இயற்பியல் - காந்தவியல் மற்றும் மின்னோட்டத்தின் காந்த விளைவுகள்: சரியான விடையை தேர்ந்தெடுத்து எழுதுக, சிறு வினாக்கள் | 12th Physics : UNIT 3 : Magnetism and Magnetic Effects of Electric Current
அலகு − 3
காந்தவியல் மற்றும் மின்னோட்டத்தின் காந்த விளைவுகள்
I. சரியான விடையை தேர்ந்தெடுத்து எழுதுக
1. பின்வரும் மின்னோட்டச் சுற்றின் மையம் O வில் உள்ள காந்தப்புலத்தின் மதிப்பு

விடை :


2. சீரான மின்னூட்ட அடர்த்தி σ கொண்ட மின்னூட்டப்பட்ட இணைத்தட்டு மின்தேக்கியின் இரண்டு தகடுகளுக்கு நடுவே எலக்ட்ரான் ஒன்று நேர்க்கோட்டுப் பாதையில் செல்கிறது. சீரான காந்தப்புலத்திற்கு
நடுவே இந்த அமைப்பு உள்ளபோது, எலக்ட்ரான் தகடுகளைக் கடக்க எடுத்துக்கொள்ளும் நேரம்

விடை :


3. செங்குத்தாக செயல்படும் காந்தப்புலத்தில்
உள்ள, q மின்னூட்டமும் m நிறையும் கொண்ட துகளொன்று V மின்னழுத்த வேறுபாட்டால் முடுக்கப்படுகிறது. அத்துகளின் மீது செயல்படும் விசையின் மதிப்பு என்ன?

விடை :


4. 5 cm ஆரமும், 50 சுற்றுகளும் கொண்ட வட்டவடிவக் கம்பிச்சுருளின் வழியே 3 ஆம்பியர் மின்னோட்டம் பாய்கிறது. அக்கம்பிச்சுருளின் காந்த இருமுனைத் திருப்புத்திறனின் மதிப்பு என்ன ?
(a) 1.0 A m2
(b) 1.2 A m2
(c) 0.5 A m2
(d) 0.8 A m2
விடை: (b) 1.2 A m2
தீர்வு :
r = 5cm = 5 × 10−2 m
N = 50 சுற்றுகள், 1 = 3A
M = NIA
= 50 × 3 × 3.14 × 25 × 10−4
M = 1.2 Am2
5. மெல்லிய காப்பிடப்பட்ட கம்பியினால் செய்யப்பட்ட சமதள சுருள் (plane spiral) ஒன்றின் சுற்றுகளின் எண்ணிக்கை N = 100. நெருக்கமாக சுற்றப்பட்ட சுற்றுகளின் வழியே I = 8mA அளவு மின்னோட்டம் பாய்கிறது. கம்பிச்சுருளின் உட்புற மற்றும் வெளிப்புற ஆரங்கள் முறையே a = 50 mm மற்றும் b = I00mm எனில், சுருளின் மையத்தில் ஏற்படும் காந்தத்தூண்டலின் மதிப்பு
(a) 5 μT
(b) 7 μT
(c) 8 μT
(d) 10 μT
விடை: (b) 7 μT

6. சமநீளமுடைய மூன்று கம்பிகள் வளைக்கப்பட்டு சுற்றுகளாக மாற்றப்பட்டுள்ளன. ஒன்று வட்ட வடிவிலும் மற்றொன்று அரை வட்ட வடிவிலும் மூன்றாவது சதுர வடிவிலும் உள்ளன. மூன்று சுற்றுகளின் வழியாகவும் ஒரே அளவு மின்னோட்டம் செலுத்தப்பட்டு சீரான காந்தப்புலம் ஒன்றில் வைக்கப்பட்டுள்ளன. மூன்று சுற்றுகளின் எந்த வடிவமைப்பில் உள்ள சுற்று பெரும திருப்பு விசையை உணரும்?
(a) வட்ட வடிவம்
(b) அரைவட்ட வடிவம்
(c) சதுர வடிவம்
(d) இவை அனைத்தும்
விடை: (a) வட்ட வடிவம்
தீர்வு: வட்ட வடிவம் அதிக திருப்பு விசை கொண்டது. ஏனென்றால் திருப்பு விசை பரப்பைச் சார்ந்தது.
7. N சுற்றுக்களும் R ஆரமும் கொண்ட இரு கம்பிச்சுருள்கள் படத்தில் காட்டியுள்ளவாறு R தொலைவில் பொது அச்சில் அமையும் படி வைக்கப்பட்டுள்ளன. கம்பிச்சுருள்களின் வழியே ஒரே திசையில் I மின்னோட்டம் பாயும்போது கம்பிச்சுருள்களின் நடுவே மிகச்சரியாக R/2 தொலைவில் உள்ள P புள்ளியில் ஏற்படும் காந்தப்புலம்

