அணிகள்
அணி (Matrix) என்பது ஒருமை வடிவம், அணிகள் (Matrices) என்பது பன்மை வடிவமாகும். அணிகள் என்பது செவ்வக வடிவில் ( ) அடைப்புக்குறிக்குள் நிரைகளாகவும், நிரல்களாகவும் வரிசைப்படுத்தப்பட்ட எண்களின் தொகுப்பாகும். ஓர் அணியில் நிரை மற்றும் நிரல்களின் எண்ணிக்கை சமமாக இருப்பின் அது சதுர அணியாகும்.
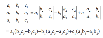
ஒவ்வொரு சதுர அணிக்கும் அணிக்கோவை உள்ளது. அணிக்கோவை என்பது அந்த அணியின் அதே உறுப்புகளைக் கொண்டு நிரைகளாகவும், நிரல்களாகவும் குத்துக் கோடுகளுக்குள் அடைபட்ட அமைப்பாகும்.
எடுத்துக்காட்டாக,

அணிக்கோவையின் மதிப்பானது எண் மதிப்பில் குறிப்பிடப்படுகிறது.
2 × 2 வரிசை கொண்ட அணியின் அணிக்கோவை மதிப்பு கணக்கிடும் முறை கீழே தரப்பட்டுள்ளது.
என்றால் |A| = a1b2 – a2b1 ஆகும்.
3 × 3 வரிசையுடைய அணியின் அணிக்கோவை மதிப்பினை பின்வருமாறு கணக்கிடலாம்.

எடுத்துக்காட்டு: 12.6
= என்ற அணியின் அணிக்கோவை
மதிப்பு காண்க.
தீர்வு :
A =
அணி தரப்பட்டுள்ளது.
எனவே,

= - 6 - 40 = - 46
அணிக்கோவையின் மதிப்பு -46 ஆகும்.
எடுத்துக்காட்டு: 12.7

என்ற அணியின் அணிக்கோவை மதிப்பு காண்க.
தீர்வு:
தரப்பட்ட அணியின் அணிக்கோவை மதிப்பானது

= 3 (1 - 6) -4 (2 – 21) + 7 (4 -7)
= 3 (-5) -4 (-19) + 7 (-3)
= -15 + 76 - 21
|A| = 40
அணிக்கோவை மதிப்பு 40.

'n' மாறிகள் மற்றும் 'n' சமன்பாடுகளைக் கொண்ட நேரிய சமன்பாடுகளின் தீர்வினை கிராமர் விதியை பயன்படுத்தி காணலாம். தனித்த தீர்வுகள் உடைய சமன்பாடுகளுக்கு மட்டுமே கிராமரின் விதியைப் பயன்படுத்தி தெரியாத மாறிகளின் மதிப்புக்களைக் காணமுடியும்.
தரப்பட்ட சமன்பாடுகள்
a11 x + a12 y + a13 z = b1
a21 x + a22 y + a23 z = b2
a31 x + a32 y + a33 z = b3
எனில்
x = Δx / Δ , y = Δy / Δ , z = Δz / Δ

குறிப்பு:
அணிக்கோவை மதிப்பு Δ = 0, எனில் தீர்வு கிடையாது.
எடுத்துக்காட்டு: 12.8
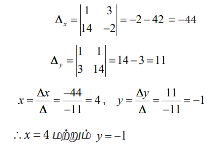
கிராமர் விதியைப் பயன்படுத்தி சமன்பாடுகளின் x மற்றும் y மதிப்புகளைக் காண்க . x + 3y = 1 மற்றும் 3x – 2y = 14
தீர்வு :
கொடுக்கப்பட்டுள்ள சமன்பாடுகள்
x + 3y = 1
3x – 2y = 14 ஆகும்.
சமன்பாடுகளை அணி வடிவில் அமைத்திட

இங்கு Δ ≠ 0, எனவே தீர்வு உண்டு.

x = Δx / Δ = -44 / - 11 = 4, y = Δy / Δ = 11 / -11 = -1
∴ x = 4 மற்றும் y = -1
தீர்வை சரிபார்த்தல்:
சமன்பாட்டில் பிரதியிட,
4 + 3(-1) = 1,
3(4) – 2(-1) = 14
எடுத்துக்காட்டு: 12.9
5x1 + 3x2 = 30
6x1 - 2x2 = 8 என்ற சமன்பாட்டு அமைப்பின் தீர்வு காண்க.
தீர்வு :
சமன்பாடுகளின் கெழு மற்றும் மாறிலி உறுப்புகள் பின்வருமாறு தரப்படுகின்றன.

