இயக்கவியல் | இயற்பியல் - நெடு வினாக்கள் விடைகள் | 11th Physics : UNIT 2 : Kinematics
இயக்கவியல் | இயற்பியல்
நெடு வினாக்கள்
1. வெக்டர் கூடுதலின் முக்கோண விதியை விரிவாக விளக்கவும்.

● இரண்டு வெக்டர்களின் தொகுபயனை முக்கோண விதியினை பயன்படுத்தி கீழ்க்கண்டவாறு காணலாம்.
●
மற்றும்
என்ற இரண்டு சுழியற்ற வெக்டர்கள் வரிசைப்படி, ஒரு முக்கோணத்தின் அடுத்தடுத்த பக்கங்களாக கருதப்பட்டால், அவற்றின் தொகுபயன் எதிர்வரிசையில் எடுக்கப்பட்ட அம்முக்கோணத்தின் மூன்றாவது பக்கத்தினால் குறிப்பிடப்படும்.
●
வெக்டரின் தலைப்பகுதி
வெக்டரின் வால்பகுதியோடு இணைக்கப்பட்டுள்ளது.
●
வெக்டரின் வால்பகுதியும்
வெக்டரின் தலைப்பகுதியையும் இணைத்தால் தொகுபயன் வெக்டர்
கிடைக்கும்.
● எனவே
என எழுதலாம். ஏனெனில் 
1) தொகுபயன் வெக்டரின் எண்மதிப்பு:

● ABN என்ற செங்கோண முக்கோணத்தை கருதுக.
● படத்தில் OA என்ற பக்கத்தை நீட்டுவதன் மூலம் ABN என்ற செங்கோண முக்கோணம் கிடைக்கிறது.
cos θ = AN / B
∴ AN = B cos θ ……… (1)
cos θ = BN / B
∴ AN = B cos θ ……… (2)
For ∆ OBN, OB2 = ON2 + BN2 ……… (3)
R2 = (A+B cosθ)2 + (B sinθ)2
R2 = A2 + B2 cos2θ + 2AB cos + B2sin2θ
R2 = A2 + B2 (cos2θ sin2θ) + 2AB cosθ
R2 = A2 + B2 + 2AB cosθ
R = √[A2 + B2 + 2AB cosθ] ………… (4)
2) தொகுபயன் வெக்டரின் திசை:
மற்றும்
வெக்டர் இடையே உள்ள கோணம் θ எனில்,

In ∆OBN
tan α = BN / ON = BN / (OA + AN)
tan α = Bsinθ / (A + B cosθ)
∴ α = tan-1 (Bsinθ / [A + B cosθ]) ……….(6)
2. ஸ்கேலார் மற்றும் வெக்டர் பெருக்கல்களின் பண்புகளை விவரி.
ஸ்கேலார் பெருக்கல் :
(i) ஸ்கேலார் பெருக்கலின் தொகுபயன். மதிப்பு எப்போதும் ஒரு ஸ்கேலார் ஆகும். இரண்டு வெக்டர்களுக்கு இடையே உள்ள கோணம் குறுங்கோணம் எனில் ஸ்கேலார் பெருக்கலின் எண் மதிப்பு நேர்குறியுடனும், விரிகோணம் எனில் எதிர்குறியுடனும் அமையும்.
(ii) ஸ்கேலார் பெருக்கல் பரிமாற்று விதிக்கு உட்பட்டது அதாவது

(iii) ஸ்கேலார் பெருக்கல் பங்கீட்டு விதிக்கு உட்பட்டது அதாவது.

(iv) ஸ்கேலார் பெருக்கலின்படி, இரண்டு வெக்டர்களுக்கு இடைப்பட்ட கோணம்

(v) இரண்டு வெக்டர்கள் இணையாக உள்ளபோது அதாவது θ = 0° எனில் அவற்றின் ஸ்கேலார் பெருக்கல் பெருமம் ஆகும். ஏனெனில் cos° = 1

(vi) இரண்டு வெக்டர்கள் ஒன்றுக்கொன்று எதிராக உள்ளபோது அதாவது θ = 180° எனில், அவற்றின் ஸ்கேலார் பெருக்கல் சிறுமம் ஆகும். ஏனெனில் cos180° = -1