விடை :


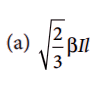
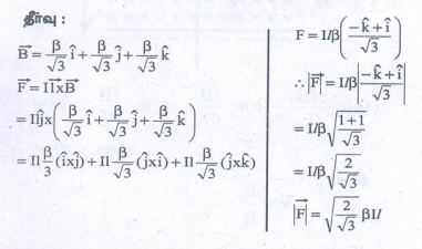
8. l நீளமுள்ள கம்பி ஒன்றின் வழியே Y திசையில் I மின்னோட்டம் பாய்கிறது. இக்கம்பியை
என்ற காந்தப்புலத்தில் வைக்கும்போது, அக்கம்பியின் மீது செயல்படும் லாரன்ஸ் விசையின் எண்மதிப்பு

விடை :


9. l நீளமும் pm திருப்புத்திறனும் கொண்ட சட்டகாந்தமொன்று படத்தில் காட்டியுள்ளவாறு வில் போன்று வளைக்கப்பட்டுள்ளது. சட்டகாந்தத்தின் புதிய காந்த இருமுனை திருப்புத்திறனின் மதிப்பு

(a) pm
(b) 3/π pm
(c) 2/π pm
(d) 1/2 pm
விடை: (b) 3/π pm

I0. q மின்னூட்டமும், m நிறையும் மற்றும் r ஆரமும் கொண்ட மின்கடத்தா வளையம் ஒன்று ω என்ற சீரான கோண வேகத்தில் சுழற்றப்படுகிறது எனில், காந்தத்திருப்புத்திறனுக்கும் கோண உந்தத்திற்கும் உள்ள விகிதம் என்ன.
(a) q/m
(b) 2q / m
(c) q / 2m
(d) q / 4m
விடை: (c) q/2m

11. ஃபெர்ரோ காந்தப்பொருள் ஒன்றின் B−H வளைகோடு பின்வரும் படத்தில் காட்டப்பட்டுள்ளது. இப்பெர்ரோ காந்தப்பொருள் 1 cm க்கு I000 சுற்றுகள் கொண்ட நீண்ட வரிச்சுருளின் உள்ளே வைக்கப்பட்டுள்ளது. ஃபெர்ரோ காந்தப்பொருளின் காந்தத் தன்மையை முழுவதும் நீக்க வேண்டுமெனில் வரிச்சுருள் வழியே எவ்வளவு மின்னோட்டத்தை செலுத்த வேண்டும்?

(a) 1.00 mA
(b) 1.25 mA
(c) 1.50 mA
(d) 1.75 mA
விடை: (c) 1.50 mA
12. இரண்டு குட்டையான சட்ட காந்தங்களின் காந்தத்திருப்புத்திறன்கள் முறையே 1.20 Am2 மற்றும் 1.00 Am2 ஆகும். இவை ஒன்றுக்கொன்று இணையாக உள்ளவாறு அவற்றின் வடமுனை, தென்திசையை நோக்கி இருக்கும்படி கிடைத்தள மேசை மீது வைக்கப்பட்டுள்ளன. இவ்விரண்டு குட்டை காந்தங்களுக்கும் காந்த நடுவரை (Magnetic equator) பொதுவானதாகும். மேலும் அவை 20.0cm தொலைவில் பிரித்து வைக்கப்பட்டுள்ளன. இவ்விரண்டு காந்தமையங்களையும் இணைக்கும் கோட்டின் நடுவே O புள்ளியில் ஏற்படும் நிகர காந்தப்புலத்தின் கிடைத்தள மதிப்பு என்ன?
(புவிக் காந்தப்புலத்தின் கிடைத்தள மதிப்பு 3.6 × I0−5 Wb m−2)
(a) 3.60 × 10−5 Wb m−2
(b) 3.5 × 10−5 Wb m−2
(c) 2.56 × 10−4 Wb m−2
(d) 2.2 × 10−4 Wb m−2
விடை: (c) 2.56 × 10−4 Wb m−2

