துகள்களாலான அமைப்பு மற்றும் திண்மப் பொருட்களின் இயக்கம் - நெடு வினாக்கள் விடைகள் | 11th Physics : UNIT 5 : Motion of System of Particles and Rigid Bodies
துகள்களாலான அமைப்பு மற்றும் திண்மப் பொருட்களின் இயக்கம்
நெடு வினாக்கள்
1. சமநிலையின் வகைகளை தக்க உதாரணங்களுடன் விளக்குக.

2. ஒழுங்கற்ற வடிவமுடைய பொருட்களின் நிறைமையம் காணும் முறையை விளக்குக.

● ஒழுங்கற்ற வடிவமுடைய பொருளிள் P என்ற புள்ளியை கருதுவோம். P என்ற புள்ளியிலிருந்து கட்டி தொங்க விட வேண்டும்.
● PP’ என்ற குத்துக்கோட்டினை வரைய வேண்டும்.
● இதே போல் Q மற்றும் R புள்ளிகளில் படத்தில் காட்டியுள்ளவாறு தொங்க விடப்படுகிறது.
● மேலும் QQ' மற்றும் RR' என்ற குத்துக்கோடுகள் வரைய வேண்டும்.
● இந்த குத்துக்கோடுகள் சந்திக்கும் புள்ளி ஒழுங்கற்ற பொருளின் ஈர்ப்பு மையம் G ஆகும்.
● இங்கு பொருள் தொங்கவிடப்பட்ட புள்ளியில் செயல்படும் எதிர்விசையும் நிறை மையத்தின் மீது செயல்படும் புவியீர்ப்பு விசையும் ஒன்றை யொன்று சமன் செய்கிறது.
3. சைக்கிள் ஓட்டுபவர் வளைவுப் பாதையை கடக்க முயலும் போது சாய்வதற்கான காரணம் என்ன? கொடுக்கப்பட்ட திசை வேகத்திற்கு சைக்கிள் ஓட்டுபவர் சாயும் கோணத்திற்கான சமன்பாட்டை பெறுக.

● மிதிவண்டி ஓட்டுபவர் சமநிலையில் r ஆரம் உள்ள வட்டப்பாதையில் v திசைவேகத்துடன் செல்வதாக கருதுவோம்.
● மிதிவண்டி மற்றும் ஓட்டுபவரையும் சேர்த்து m நிறை கொண்ட ஒரே அமைப்பாக கருதுவோம்.
● நிறைமையம் C மற்றும் இது '0'வைமையமாக கொண்டு r ஆரம் கொண்ட வட்டப்பாதையில் செல்கிறது.
● OC யை x அச்சாகவும், O வழியே செல்லும் செங்குத்துக்கோடு OZ ல் அச்சாகவும் கொள்வோம்.
● இவ்வமைப்பு z அச்சை சுழல் அச்சாக கொண்டு ω = v/r என்ற கோண திசைவேகத்தில் சுழல்கிறது.
● இவ்வமைப்பு சுழல் குறிப்பாயத்தில் ஓய்வு நிலையில் உள்ளது.
● சுழல் குறிப்பாயத்தைக் கொண்டு நாம் தீர்வுகளை காணும் போது அமைப்பின் மீது மைய விலக்கு விசை mv2/r செயல்படுவதாக் கருத வேண்டும்.
● இவ்வமைப்பின் மீது செயல்படும் விசைகளாவன
1) புவி ஈர்ப்பு விசை (mg)
ii) செங்குத்து விசை (N)
iii) உராய்வு விசை (f)
iv) மைய விலக்கு விசை (mv2/r)
● சுழற்சி குறிப்பாயத்தில் அவ்வமைப்பானது சமநிலையில் இருக்கவேண்டுமானால் Fநிகர = 0 மற்றும் τநிகர = 0