(vii) இரண்டு வெக்டர்கள் ஒன்றுக்கொன்று செங்குத்தாக உள்ளபோது அதாவது θ = 90° எனில், அவற்றின் ஸ்கேலர் பெருக்கல் சுழியாகும். ஏனெனில் cos 90° = 0 எனவே அந்த வெக்டர்களை, செங்குத்து வெக்டர்கள் (Orthogonal vectors) என அழைக்கலாம்.
(viii) ஒரு வெக்டர், அதே வெக்டருடன் ஸ்கேலர் பெருக்கல் செய்யப்பட்டால், அதற்கு தற்சார்பு ஸ்கேலர் பெருக்கல் என்று பெயர்.
. இங்கு கோணம் θ = 0°
இதன் எண் மதிப்பு |
| = A = √{
.
}
(ix) ஓரலகு வெக்டர்
ஐக் கருதும் போது

(x) செங்குத்து ஓரலகு வெக்டர்களைக் கருதும்போது

(xi) வெக்டர் கூறுகளின் அடிப்படையில்
மற்றும்
வெக்டர்களின் ஸ்கேலர் பெருக்கலைக் கீழ்க்கண்டவாறு எழுதலாம்

வெக்டர் பெருக்கலின் (குறுக்குப் பெருக்கல்)
பண்புகள்

3. மாறாத முடுக்கம் பெற்ற பொருளின் இயக்கச்சமன்பாடுகளை வருவிக்கவும்.
● நேர்க்கோட்டில் இயங்கும் பொருள் ஒன்றின் சீரான முடுக்கம் a என்க.
● நேரம் t = 0 வினாடியில் பொருளின் திசைவேகம் 'u' என்க.
● நேரம் t வினாடியில் பொருளின் திசைவேகம் 'v' என்க.
திசைவேகம் - நேரம் தொடர்பு
1) எந்தவொரு நேரத்திலும் பொருளின் முடுக்கம் என்பது நேரத்தைப்பொருத்து, திசைவேகத்தின் முதல் வகைக் கெழுவாகும். a = dv / dt (அ) dv = a.dt ……………….(1)
சமன்பாட்டிற்கு இருபுறமும் தொகைப்படுத்த

[v]uv = a [t]0t
v – u = at
v = u + at ……..(2)
இடப்பெயர்ச்சி - நேரம் தொடர்பு
2) பொருளின் திசைவேகம் என்பது, நேரத்தைப் பொருத்து பொருளின் இடப்பெயர்ச்சியின் முதல் வகைக்கெழுவாகும்.
v = ds/dt (அ)
ds = v.dt …………….(3)
இங்கு v = u + at
எனவே ds = (u+at) dt ……………. (4)
இருபுறமும் தொகைப்படுத்த

s = ut + ½ at2 …………(5)
திசைவேகம் - இடப்பெயர்ச்சி தொடர்பு
3) பொருளின் முடுக்கம் என்பது நேரத்தைப் பொருத்து திசைவேகத்தின் முதல் வகைக்கெழுவாகும்.
a = dv / dt = dv/ds . ds/dt = v . dv/ds (ds / dt = v)
a = ½ dv2/ds
ds = 1/2a d(v2) ………..(6)
இருபுறமும் தொகைப்படுத்த

∴ s = 1/2a (v2 – u2)
v2 = u2 + 2as …………(7)
சமன்பாட்டிற்கு (2) லிருந்து
at = v - u ……………. (8)
இந்த மதிப்பை சமன்பாட்டிற்கு (5)ல் பிரதியிட
s = ut+ ½ (v-u) t
s = [(u+v)t] / 2 …………(9)
இயக்க சமன்பாடுகள்
● v = u + at
● s = ut +1/2 at2
● s = u + 2as
● s = (u+v)t / 2
4. பின்வரும் பொருட்களின் இயக்கச் சமன்பாடுகளை வருவிக்கவும்.
(அ) செங்குத்தாக கீழே விழும் பொருள்
(ஆ) செங்குத்தாக எறியப்பட்ட பொருள்
(அ) செங்குத்தாக கீழே விழும் பொருள்
● m நிறையுடைய பொருளொன்று h உயரத்தில் இருந்து விழுகின்றது.
● காற்று தடையை புறக்கணிக்கவும்.

