வேலை, ஆற்றல் மற்றும் திறன் | இயற்பியல் - நெடுவினாக்கள் மற்றும் பதில்கள் | 11th Physics : UNIT 4 : Work, Energy and Power
வேலை, ஆற்றல் மற்றும் திறன் (இயற்பியல்)
நெடுவினாக்கள்
1. மாறா விசை மற்றும் மாறும் விசையால் செய்யப்பட்ட வேலைகளுக்கிடையே உள்ள வேறுபாடுகளை வரைபடங்களுடன் விளக்குக.
மாறா விசையினால் செய்யப்பட்ட வேலை:
ஒரு பொருளின் மீது F என்ற மாறாவிசை செயல்படும் போது, விசையினால் dr என்ற சிறு இடப்பெயர்ச்சியை ஏற்படுத்தச் செய்யப்பட்ட சிறு வேலை dw க்கான தொடர்பு
dw = (Fcosθ) dr ………….. (1)
தொடக்க நிலை ri முதல் இறுதிநிலை rf வரை இடப்பெயர்ச்சி ஏற்படுத்த செய்யப்படும் மொத்த வேலை.

மாறாத விசையினால் செய்யப்பட்ட வேலை படத்தில் காட்டப்பட்டுள்ளது. வரைபடத்தின் கீழ் உள்ள பரப்பு மாறாத விசையினால் செய்யப்பட்ட வேலையைக் குறிக்கிறது.
மாறுபடும் விசையினால் செய்யப்பட்ட வேலை:
மாறுபடும் விசை (F) ஒன்றின் கூறு ஒரு பொருளின் மீது செயல்படும் போது dr என்ற சிறு இடப்பெயர்ச்சியை ஏற்படுத்த விசையினால் செய்யப்பட்ட சிறுவேலை (dw)க்கான தொடர்பு
dw = (F cos θ) dr
(Fcos θ என்பது F என்ற மாறும் விசையின் கூறு ஆகும்)
இங்கு F மற்றும் θ ஆகியவை மாறிகள் ஆகும்.
தொடக்க நிலை ri ; முதல் இறுதிநிலை rf வரை இடப்பெயர்ச்சி ஏற்படுத்த செய்யப்பட்ட மொத்த வேலை


2. வேலை ஆற்றல் தத்துவத்தைக் கூறி விளக்குக. அதற்கு ஏதேனும் மூன்று உதாரணங்களைக் கூறுக.
தத்துவம்:
பொருளின் மீது விசையினால் செய்யப்பட்ட மாற்றுகிறது என்பதை குறிக்கிறது. இதுவே வேலை இயக்க ஆற்றல் தேற்றம் எனப்படும்.
● வேலையும் ஆற்றலும் சமமானவை. இது இயக்க ஆற்றலுக்கும் பொருந்தும். இதனை நிரூபிக்க m நிறையுள்ள ஒரு பொருள் உராய்வற்ற கிடைத்தளப் பரப்பில் ஓய்வில் இருப்பதாகக் கருதுவோம்.
● (F) என்ற மாறா விசையினால் அதே திசையில் (S) என்ற இடப்பெயர்ச்சியை ஏற்படுத்த செய்யப்பட்ட வேலை.
W = Fs ……………. (1)
மாறாத விசைக்கான சமன்பாடு
F = ma ……………… (2)
மூன்றாவது இயக்கச் சமன்பாட்டை இவ்வாறு எழுதலாம்.
v2 = u2 + 2as
a = (v2-u2/2s)
a இன் மதிப்பை சமன்பாடு (2) இல் பிரதியிட
F = m ( [v2 − u2 ] / 2s) ………… (3)
சமன்பாடு (3) ஐ
W = m ([v2 / 2s] s) – m ([u2 / 2s] s)
W = 1/2 mv2 – 1/2 mu2 ………… (4)
இயக்க ஆற்றலுக்கான கோவை :
மேற்கண்ட சமன்பாட்டில் (1/2 mv2) என்பது (v) திசைவேகத்தில் இயங்கும் (m) நிறையுள்ள பொருளின் இயக்க ஆற்றலைக் குறிக்கும்.
K.E = 1/2 mv2 ………….. (5)
பொருளின் இயக்க ஆற்றல் எப்பொழுதும் நேர்க்குறி மதிப்புடையதாகும்.
சமன்பாடு (5) மற்றும் (6) இல் இருந்து
KE = 1/2 mv2 − 1/2 mv2 ……………….(6)
எனவே W = ΔKE
சமன்பாடு (7) இல் வலது பக்கத்தில் உள்ள கோவை பொருளின் இயக்க ஆற்றல் மாறுபாடு ΔKE ஆகும்.
வேலை : இயக்க ஆற்றல் தேற்றமானது கீழ்காண்பவற்றை உணர்த்துகிறது.
● பொருளின் மீது விசையினால் செய்யப்பட்ட வேலை நேர்க்குறியாக இருந்தால் அதன் இயக்க ஆற்றல் அதிகரிக்கிறது.
● பொருளின் மீது விசையினால் செய்யப்பட்ட வேலை எதிர்குறியாக இருந்தால் அதன் இயக்க ஆற்றல் குறைகிறது.
● பொருளின் மீது விசையினால் வேலை ஏதும் செய்யப்படவில்லை எனில் அதன் இயக்க ஆற்றல் மாறாது. இது பொருளின் நிறை மாறாதபோது விசையினால் பொருளானது மாறா வேகத்தில் இயங்கியது என்பதைக் குறிக்கிறது.
3. திறன் மற்றும் திசைவேகத்திற்கான கோவையைத் தருவி. அதற்குச் சில உதாரணங்கள் தருக.
திறன் மற்றும் திசைவேகத்திற்கிடையான தொடர்பு
விசையினால் d
என்ற இடப்பெயர்ச்சிக்கு செய்யப்பட்ட வேலை
…………(1)
சமன்பாட்டின் இன் இடது பக்கத்தில் உள்ளதை இவ்வாறு எழுதலாம்.
W = ʃ dw = ʃ dw/dt dt …………….. (2)
(dt ஆல் பெருக்கவும் வகுக்கவும் செய்ய)
திசைவேகம் 
சமன்பாடு (1) இன் வலது பக்கத்தில் உள்ளதை இவ்வாறு எழுதலாம்.
இவ்வாறு எழுதலாம்.