புள்ளி A வைப் பொருத்து, புவிஈர்ப்பு விசை mg ஆல் ஏற்படும் திருப்பு விசை
= mg (AB) (கடிகார திசையில்)
மைய நோக்கு விசையின் திருப்பு விசை
= mv2/r (BC) (எதிர்கடிகார திசையில்)
(மரபு : எதிர் கடிகார திசை - நேர்குறி, கடிகார திசை - எதிர்குறி)
−mgAB + mv2/r BC = 0 ;
mgAB = mv2/r BC
∆ ABC, AB = AC sin θ
BC = AC cos θ
mg AC sin θ = [ mv2 / r ] AC cosθ
tanθ = v2 / rg
θ = tan-1 (v2 / rg)
மிதிவண்டி ஓட்டுபவர் கடக்க முயற்சிக்கும் போது கீழே விழாமல் சமநிலையில் இருக்க θ கோணம் சாய்ந்த நிலையில் கடக்க வேண்டும்.
4. தண்டு ஒன்றின் நிலைமத் திருப்புத்திறனை அதன் மையம் வழியாகவும், தண்டிற்கு செங்குத்தாகவும் செல்லும் அச்சைப் பொருத்ததுமான சமன்பாட்டை விவரி.
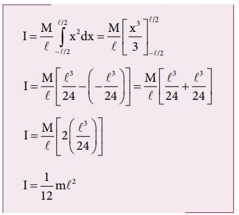
● (M) நிறையும் (l) நீளமும் கொண்ட சீரான நிறை அடர்த்தி கொண்ட திண்ம தண்டின் நீளத்திற்கு செங்குத்தாக செல்லும் அச்சைப் பொருத்து நிலைமத்திருப்புத்திறனுக்கான சமன்பாட்டை பெறலாம்.
● முதலில் ஆதிப்புள்ளியை ஆய அச்சு அமைப்பைத் திண்ம தண்டின் வடிவியல் மையத்தில் அமைந்துள்ள நிறைமையத்துடன் பொருத்த வேண்டும்.
● இப்பொழுது திண்மத்தண்டானது X அச்சில் அமைந்துள்ளதாகக் கருதுவோம். ஆதிப்புள்ளியிலிருந்து மீநுண்நிறை (dm) ஐக் கருதுவோம்.
● மீநுண்பொருளின் நிலைமத் திருப்புத்திறன் dI = (dm)x2
● ஓரலகு நீளமுள்ள தண்டின் நிறை λ = M/l
● dx நீளமுள்ள தண்டின் நிறை dm = λdx
தொகையிட
dm =
I = ʃ dI = ʃ dmx2
I = ʃ ( m/ℓ dx ) . x2

ஆதிப்புள்ளியின் இருபுறமும் நிறையானது பரவி இருப்பதால் அதன் தொகையீடு காண அதன் எல்லையை – l/2 முதல் + l/2 வரை கருதலாம்


5. சீரான வளையத்தின் மையம் வழிச் செல்வதும், தளத்திற்கு செங்குத் தானதுமான அச்சைப்பற்றிய நிலைமத் திருப்பத்திறனிற்கான சமன்பாட்டை வருவி.
● (M) நிறையும் (R) ஆரமும் கொண்ட சீரான நிறை அடர்த்தி கொண்ட வட்ட வளையத்தைக் கருதுக. வட்ட வளையத்தின் தளத்திற்கு செங்குத்தாகவும், அதன் மையம் வழிச் செல்லும் அச்சைப் பொருத்து நிலைமத்திருப்புத் திறனைக் காண, அவ்வளையத்திலிருந்து மீநுண் நிறை dm ஆனது மிகச்சிறிய நீளம் dxல் R தொலைவில் உள்ளது எனக் கொள்வோம்.
● மீநுண்நிறையின் நிலை மதிருப்பு திறன் dI = (dm)R2

● வட்ட வளையத்தின் நீளமானது அதன் சுற்றளவுக்கு (2πR) சமம்
● ஓரலகு நீளமுள்ள நிறையின் மதிப்பு λ = M/2πR
● dx நீளமுள்ள தண்டின் நிறை
dm = λdx(M / 2πR) dx
வட்டவளையம் முழுவதற்கான நிலைமதிருப்புத் திறன்
I = ʃ dI
I = ʃ (dm) R2
I = [MR / 2π] ʃ dx
வட்டவளையத்தின் மொத்த நீளம் காண எல்லையை O முதல் 2πR என எடுத்துக் கொள்ள வேண்டும்.
I = (MR / 2π ) ʃ 2πR0 dx

I = (MR / 2π) (x)2πR0 ; I = (MR / 2π) (2πR-0)
I = MR2
6. சீரான வட்டத்தட்டின் மையம் வழிச் செல்வதும், தளத்திற்கு செங்குத் தானதுமான அச்சைப் பற்றிய நிலைமத் திருப்பத் திறனைக் காண்க.
● (M) நிறையும் (R) ஆரமும் கொண்ட வட்டத்தட்டைக் கருதுக. வட்டத்தட்டானது மிகச்சிறிய வளையங்களால் ஆக்கப்பட்டுள்ளது.
● இதில் ஒரு வளையத்தின் மீநுண் நிறை dm மிகச்சிறிய தடிமன் dr, மற்றும் ஆரம் r எனக் கொள்க.
dI = (dm) r2