● பொருள் புவிப்பரப்பிற்கு அருகே விழுவதால் அது சீரான புவி ஈர்ப்பு முடுக்கத்தைப் பெறும்.
முடுக்கம் 
கூறுகளை ஒப்பிடும் போது
ax = 0, az = 0, ay = g
ay = a = g எனக் கொள்க.
● 'u' ஆரம்ப திசைவேகத்துடன் நேர்க்குறி y அச்சு திசையில் பொருளை கீழ்நோக்கி எறிவதாக கருதுக.
● t என்ற எந்தவொரு நேரத்திலும், பொருளின் இறுதி திசைவேகம்
v = u + gt ……....... (1)
t என்ற நேரத்தில் பொருளின் நிலை
y = ut + ½ gt2 .......... (2)
பொருள் y புள்ளியில் உள்ளபோது பொருளின் இருமடி வேகம்
v2 = u2 + 2gy ......... (3)
பொருள் ஓய்வு நிலையிலிருந்து விழத்துவங்கினால்,
u = 0
v = gt .......... (4)
y = ½ gt2 .......... (5)
v2 = 2gy .......... (6)
(ஆ) செங்குத்தாக எறியப்பட்ட பொருள்
● m நிறையுடைய பொருளொன்றை n என்ற ஆரம்ப திசைவேகத்துடன் செங்குத்தாக மேல்நோக்கி எறிக.
● காற்று தடையை புறக்கணிக்கவும்.

முடுக்கம் a = -g, ஏனெனில் g எதிர்க்குறி y அச்சின் திசையில் செயல்படுகிறது. எனில் இயக்கச் சமன்பாடுகள்
v = u − gt ………. (7)
s = ut – ½ gt2 ………. (8)
v2 = u2 -2gy ………. (9)
5. கிடைத்தளத்துடன் θ கோணம் சாய்வாக எறியப்பட்ட எறிபொருள் ஒன்றின் கிடைத்தள நெடுக்கம், மற்றும் பெரும உயரம் ஆகியவற்றிற்கான சமன்பாடுகளைப் பெறுக.
● எறிபொருள் ஒன்று, கிடைத்தளத்துடன் குறிப்பிட்ட கோணத்தில் எறியப்படுகிறது.
● கிடைத்தளத்துடன் θ கோணத்தில் எறியப்படும் எறிபொருளின் ஆரம்ப திசைவேகம்
என்க.

● ஆரம்ப திசைவேகத்தின் கிடைத்தளக் கூறு
ux = ucos θ செங்குத்துக் கூறு uy = u cos θ

● எறிபொருளின் இயக்கம் முழுமைக்கும் X அச்சின் திசையில் எவ்விதமான முடுக்கமும் இல்லை.
● எனவே திசைவேகத்தின் கிடைத்தளக் கூறு (uX = u cos θ) எறிபொருள் தரையை அடையும் வரை மாறாது.
't' காலத்திற்கு பின்பு கிடைத்தளத் திசைவேகம்
vx = UX + axt
● இங்கு aX = 0, vX = ux = u cos θ
● 't' நேரத்தில் எறிபொருள் கிடைத்தளத்தில் கடந்த தொலைவு

● 't' நேரத்திற்குப் பிறகு செங்குத்துத் திசைவேகம்
vy = uy + ayt
● uy = u sin θ, ay, = -g
ஃ vy = u sinθ – gt ………(2)
● 't' நேரத்தில் அடைந்த செங்குத்து தொலைவு