13. புவி காந்தப்புலத்தின் செங்குத்துக்கூறும், கிடைத்தளக்கூறும் சமமதிப்பைப் பெற்றுள்ள இடத்தின் சரிவுக் கோணத்தின் மதிப்பு?
(a) 30°
(b) 45°
(c) 60°
(d) 90°
விடை: (b) 45°

14. R ஆரமும், σ பரப்பு மின்னூட்ட அடர்த்தியும் கொண்ட மின்காப்புப்பெற்ற தட்டு அதன் பரப்பின் மீது அதிகப்படியான மின்னூட்டங்களைப் பெற்றுள்ளது. தட்டின் பரப்பிற்கு செங்குத்தாக உள்ள அச்சைப்பொறுத்து ω என்ற கோணதிசைவேகத்துடன் இது சுற்றுகிறது. சுழலும் அச்சுக்கு செங்குத்தான திசையில் செயல்படும் B வலிமை கொண்ட காந்தப்புலத்திற்கு நடுவே இத்தகடு சுழன்றால், அதன் மீது செயல்படும் திருப்புத்திறனின் எண்மதிப்பு என்ன?

விடை:


15. என்ற வெக்டர்மதிப்புடைய காந்த இருமுனையானது,
என்ற சீரான காந்தப்புலத்தில் வைக்கப்பட்டால் அதன் நிலையாற்றல் மதிப்பு
(a) −0.1 J
(b) −0.8 J
(c) 0.1 J
(d) 0.8 J
விடை: (c) 0.1 J
II. சிறு வினாக்கள்:
1. காந்தப்புலம் என்றால் என்ன?
• புறக்காந்தப்புலத்தின் மூலம் ஒரு பொருளைக் காந்தமாக்குவது காந்தப்புலம் எனப்படும்.
• இதன் SI அலகு டெஸ்லா (T) (or) Wbm−2 பரிமாண வாய்ப்பாடு: MT−2 A−1
2. காந்தப்பாயத்தை வரையறு.
• ஓரலகு பரப்பின் வழியாகச் செல்லும் காந்தப்புலக் கோடுகளின் எண்ணிக்கை
• 
• S.I அலகு :- வெபர் (Wb)
• பரிமாண வாய்ப்பாடு [ML2T−2 A−1]
3. காந்த இருமுனை திருப்புத்திறனை வரையறு.
• காந்தத்தின் முனை வலிமை மற்றும் காந்த நீளம் இவற்றின் பெருக்கற்பலன் காந்த இருமுனை திருப்புத்திறன் எனப்படும்.
• வெக்டர் அளவு
என குறிப்பிடுதல் வேண்டும்.
• காந்த இருமுனை திருப்புத்திறனின் எண்மதிப்பு
Pm = 2qml
4. கூலூம் எதிர்த்தகவு இருமடி விதியைக் கூறு.
• இரண்டு காந்த முனைகளுக்கு இடையே உள்ள ஈர்ப்பு விசை அல்லது விலக்கு விசை அவற்றின் முனை வலிமைகளின் பெருக்கல் பலனுக்கு நேர்விகிதத்திலும் அவற்றிற்கு இடையே உள்ள தொலைவின் இருமடிக்கு எதிர்விகிதத்திலும் இருக்கும்.

• qmA & qmB இரண்டு காந்த முனைகளின் முனை வலிமை
r − இரண்டு காந்த முனைகளுக்கு இடையே உள்ள தொலைவு
5. காந்த ஏற்புத்திறன் என்றால் என்ன?
• காந்தமாக்கும் புலத்தினால் பொருளில் தூண்டப்பட்ட காந்தமாகும் செறிவிற்கும்
பொருளுக்கு அளிக்கப்பட்ட காந்தமாக்குப் புலத்திற்கும்
உள்ள விகிதம்.