சமன்பாடு (2) மற்றும் (3) ஐ சமன்பாடு (1) இல் பிரதியிட

இந்த தொடர்பானது dt, இன் எந்த ஒரு தன்னிச்சையான மதிப்பிற்கும் சரியாக உள்ளது. அடைப்புக் குறிக்குள் உள்ள மதிப்பு சுழியாக இருக்க வேண்டும் என்பதை இது குறிக்கிறது. அதாவது

4. ஒரு பரிமாண மீட்சி மோதலில் பொருட்களின் திசைவேகத்திற்கான சமன்பாட்டைத்தருவித்து அதன் பல்வேறு நேர்வுகளை விவரி.
ஒரு பரிமாண மீட்சி மோதல்கள்:
● m1 மற்றும் m2 நிறையுள்ள இரு மீட்சிப் பொருள்கள் படத்தில் உள்ளவாறு ஒரு உராய்வற்ற கிடைத்தளப் பரப்பில் நேர்க்கோட்டில் (நேர் x அச்சின் திசையில்) இயங்குவதாகக் கருதுக.


● மோதல் நிகழ, நிறை, m1 நிறை m2 ஐ விட வேகமாக இயங்குவதாகக் கொள்க. அதாவது u1 > u2 மீட்சி மோதலுக்கு இரு பொருள்களின் மொத்த நேர்க்கோட்டு உந்தம் மற்றும் இயக்க ஆற்றல்கள் மோதலுக்கு முன்பும் மோதலுக்குப் பின்பும் மாறாமல் ஒரே அளவாக இருக்க வேண்டும்.

● நேர்க்கோட்டு உந்த மாறா விதியில் இருந்து மோதலுக்கு முன் மொத்த உந்தம் (Pi) = மோதலுக்கு பின்மொத்த உந்தம் (Pf)
● m1u1+ m2u2 = m1v1+ m2v2 …………. (1)
m1(u1 - v1) = m2 (v2 - u2) ……….. (2) மேலும்,