● ஓரலகு பரப்பில் நிறையின் மதிப்பு σ = M / πR2
● 2πrdr பரப்பின் நிறை
dm = σ 2πrdr = [ M/πR2 ] 2πrdr
dm = 2M / R2 (rdr)
dI = 2M / R2 (r3dr)
வட்டதட்டு முழுவதற்கான நிலைமதிருப்புத்திறன்
I = ʃ dI
= [2M / R2 ] Rʃ0r3dr
I = 2M / R2 [ r4 / 4]R0 = 2M / R2 [ R4/4 - 0]

I = ½ MR2
7. கோண உந்த மாறா விதியை தக்க உதாரணங்களுடன் விவரி.
விதி : வெளிப்புற திருப்புவிசை செயல்படாதவரை, சுழலும் திண்மப் பொருளின் மொத்த கோண உந்தம் மாறாது.

கோண உந்தம் மாறாமல் இருக்க I அதிகரிக்கும் போது ω குறையும் அல்லது ω அதிகரிக்கும் போது I குறையும்
உதாரணம்:
(i) நடனக்கலைஞர் தன்னைத் தானே சுழற்றும் போது அவரது கைகளை வெளிப்புறம் நீட்டினால் சுழலும் வேகம் குறைகிறது. ஏனெனில் கைகளை வெளிப்புறமாக நீட்டினால் நிலைமதிருப்புத்திறன் அதிகரித்து, கோண திசைவேகம் குறைந்து சுழலும் வேகம் குறைகிறது.
● கைகளை உடலைநோக்கி உட்புறமாக மடக்கும் போது நிலைமதிருப்புத்திறன் குறையாமல் சுழல் வேகம் அதிகரிக்கிறது.
(ii) நீச்சல் குளத்தில் உயரத்திலிருந்து குதிக்கும் நீச்சல் வீரர் தனது உடலை உட்புறமாக சுருக்கி கொல்வதன் மூலம் நிலைமத்திருப்புத்திறனை குறைத்து சுழற்சி வேகத்தை அதிகரிப்பதால் காற்றில் பல குட்டிகர்ணங்களை மேற் கொள்கிறார்.
8. இணையச்சு தேற்றத்தை கூறி நிரூபி.
தேற்றம்:
பொருளின் எந்தவொரு அச்சைப் பற்றிய நிலைமத் திருப்புத்திறனானது (I) நிறை மையத்தின் வழியே செல்லும் இணை அச்சைப்பற்றிய நிலைமத்திருப்புத்திறன் (Ic) மற்றும் பொருளின் நிறையையும் (M) இரு அச்சுகளுக்கு இடைப்பட்ட தொலைவின் இருமடியையும் (d2) பெருக்கி வரும் பெருக்கற்பலன் ஆகியவற்றின் கூடுதலுக்கு சமம்.

நிரூபணம்: I = IC + Md2
● நிறை மையம் Cயின் வழிச் செல்லும் அச்சு ABக்கு இணையாகவும், ABயிலிருந்து d செங்குத்துத் தொலைவில் மற்றொரு அச்சு DEயைப் பொருத்து பொருளின் நிலைமத்திருப்புத்திறன் I என்க.
பொருளின் நிறை மையத்திலிருந்து x தொலைவில் அமைந்துள்ள புள்ளி நிறை mஐ எடுத்துக் கொள்வோம். DE அச்சைப் பொருத்து புள்ளிநிறையின் நிலைமத்திருப்புத்திறன்
m(x+d)2
I = Σm(x+d)2
I = Σm(x2 + d2 + 2xd)
= Σ(mx2+rnd2+2dmx)
I = Σmx2 + Σmd2 + 2dΣmx
இங்கு Ic = Σmx2 = Ic
∑mx = 0 (ஏனெனில் X என்பது AB யைப் பொருத்து நேர் மற்றும் எதிர்குறி மதிப்புகளை பெற்றிருக்கும் இவற்றின் கூடுதல் சுழி)
I = Ic + (Σm)d2
Σm = M
I = Ic + Md2
9. செங்குத்து அச்சுத் தேற்றத்தை கூறி நிரூபிக்க.
தேற்றம்.
மெல்லிய சமதளப் பரப்பிற்கு செங்குத்தான அச்சைப் பற்றிய நிலைமத்திருப்புத்திறனானது அந்த தளத்திலேயே அமைந்த ஒன்றுக்கொன்று செங்குத்தான இரு அச்சுகளைப் பற்றிய நிலைமத்திருப்புத்திறன்களின் கூடுதலுக்குச் சமம்.
Iz = Ix + Iy