• இது ஒரு பரிமாணமற்ற அளவு
• திசை ஒருமைப் பண்பு−ஸ்கேலார்
• திசை ஒருமைப் பண்பற்றது−வெக்டர்
6. பயட் − சாவர்ட் விதியைக் கூறு.
மின்னோட்டம் பாயும் கடத்தியின் நீளத்தின் சிறு கூறிலிருந்து r தொலைவில் உள்ள P புள்ளியில் உருவாகும் காந்தப்புலம்
இன் எண் மதிப்பு
i) மின்னோட்டத்தின் (I) வலிமைக்கு நேர்த்தகவிலும்
ii) நீளக் கூறின்
எண்மதிப்புக்கு நேர்த்தகவிலும்
iii)
மற்றும்
க்கு இடையே உள்ள கோணத்தின் θ சைன் மதிப்புக்கு நேர்த்தகவிலும்
iv) புள்ளி P மற்றும்
நீளக்கூறு இவற்றுக்கு இடையே உள்ள தொலைவின் இருமடிக்கு எதிர்த்தகவிலும் இருக்கும்.

7. காந்த உட்புகுதிறன் என்றால் என்ன?
• காந்தப்புலக் கோடுகளை தன்வழியே பாய அனுமதிக்கும் பொருளின் திறமை (or)
• காந்தமாக்கப்படுவதை ஏற்றுக் கொள்ளும் பொருளின் திறன் (or)
• பொருள் தன்வழியே காந்தப்புலத்தை உட்புக அனுமதிக்கும் அளவு
8. ஆம்பியர் சுற்று விதியைக் கூறு?
• ஒரு மூடிய சுற்று வளைவின் மீதுள்ள காந்தப் புலத்தின் கோட்டு வழித் தொகையீட்டு மதிப்பு சுற்று வளைவினால் மூடப்பட்ட நிகர மின்னோட்டத்தின் μ0 மடங்கிற்குச் சமம்.

• Iமூடப்பட்ட − மூடப்பட்ட சுற்றின் வழியாகச் செல்லும் நிகர மின்னோட்டம்
9. டயா, பாரா மற்றும் ஃபெர்ரோ காந்தவியலை ஒப்பிடு?

10. காந்தத் தயக்கம் என்றால் என்ன?
• காந்தப்புலம், காந்தமாக்கும் புலத்திற்குப் பின் தங்கும் நிகழ்ச்சி
• காந்தத்தயக்கம் என்றால் பின்தங்குதல் என்று பொருள்.
11. காந்த ஒதுக்கம் மற்றும் காந்த சரிவு − வரையறு?
காந்த ஒதுக்கம்
• காந்த துருவத் தளத்திற்கும், புவி அச்சு துருவத்தளத்திற்கும் இடையே உள்ள கோணம்.
• உயர்ந்த குறுக்கு கோடு−காந்த ஒதுக்கம் பெருமம்
• புவி நடுக்கோடு−காந்த ஒதுக்கம் சிறுமம்
காந்த சரிவு:
• புள்ளி ஒன்றில், புவியின் மொத்த காந்தப்புலம்,
காந்தத் துருவத் தளத்தின்
.• கிடைத்தளத் திசையுடன் ஏற்படுத்தும் கோணம்.
12. சைக்ளோட்ரானில் ஒத்ததிர்வு என்றால் என்ன?
• சைக்ளோட்ரான் செயல்பாட்டின் மிக முக்கிய நிபந்தனை ஒத்திசைவு நிபந்தனையாகும்.
• காந்தப்புலத்தில் சுழலும் நேர்மின் அயனியின் அதிர்வெண் f ஆனது, மாறாத அதிர்வெண் கொண்ட மாறுதிசை மின்னழுத்த வேறுபாட்டு மூலத்தின் அதிர்வெண்ணுக்குச் fஅலையியற்றி சமமாக இருக்கும்போது மட்டுமே ஒத்திசைவு நிபந்தனை பூர்த்தி அடைகிறது. இந்த நிகழ்வு சைக்ளோட்ரானின் ஒத்ததிர்வு எனப்படும்.
13. ஆம்பியர் − வரையறு?
வெற்றிடத்தில் ஒரு மீட்டர் இடைவெளியில் பிரித்து வைக்கப்பட்டுள்ள முடிவிலா நீளம் கொண்ட இரு இணைகடத்திகள் ஒவ்வொன்றின் வழியாகவும் பாயும் மின்னோட்டத்தினால், ஒவ்வொரு கடத்தியும் ஓரலகு நீளத்திற்கு 2 × 10−7N விசையை உணர்ந்தால், ஒவ்வொரு கடத்தியின் வழியாகவும் பாயும் மின்னோட்டத்தின் அளவு ஒரு ஆம்பியராகும்.
14. பிளெமிங் இடக்கை விதியைக் கூறு?
ஒன்றுக்கொன்று செங்குத்தான திசையில் உள்ளவாறு இடதுகையின் ஆள்காட்டி விரல், நடுவிரல் மற்றும் பெருவிரலை நீட்டி வைக்கும் போது, ஆள்காட்டி விரல் காந்தப்புலத்தின் திசையையும், நடுவிரல் மின்னோட்டத்தின் திசையையும் காட்டினால் பெருவிரல் கடத்தி உணரும் விசையின் திசையைக் காட்டும்.
15. மின்சுற்று ஒன்றில் அம்மீட்டர் இணைக்கப்படுவது தொடரிணைப்பிலா அல்லது பக்க இணைப்பிலா ஏன்?
• அம்மீட்டர் குறைந்த மின்தடை கொண்ட ஒரு கருவியாகும். இதனை எப்போதும் மின்சுற்றில் தொடராகவே இணைக்க வேண்டும்.
• ஒரு நல்லியல்பு அம்மீட்டர் சுழி மின்தடையைப் பெற்றிருக்கும்.
• அம்மீட்டரின் நெடுக்கத்தை n மடங்கு அதிகரிக்க பக்க இணைப்பில் இணைக்க வேண்டிய இணைதடை மின்தடையின் மதிப்பு