● மீட்சி மோதலுக்கு
மோதலுக்கு முன் மொத்த இயக்க ஆற்றல் KEi = மோதலுக்கு பின் மொத்த இயக்க ஆற்றல் KEf
1/2 m1u12 + 1/2 m2u12 = 1/2 m1v12 + 1/2 m1v22 ………(3)
● சுருக்கிய பிறகு மாற்றியமைக்க m1(u12 – v12) = m2 (v22 - u22) மேற்கண்ட சமன்பாட்டை (a2 – b2) = (a + b) (a - b) என்ற வாய்ப்பாட்டைப் பயன்படுத்தி மீண்டும் எழுத.
m1 (u1+v1) (u1−v1) = m2 (v2+u2) (v2−u2) ………….. (4)
சமன்பாடு (4) ஐ (2) ஆல் வகுக்க கிடைப்பது.
[ m1 (u1+v1)(u1−v1) ] / [ m1 (u1−v1) ] = [ m2 (v2+u2)(v2-u2) ] / [ m2(v2-u2) ]
u1 + v1 = v2 - u2 மாற்றியமைக்க
ul + vl = v2 - u2 ………… (5)
சமன்பாடு 5 ஐ இவ்வாறு எழுதலாம்.
u1 - u2 = (v1 - v2)
இதன் பொருளானது எந்த ஒரு நேரடி மீட்சி மோதலும், மோதலுக்குப்பின் இரு மீட்சிப் பொருள்களின் ஒப்புமை வேகம் மோதலுக்கு முன் இருந்த அதே எண் மதிப்பைக் கொண்டும் ஆனால் எதிர்திசையிலும் இருக்கும் என்பதாகும். மேலும் இந்த முடிவு நிறையைச் சார்ந்ததல்ல என்பதை அறியவும்.
மேற்கண்ட சமன்பாட்டிலிருந்து v1 மற்றும் v2 மதிப்புகளைக் காண்க.
v1 = v2 + u2 − u1 …………..(6)
v2 = u1 + v1 − u2 ……... (7)
இறுதி திசைவேகங்கள் v1 மற்றும் v2 கண்டறிதல்:
சமன்பாடு 7 ஐ சமன்பாடு 2 இல் பிரதியிடுவதன் மூலம் m1 ன் திசைவேகமானது.
m1 (u1- v1) = m2 (u1 + v1 - u2 - u2)
m1 (u1- v1) = m2 (u1 + v1 - 2u2 )
m1 u1- m1v1 = m2u1 + m2v1 - 2m2 u2
m1 u1 - m2 u1 + 2m2u2 = m1v1 + m2v1
(m1 - m2 )u1 + 2m2u2 = (m1 + m2) v1
(or)
v1 = (m1-m2 / m1+m2) u1 + (2m2 / m1+m2) u2 ………(8)
இது போன்றே சமன்பாடு 6 ஐ சமன்பாடு 2 இல் பிரதியிட (அ) சமன்பாடு 8 ஐ சமன்பாடு 7இல் பிரதியிட m2 இன் இறுதி திசைவேகமானது.
v2 = (2m1 / m1+m2 ) u1 + (m2 - m1 / m1 + m2) u2 ………(9)

நேர்வு 1: பொருள்கள் ஒரே நிறையைக் கொண்டிருந்தால் அதாவது m1 = m2
v1 = u2 ………………(10)
சமன்பாடு 9 ⇒ v2 = (2m1 / 2m1) u1 + (0)u2
V2 = u1 ……… (11)
ஒரு பரிமாண மீட்சி மோதலில் சமநிறையுள்ள இரு பொருள்கள் மோதிக்கொண்டால் மோதலுக்குப் பின் அவற்றின் திசைவேகங்கள் பரிமாறிக் கொள்ளப்படுகின்றன.
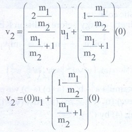
நேர்வு 2 : பொருள்கள் ஒரே நிறையைக் கொண்டிருந்தால் அதாவது m1 = m2 மற்றும் இரண்டாவது பொருள் ஒய்வு நிலையில் உள்ளபோது (u2 = 0)
m1 = m2 மற்றும் (u2 = 0) என்ற மதிப்புகளை சமன்பாடுகள் (8) மற்றும் (9) இல் பிரதியிட
சமன்பாடு (8) ⇒ v1 = 0 ……….. (12)
சமன்பாடு (9) ⇒ v2= u1 ……….. (13)
முதல் பொருள் மோதலுக்குப் பின் ஒய்வு நிலைக்கு வரும்போது இரண்டாவது பொருள் முதல் பொருளின் தொடக்க திசை வேகத்தில் இயங்குகிறது.
நேர்வு 3 : முதல் பொருளானது இரண்டாவது பொருளின் நிறையைவிட குறைவாக இருந்தால்
(m1 << m2 ; m1 / m2 << 1)
பிறகு விகிதம் m1/m2 = 0
மற்றும் இலக்கு ஒய்வு நிலையில் உள்ளபோது (u2 = 0) சமன்பாடு (8) இன் தொகுதி மற்றும் பகுதியை m2 ஆல் வகுக்க.