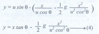
சமன்பாடு (2) ஐ (3) இல் பிரதியிடும் போது

● இச்சமன்பாட்டிலிருந்து எறிபொருள் மேற்கொண்ட பாதை ஒரு தலைகீழான பரவளையம் ஆகும்.
பெரும உயரம் (hmax)
எறிபொருள் தன்னுடைய பயணத்தில் அடையும் அதிகபட்ச செங்குத்து உயரம், பெரும உயரம் (hmax) எனப்படும்.
v2y = u2y +2ays.............(1)
இங்கு uy = u sin θ, ay = -g, s = hmax
மேலும் பெரும் உயரத்தில் vy = 0
எனவே, (0)2 = u2 sin2 θ - 2ghmax
…………(5)
கிடைத்தள நெடுக்கம் :-(R)
● எறியப்பட்ட புள்ளிக்கும், எறியப்பட்ட புள்ளி உள்ள கிடைத்தளத்தில் எறிபொருள் விழுந்த இடத்திற்கும் இடையே உள்ள தொலைவு எறிபொருளின் கிடைத்தள நெடுக்கம் எனப்படும்.
கிடைத்தள நெடுக்கம் (R)
= திசைவேத்தின் கிடைத்தளக்கூறு × பறக்கும் நேரம்
R = u cos θ × Tf
R = ucosθ × [2u sinθ / g] = [ 2u2 sinθ cosθ ] / g
R = [u2 sin2θ] / g
……………… (6)
கிடைத்தள நெடுக்கமானது
i) ஆரம்ப திசைவேகம் (u) மற்றும்
ii) எறிகோணத்தின் இருமடங்கின் சைன் மதிப்பு (sin 2θ) இவற்றிற்கு நேர்த்தகவினும்
iii) புவி ஈர்ப்பு முடுக்கத்திற்கு எதிர்த்தகவிலும் இருக்கும்.
பெரும கிடைத்தள நெடுக்கத்திற்கு sin2 θ = 1,
இதிலிருந்து 2 θ = π / 2
எனவே θ = π/4
எனவே கிடைத்தளத்துடன் 45° கோணத்தில் எறிபொருளினை எறிந்தால் அது பெரும கிடைத்தள நெடுக்கத்தை அடையும்.
Rmax = u2 / g
…………..(7)
6. மையநோக்கு முடுக்கத்திற்கான கோவையைப் பெறுக.
● மையநோக்கு முடுக்கம்:
பொருள் வட்டப் பாதையில் இயங்கும் போது முடுக்கமானது வட்டத்தின் ஆரத்தின் வழியே மையத்தை நோக்கி செயல்படுகிறது. இம்முடுக்கம் மையநோக்கு முடுக்கம் எனப்படும்.
● நிலை வெக்டர், திசைவேக வெக்டரின் எளிய வடிவியல் தொடர்பில் இருந்து மைய நோக்கு முடுக்கத்திற்கான சமன்பாட்டை வருவிக்கலாம்.

● நிலைவெக்டர் மற்றும் திசைவேக வெக்டர் இரண்டும் Δt என்ற சிறிய கால இடைவெளியில் θ கோணம் இடப்பெயர்ச்சி அடைகிறது.
● சீரான வட்ட இயக்கத்தில் r = |
| = |
| மற்றும் v = |
| = |
|
● துகளின் நிலை வெக்டர் r1 லிருந்து r2 க்கு மாறும்போது அதன் இடப்பெயர்ச்சி
● திசைவேகம்
லிருந்து
க்கு மாற்றமடைவதால்

இங்கு எதிர்க்குறி, Δv வட்டமையத்தை நோக்கி (ஆரம் வழியே உள்நோக்கி) செயல்படுவதை குறிக்கிறது.

சீரான வட்ட இயக்கத்திலிருந்து v = ωr. எனவே மையநோக்கு முடுக்கத்தை பின்வருமாறு எழுதலாம்.
a = −v2 / r = - ω2r

7. சீரற்ற வட்ட இயக்கத்தின் தொகுபயன் முடுக்கத்திற்கான கோவையைப் பெறுக.
● வட்ட இயக்கத்தில் வேகம் மாற்றமடைந்து கொண்டே இருந்தால் அதனை சீரற்ற வட்ட இயக்கம் என அழைக்கலாம்.
● ஊசல்குண்டு கட்டப்பட்ட கயிறு செங்குத்து வட்டத்தில் சுற்றிவிடும் போது குண்டின் வேகம் எல்லா நேரங்களிலும் சமமாக இருப்பதில்லை.
● வட்ட இயக்கத்தின் வேகம் மாறும் போதெல்லாம் துகள் மையநோக்கு முடுக்கம் (ac) மற்றும் தொடுகோட்டு முடுக்கம் (at) இரண்டையும் பெறும்.
மைய நோக்கு முடுக்கம் = v2/r
தொடுகோட்டு முடுக்கம் = at
மையநோக்கு முடுக்கம் மற்றும் தொடுகோட்டு முடுக்கம் இவற்றின் வெக்டர் கூடுதலின் வழியே
தொகுபயன் முடுக்கம்
aR = √ [ at2 + (v2 / r)2 ]

இந்த தொகுபயன் முடுக்கம், ஆரவெக்டருடன் θ கோணத்தை ஏற்படுகிறது. எனில்
