பயட் - சாவர்ட் விதி | இயற்பியல் - மின்னோட்டம் பாயும் வட்டவடிவக் கம்பிச்சுருளின் அச்சு வழியே ஏற்படும் காந்தப்புலம் | 12th Physics : UNIT 3 : Magnetism and Magnetic Effects of Electric Current
மின்னோட்டம்
பாயும் வட்டவடிவக் கம்பிச்சுருளின் அச்சு வழியே ஏற்படும் காந்தப்புலம்
R ஆரமுடைய மின்னோட்டம் பாயும் வளைய ஒன்றைக் கருதுக. இவ்வளையத்தின் வழியே I மின்னோட்டம் பாய்கிறது. இம்மின்னோட்டத்தி. திசை படம் 3.33இல் காட்டப்பட்டுள்ளது.
வளையத்தின் மையம் O விலிருந்து z தொலைவில் அதன் அச்சின் மீது அமைந்துள்ள புள் P யைக் கருதுக. இப்புள்ளியில் காந்தப்புலத்தை கணக்கிட வட்ட வளையத்தின் மீது எதிரெதிரா அமைந்துள்ள C மற்றும் D புள்ளிகளில் I
நீளமுடைய இரு நீளக் கூறுகளைக் கருதுக. புள்ளி Cல் உள்ள மின்னோட்டக் கூறு (I
) மற்றும் புள்ளி Pயை இணைக்கும் வெக்டரை r^ என்க

பயட்- சாவர்ட் விதியின் படி மின்னோட்டக் கூறு (I
) ஆல் P புள்ளியில் ஏற்படும் காந்தப்புலம்

ன் எண்மதிப்பு

இங்குθ என்பது I
மற்றும்
ஆகியவற்றிற்கு இடைப்பட்ட கோணம்; இங்குθ = 90° ஆகும்.
ன் திசை மின்னோட்டக் கூறு I
மற்றும் CP ஆகியவற்றிற்கு செங்குத்தாக இருக்கும். அதாவது, அது CPக்கு குத்தாக PR திசையில் இருக்கும்.
புள்ளி Dல் உள்ள மின்னோட்டக் கூறினால் Pல் ஏற்படும் காந்தப்புலத்தின் எண்மதிப்பு புள்ளி Cல் உள்ள மின்னோட்டக் கூறினால் Pல் ஏற்படும் காந்தப்புலத்தின் எண்மதிப்புக்கு சமம் ஆகும். ஏனெனில் அவையிரண்டும் சம் தொலைவில் உள்ளன. ஆனால் இக்காந்தப்புலம் PS திசையில் இருக்கும்.
ஒவ்வொரு மின்னோட்டக் கூறினாலும் ஏற்படும் காந்தப்புலம்
ஐ y திசையில் dBcosØ என்றும் Z - திசையில் dBsinØ என்றும் இரண்டு கூறுகளாகப் பிரிக்கலாம். கிடைத்தளக் கூறுகள் ஒன்றையொன்று சமன் செய்து கொள்ளும். எனவே செங்குத்துக் கூறுகள்
மட்டுமே புள்ளி Pல் ஏற்படும் மொத்த காந்தப்புலத்திற்கும் காரணமாக அமைகின்றன.

∆OCPலிருந்து

இம்மதிப்புகளை மேலே உள்ள சமன்பாட்டில் பிரதியிட,

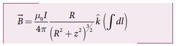
மின்னோட்டம் பாயும் வட்டச்சுருளினால் புள்ளி Pல் உருவாகும் நிகர காந்தப்புலம்
ஐக் கணக்கிட நீளக்கூறினை 0 இலிருந்து 2πR வரை தொகையிடவும்.

வட்டச்சுருள் N சுற்றுகளைக் கொண்டது எனில், காந்தப்புலம்

சுருளின் மையத்தில் காந்தப்புலம்

எடுத்துக்காட்டு 3.13
படத்தில் காட்டப்பட்டுள்ள வளையத்தின் மையத்தில் ஏற்படும் காந்தப்புலத்தைக் காண்க?

தீர்வு
வளையத்தின் மேல் அரைவட்டத்தின் மற்றும் கீழ் அரைவட்டத்தின் வழியே மின்னோட்டம் பாய்வதால் ஏற்படும் காந்தப்புலங்கள் எண்மதிப்பில் சமமாகவும் எதிரெதிர் திசைகளில் செயல்படுவதால், வளையத்தின் மையத்தில் (O புள்ளியில்) நிகர காந்தப்புலம்
சுழியாகும்
= ![]()