v1 = − u1 ……………..(14)
இது போன்றே சமன்பாடு (9) இன் தொகுதி மற்றும் பகுதியை m2 ஆல் வகுக்க.

v2 = 0 ………..(15)
மேற்காண் சமன்பாட்டிலிருந்து பந்து ஒன்று நிலையான சுவரின் மீது எறியப்பட்டால் பந்தானது எறியப்பட்ட அதே திசைவேகத்திலேயே எதிர்த்திசையில் சுவரில் இருந்து திரும்பி வரும்.
நேர்வு 4 : இரண்டாவது பொருளானது முதல் பொருளை விட நிறைகுறைவாக உள்ள போது (m2 << m1, m2/m1<<1) பிறகு விகிதம் m2/m1 = 0 மற்றும் இலக்கு ஒய்வு நிலையில் உள்ள போது (u2 = 0) சமன்பாடு 8 இன் தொகுதி மற்றும் பகுதியை m1 ஆல் வகுக்க.

v1 = u1 ……………(16)
இதுபோன்றே, சமன்பாடு (9) இன் தொகுதி மற்றும் பகுதியை m1 ஆல் வகுக்க.

v2 = u2 ……………(17)
கனமாக உள்ள முதல் பொருளானது மோதலுக்குப் பிறகு அதே திசைவேகத்துடன் தொடர்ந்து இயங்குகிறது. நிறை குறைவாக உள்ள இரண்டாவது பொருள் முதல் பொருளின் தொடக்க திசைவேகத்தைப் போல இரு மடங்கு திசைவேகத்துடன் இயங்குகிறது.
5. மீட்சியற்ற மோதல் என்றால் என்ன? அது மீட்சி மோதலில் இருந்து எவ்வாறு மாறுபட்டது? அன்றாட வாழ்வில் மீட்சியற்ற மோதலுக்குசில உதாரணங்களைக் கூறுக.
மீட்சியற்ற மோதல்:
● ஒரு மோதலில் பொருட்களின் தொடக்க மொத்த இயக்க ஆற்றலானது (மோதலுக்கு முன்) பொருட்களின் இறுதி மொத்த இயக்க ஆற்றலுக்கு (மோதலுக்குப் பின்) சமமாக இல்லையெனில் அது மீட்சியற்ற மோதல் எனப்படும். அதாவது. மோதலுக்கு முன் மொத்த இயக்க ஆற்றல் = மோதலுக்குப் பின் மொத்த இயக்க ஆற்றல் (மோதலுக்கு முன் மொத்த இயக்க ஆற்றல்) - (மோதலுக்குப் பின் மொத்த இயக்க ஆற்றல்)
= (மோதலின் போது ஆற்றல் இழப்பு) = ΔQ
● இயக்க ஆற்றல் மாறும் எனினும் மொத்த ஆற்றல் மாறாது. ஏனென்றால் மொத்த ஆற்றலானது இயக்க ஆற்றலின் சமன்பாடு மற்றும் மோதலின் போது ஏற்பட்ட அனைத்து இழப்புகளையும் உள்ளடக்கிய சமன்பாடு (ΔQ) ஆகியவற்றைக் கொண்டுள்ளது.
● மோதலின் போது இயக்க ஆற்றலில் ஏற்படும் இழப்பு ஒலி, வெப்பம் போன்ற வேறு வகையான ஆற்றலாக மாற்றமடைகிறது. மோதலுறும் இரு பொருள்களும் மோதலுக்குப் பின் ஒன்றுடன் ஒன்று ஒட்டிக்கொண்டால் அவ்வகை மோதல்கள் முழு மீட்சியற்ற மோதல் (அ) மீட்சியற்ற மோதல் எனப்படும். உதாரணமாக, ஈரமான ஒரு களிமண் உருண்டை (அ) பபிள்கம் ஒரு இயங்கும் வாகனத்தின் மீது எறியப்பட்டால், அது இயங்கும் வாகனத்துடன் ஒட்டிக்கொள்கிறது. மற்றும் அவை சமதிசைவேகத்துடன் இயங்குகின்றன.