● (X) மற்றும் (Y) அச்சுகளினால் ஆன தளத்தில் Z அச்சுக்கு செங்குத்தான மெல்லிய பொருளின் தளம் ஆனது Z அச்சிற்கு செங்குத்தாக அமைந்துள்ளது எனக் கொள்க.
● X, Y மற்றும் Z அச்சுக்களைப் பொருத்த நிலைமத்திருப்புத்திறன்கள் முறையே 1x, iy மற்றும் Iz ஆகும்.
● புறக்கணிக்கத்தக்க தடிமன் கொண்ட மெல்லிய பொருளின் மீது ஆதிப்புள்ளி O வைக் கருதுக.
● படத்தில் காட்டப்பட்டது போல் Z அச்சுக்கு செங்குத்தாக X, Y அச்சுக்களால் ஆன தளம் உள்ளது.
● இம்மெல்லிய பொருளானது m நிறை கொண்ட பல துகள்களால் ஆனது எனக்கொள்க. O விலிருந்து ஆயப்புள்ளிகள் உடைய P என்ற புள்ளியை எடுத்துக் கொள்வோம்.
● Z அச்சைப் பொருத்து துகளின் நிலைமத்திருப்புத் திறன் = mr2
● Z அச்சைப் பொருத்து மெல்லிய பொருளின் முழுவதற்குமான நிலைமத்திருப்புதிறன்
Iz = Σmr2
இங்கு
r2 = x2 + y2
எனவே
Iz = Σm (x2 + y2)
Iz = Σmx2 + Σmy2 ………… (1)
Σmx2 - y அச்சைப் பொருத்து நிலைமத் திருப்புத் திறன்
Σmy2 -
Ix = Σmy2 ……….. (2)
Iy = Σmx2 ……….. (3)
சமன்பாடு (2) மற்றும் (3) ஐ சமன்பாடு (1)ல் பிரதியிட
Iz = Ix + Iy
10. சாய்தளத்தில் உருளுதலை விவரி மற்றும் அதன் முடுக்கத்திற்கான சமன்பாட்டை பெருக.
● சாய்தளத்தில் நிறை m1 ஆரம் R கொண்ட உருளை வடிவப்பொருள் நழுவாமல் கீழ்நோக்கி உருள்வதை கருதுவோம்.
● சாய்தளத்தில் பொருளின் மீது இருவிசைகள் செயல்படுகின்றன.
i) புவிஈர்ப்பு விசையின் கூறு (mg cos θ)
ii) நிலை உராய்வு (f)
● புவிஈர்ப்பு விசையின் மற்றொரு கூறு (mg cos θ) ஆனது, தளத்திற்குச் செங்குத்தாக செயல்படும் செங்குத்து விசையினால் சமன் செய்யப்படுகிறது.
● mg sin θ வானது இடப்பெயர்ச்சி இயக்கத்தை ஏற்படுத்தும் விசையாகவும், உராய்வு விசை இடப்பெயர்ச்சி இயக்கத்தை எதிர்க்கும் விசையாகவும் இருக்கிறது.
mg sinθ - f = ma ………. (1)
சுழற்சி இயக்கத்தின் போது, பொருளின் மையத்தை பொருத்து திருப்பு விசையைக் கருதுக. mg sin θ வின் கூறு திருப்பு விசையை ஏற்படுத்தாது.
ஆனால் உராய்வு விசை f திருப்பு விசை Rf யை ஏற்படுத்தும்.
Rf = Iα
a = rα
I = mk2
Rf = mk2(a/R)
f = m (K2 / R2) a …………(2)
Sub (2) in (1)
mg sinθ – ma (K2 / R2) = ma
mg sinθ = ma + ma (K2 / R2)
a ( 1 + K2/R2 ) = g sin θ
a = [ g sin θ ] / [ (1 + K2 / R2) ]

