடுத்துக்காட்டு கணக்குகள் - நேர்மாறு அணி காணல் முறை (Matrix Inversion Method) | 12th Maths : UNIT 1 : Applications of Matrices and Determinants
3. (i) நேர்மாறு அணி காணல் முறை (Matrix Inversion Method)
நேரியச் சமன்பாட்டுத் தொகுப்பில் உள்ள கெழுக்களின் அணியானது சதுர அணியாகவும் மற்றும் பூச்சியமற்றக் கோவை அணியாகவும் இருப்பின் இம்முறையை பயன்படுத்த இயலும்.
AX = B, ... (1)
என்ற சமன்பாட்டைக் கருதுவோம். இங்கு A என்பது சதுர மற்றும் பூச்சியமற்றக் கோவை அணியாகும். A என்பது பூச்சியமற்றக் கோவை அணி ஆதலால் A−1 காண இயலும் மற்றும் A−1A = AA−1 = I. (1)− இன் இருபுறமும் முன்புறமாக A−1 ஆல் பெருக்கக் கிடைப்பது A−1(AX) = A−1B. அதாவது (A−1A) X = A−1B.
எனவே நாம் பெறுவது X = A−1B.
எடுத்துக்காட்டு 1.22
பின்வரும் நேரியச் சமன்பாட்டுத் தொகுப்பை நேர்மாறு அணி காணல் முறையை பயன்படுத்தி தீர்க்க:
5x + 2y = 3, 3x + 2y = 5.
தீர்வு
தொகுப்பின் அணி வடிவம் AX = B, இங்கு 
|A| =
= 10 – 6 = 4 ≠ 0. எனவே A−1 காண இயலும். மற்றும் A−1 =
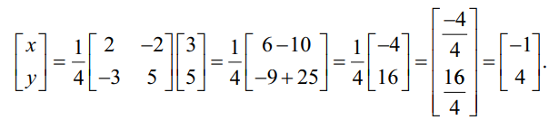
X = A−1B என்ற சூத்திரத்தைப் பயன்படுத்தக் கிடைப்பது

எனவே தீர்வானது (x = −1, y = 4).
எடுத்துக்காட்டு 1.23
பின்வரும் நேரியச் சமன்பாட்டுத் தொகுப்பை நேர்மாறு அணி காணல் முறையை பயன்படுத்தி தீர்க்க:
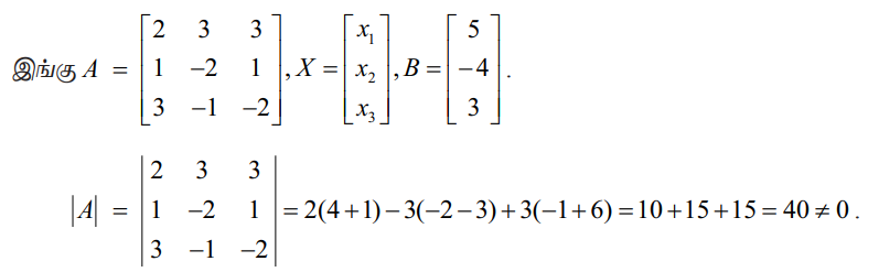
2x1 + 3x2 + 3x3 = 5, x1 − 2x2 + x3 = −4, 3x1 – x2 − 2x3 = 3.
தீர்வு
தொகுப்பின் அணி வடிவம் AX = B.
எனவே A−1 காண இயலும் மற்றும்

X = A−1B என்ற சூத்திரத்தைப் பயன்படுத்தக் கிடைப்பது

எனவே தீர்வானது (x1 = 1, x2 = 2, x3 = −1).
எடுத்துக்காட்டு 1.24
எனில் பெருக்கற்பலன் AB மற்றும் BA காண்க.
இதன் மூலம் x – y + z = 4, x − 2y − 2z = 9, 2x + y + 3z = 1 என்ற நேரியச் சமன்பாட்டுத் தொகுப்பைத் தீர்க்கவும்.
தீர்வு

எனவே நாம் பெறுவது AB = BA = 8I3. அதாவது, ( (1/8) A) B = B ( (1/8) A) = I3. எனவே, B−1 = (1/8) A.
கொடுத்துள்ள நேரியச் சமன்பாட்டுத் தொகுப்பை அணி வடிவில் எழுதக் கிடைப்பது

எனவே தீர்வானது ( x = 3, y = −2, z = −1).