∴ x1 = Δx1 / Δ = -84 / -28 = 3
x2 = Δx2 / Δ = -140 / - 28 = 5
∴ x1 = 3, x2 = 5
எடுத்துக்காட்டு: 12.10
7x1 – x2 – x3 = 0
10x1 - 2x2 + x3 = 8
6x1 + 3x2 - 2x3 = 7 என்ற சமன்பாடுகளின் தீர்வு காண்க.
தீர்வு:
கொடுக்கப்பட்ட சமன்பாட்டின் அணி வடிவம் பின்வருமாறு

= 7(4 – 3)- (- 1) (-20 - 6) + (- 1) (30 + 12)
= 7(1) + 1 (-26) - 1(42)
= 7 - 26 - 42 = - 61

= 0 (4-3) - (-1) (-16-7) + (-1) (24 + 14)
= 0 + 1(– 23) -1 (38)
= -23 – 38 = -61

= 7(-16-7) -0 (-20-6) + (-1) (70-48)
= 7(-23) + 0 – 1(22)
= -161 - 22 = -183

= 7(-14-24) - (-1)(70-48) + 0(30 + 12)
= 7(-38) + 1 (22) + 0
= -266 + 22 = -244
x1 = Δx1 / Δ = –61 / -61 = 1
x2 = Δx2 / Δ = -183 / -61 = 3
x3 = Δx3 / Δ = - 244 / -61 = 4

எடுத்துக்காட்டு 12.11
திரு. அன்பு 2 பேனாக்கள், 3 பென்சில்கள் மற்றும் 1 நோட்டு புத்தகம் வாங்கினார். திரு.பரக்கத் 4 பேனாக்கள், 3 பென்சில்கள் மற்றும் 2 நோட்டு புத்தகங்கள் வாங்கினார். திரு. சார்லஸ் 2 பேனாக்கள், 5 பென்சில்கள் மற்றும் 3 நோட்டு புத்தகங்கள் வாங்கினார். அவர்கள் முறையே ₹32, ₹52 மற்றும் ₹60 செலவழித்துள்ளனர். எனில், ஒரு பேனா, ஒரு பென்சில் மற்றும் ஒரு நோட்டு புத்தகத்தின் விலையைக் காண்க.
தீர்வு:
x என்பது ஒரு பேனாவின் விலையையும் y என்பது ஒரு பென்சிலின் விலையையும் z என்பது ஒரு நோட்டு புத்தகத்தின் விலையையும் குறிப்பிடும் என்க.
சமன்பாடு வடிவில்:
2x + 3y + 1z = 32,
4x + 3y + 2z = 52,
2x + 5y +3z = 60
அணி வடிவில்

Δ = 2(9 -10) -3 (12 -4) + 1(20 - 6)
= 2 (-1) – 3 (8) +1 (14)
= - 2 - 24 + 14 = - 12
Δx மதிப்பு காண,

Δx = 32 (9 -10) – 3 (156-120) + 1(260 - 180)
= 32(-1) - 3(36)+1(80)
= -32 - 108 + 80 = -60
Δy மதிப்பு காண,

Δy = 2(156-120)- 32(12 - 4) + 1(240–104)
= 2(36) -32 (8) + 1(136)
= 72 - 256 +136 = -48
Δz மதிப்பு காண,

Δz = 2(180-260) -3(240 -104) +32(20-6)
= 2(-80) - 3(136) + 32 (14)
= -160 - 408+448 = -120
x = -60 / -12 = 5 (ஒரு பேனாவின் விலை)
y = -48 / -12 = 4 (ஒரு பென்சிலின் விலை)
z = -120 / -12 = 10 நோட்டு புத்தகத்தின் விலை)
விடையைச் சரிபார்த்தல்
2x + 3y + 1z = 32
2(5)+3(4)+1(10)=10+12+10 = 32
4x + 3y + 2z = 52
4(5)+3(4)+2(10)= 20+12+20 =52
2x + 5y + 3z = 60
2(5)+5(4)+3(10)=10+20+30 = 60
சிந்தித்து செயல்படு
பாத்திமா ₹49 செலவழித்து 6 பேனாக்கள் மற்றும் 5 பென்சில்கள் வாங்கினாள். இராணி ₹32 செலவழித்து 3 பேனாக்கள் மற்றும் 4 பென்சில்கள் வாங்கினாள். எனில் 1 பேனா மற்றும் 1 பென்சிலின் விலையைக் காண்க.

தீர்வு : ஒரு பேனாவின் விலை = ₹4
ஒரு பென்சிலின் விலை = ₹5