16. திசைவேகத் தேர்ந்தெடுப்பானின் கருத்தை விளக்குக?
கருத்து: கொடுக்கப்பட்ட எண் மதிப்புடைய மின்புலம் (
) மற்றும் காந்தப்புலம் (
)யில் இயங்கும் குறிப்பிட்ட வேகம் கொண்ட (Vo = E/B) மின்துகளின் மீது மட்டும் இவ்விசைகள் செயல்படுகின்றன என்பதாகும்.
17. காந்தப்புலத்தின் திசைக்கு செங்குத்தாக திசைவேகத்தின் திசை இல்லாத போது அதன்பாதை ஏன் வட்டமாக இருப்பதில்லை ?
• திசைவேகம், காந்தப்புலத்திற்கு செங்குத்தாக இல்லாத நிலையில் மின்துகளொன்று சீரான காந்தப்புலத்தினுள் நுழையும்போது, துகளின் திசைவேகம் இரண்டு கூறுகளாக பிரியும்.
• ஒன்று காந்தப் புலத்திற்கு இணையாகவும், மற்றொன்று காந்தப்புலத்திற்கு செங்குத்தாகவும் இருக்கும்.
• காந்தப்புலத்திற்கு இணையாக உள்ள திசை வேகத்தின் கூறு எவ்வித மாற்றத்திற்கும் உட்படாது. ஆனால் காந்தப்புலத்திற்கு செங்குத்தான கூறு லாரன்ஸ் விசையினால் தொடர்ந்து மாற்றமடையும், எனவே மின்துகள்கள் வட்டப்பாதையில் சுற்றாமல் காந்தப்புலக் கோடுகளைச் சுற்றி சுருள்வட்டப் பாதையில் (helical path) சுற்றும்.

18. டயா / பாரா / பெர்ரோ காந்தப் பொருள்களின் பண்புகளைக் கூறுக?

19. புற காந்தப்புலத்தில் வைக்கப்படும் போது ஒரு பெர்ரோ காந்தப் பொருளில் காணப்படும் பெருங்கூறுகளுக்கு என்ன நேரிடுகிறது?
• புறக்காந்தப்புலத்தின் திசைக்கு இணையாக காந்தத் திருப்புத்திறன்களைப் பெற்றுள்ள பெருங்கூறுகள் அளவில் பெரிதாகும்.
• புறக்காந்தப்புலத்திற்கு இணையாக இல்லாத பெருங்கூறுகள் சுழன்று புறக்காந்தப்புலத்தின் திசையில் ஒருங்கமைகின்றன.
20. திசைவேகத் தேர்ந்தெடுப்பான் என்றால் என்ன? அதன் வாய்ப்பாட்டைத் தருவி.
• மின்புலம் மற்றும் காந்தப்புலங்களை தேர்வு செய்வதன் மூலம் குறிப்பிட்ட வேகத்தில் செல்லும் மின்துகளை தேர்வு செய்ய இயலும்
• இதுபோன்ற புலங்களின் அமைப்பிற்கு திசைவேகத் தேர்ந்தெடுப்பான் என்று பெயர்.
வாய்ப்பாடு:
