கதிர் ஒளியியல் | இயற்பியல் - நெடுவினாக்கள் | 12th Physics : UNIT 6 : Ray Optics
III. நெடுவினாக்கள்
1. ஆடிச் சமன்பாட்டினை வருவித்து, பக்கவாட்டு உருப்பெருக்கத்திற்கான கோவையைப் பெருக.
• AB என்ற பொருளைக் கருதுக. இப்பொருள், குழி ஆடி ஒன்றின் முதன்மை அச்சில், வளைவு மையம் C−க்கு அப்பால் வைக்கப்பட்டுள்ளது என்க.
• முதன்மை அச்சுக்குச் செங்குத்தாகக் வரையப்படும் A'B' என்பது பொருள் AB ன் மெய் மற்றும் தலைகீழான பிம்பமாகும்.
• எதிரொளிப்பு விதியின்படி, படுகோணம் ΔBPA எதிரொளிப்புக் கோணம் ΔB'PA' க்குச் சமம். முக்கோணங்கள் ΔBPA மற்றும் ΔB'PA இரண்டும் ஒத்த முக்கோணங்களாகும். எனவே,


மற்ற ஒத்த முக்கோண இணை ΔDPF மற்றும் ΔB'A'F ஆகும். (இங்கு PD கிட்டத்தட்ட நேரான செங்குத்துக் கோடாகும்).

• தூரங்கள் PD = AB எனவே, மேற்கண்ட சமன்பாடு பின்வருமாறு மாற்றமடையும்,

சமன்பாடுகள் (6.5) மற்றும் (6.6) லிருந்து,

A'F =PA' − PF எனவே, மேற்கண்ட சமன்பாடு பின்வருமாறு மாற்றமடையும்.


மேலும் இதனைச் சுருக்கும்போது,

• இருபுறமும் V ஆல் வகுக்கும்போது,

பக்கவாட்டு உருப்பெருக்கம் :
பிம்பத்தின் உயரத்திற்கும், பொருளின் உயரத்திற்கும் உள்ள விகிதம் பக்கவாட்டு உருப்பெருக்கம் அல்லது குறுக்கு உருப்பெருக்கம்.

பொருத்தமான குறியீடுகளைப் பயன்படுத்தி

ஆடிச்சமன்பாட்டை பயன்படுத்தும்போது

2. ஒளியின் வேகத்தைக் கண்டறியும் ஃபிஸீயு (Fizeau) முறையை விவரி.
ஆய்வுக்கருவிகள்:
• ஒளிமூலம் (S) இலிருந்து வரும் ஒளியானது முதலில் பாதி வெள்ளி பூசப்பட்ட கண்ணாடித் தகட்டின் மீது (G) விழுகிறது.
• இக்கண்ணாடித் தகடு, ஒளி மூலத்திலிருந்து வரும் ஒளியைப் பொருத்து 45° கோணத்தில் சாய்ந்துள்ளது. (N) பற்களும், சமஅகலமுடைய (N) வெட்டுகளும் கொண்ட சூழலும் பற்சக்கரத்தின் வழியே ஒளி செலுத்தப்படுகிறது.
• பற்சக்கரத்தின் ஒரு வெட்டு வழியே செல்லும் ஒளி பற்சக்கரத்திலிருந்து மிக நீண்ட தொலைவில் (d) வைக்கப்பட்டுள்ள சமதள ஆடி (M) ஒன்றினால் எதிரொளிக்கபடுகிறது.
• பற்சக்கரம் சுழலவில்லையெனில், எதிரொளிக்கப்பட்ட ஒளி அதே வெட்டு வழியே மீண்டும் சென்று, பாதி வெள்ளி பூசப்பட்ட ஆடியின் வழியாகப் பயணித்து உற்று நோக்குபவரின் கண்களை அடைகிறது.
வேலை செய்யும்முறை:
• சுழலும் பற்சக்கரத்தின் கோணவேகம் சுழியிலிருந்து ஒரு குறிப்பிட்ட மதிப்பிற்கு (ɷ) அதிகரிக்கப்படுகிறது.
• பகுதி வெள்ளி பூசப்பட்ட ஆடியின் வழியே பார்க்கும் போது, ஒளி முழுவதுமாக மறைவதிலிருந்து இதனை உறுதி செய்யலாம்.
சமன்பாட்டினை வருவித்தல்:
• காற்றில் ஒளியின் வேகம் (v) ஒளி பற்சக்கரத்திலிருந்து ஆடிக்குச் சென்று, மீண்டு பற்சக்கரத்தை அடையும் தொலைவிற்கு (2d), எடுத்துக் கொண்ட நேரத்திற்குமான விகிதமாகும்.
v = 2d/t
• ஒளி முதன்முதலில் மறையும் நேரத்தில், பற்சக்கரத்தின் கோணவேகம் (ɷ) ɷ = θ/t

சமன்பாட்டை சீரமைத்த பின்னர்

காற்றில் ஒளியின் வேகம் v = 2.99792 × 108 ms−1 எனக் கண்டறியப்பட்டது.
3. ஒளியூட்ட ஆரம் (அல்லது) ஸ்நெல் சாளரத்திற்கான சமன்பாட்டைப் பெறுக.
• மின்விளக்கு போன்ற ஒளி மூலத்தைத் தண்ணீர்த் தொட்டியின் உள்ளே வைக்கும்போது, ஒளி மூலத்திலிருந்து வரும் ஒளி, தண்ணீருக்குள் அனைத்துத் திசைகளிலும் பரவும் ,

n1 sin ic = n2 sin 90o ∴sin 90o = 1
n1 sin ic = n2
sin ic = n2 / n1

4. ஒளி இழை ஒன்றின் ஏற்புக் கோணம் மற்றும் எண்ணியல் துளைக்கான சமன்பாட்டைப் பெறுக.
• ஒளி இழையின் உட்பகுதியில், உள்ளகம் வெளிப்பூச்சு சந்திக்கும் பரப்பில் விழும் ஒளிக்கதிரின் படுகோணம், மாறுநிலைக்கோணத்தில் இருக்க வேண்டுமெனில், ஒளி இழையின் முனையில் ஒரு குறிப்பிட்ட படுகோணத்தில் ஒளிக்கதிரை ஒளி இழையின் ஏற்புக்கோணம் என்று பெயர்.

• A புள்ளியில் ஏற்படும் ஒளிவிலகலுக்கான ஸ்னெல் விதியின் பெருக்கல் வடிவம்
n3sinia = n1sinra −−−−−−−−−−−−−−−−−−−− (1)
ஸ்னெல் விதியின் பெருக்கல் வடிவை B புள்ளியில் பயன்படுத்தும் போது
n1siniC = n2sin90o −−−−−−−−−−−−−−−−−−−− (2)
n1siniC = n2sin90o = 1
∴ siniC = n2 / n1 −−−−−−−−−−−−−−−−−−−− (3)
• செங்கோண முக்கோணம் ΔABC, யிலிருந்து
iC = 90o − ra
சமன்பாடு (3) பின்வருமாறு மாற்றமடைகிறது.
sin(90o − ra) = n2 / n1
• திரிகோணமிதி சார்புகளைப் பயன்படுத்தி
cosra = n2 / n1 −−−−−−−−−−−−−−−−−−−− (4)
sinra = √ [ 1 – cos2ra ]
cosra வின் மதிப்பை பிரதியிட

இதனைச் சமன்பாடு (1) ல் பிரதியிட
• 
மேலும் இதனைச் சுருக்கும் போது

வெளிப்புற ஊடகம் காற்று எனக் கருதினால் n3 = 1 எனவே ஏற்புக்கோணம் (ia) பின்வருமாறு மாற்றமடையும்
• 
இந்த ஏற்புக்கோணம் (ia) ஒளி இழையின் முனையின்மீது, ஒளி ஒரு கூம்புவடிவை ஏற்படுத்தும். இக்கூம்பிற்கு ஏற்புக்கூம்பு என்று பெயர். இக்கூம்பினுள் ஒளி எந்தக் திசையிலும் ஒளி இழையின் உள்ளே நுழையலாம் (n3 sin ia) பதத்திற்கு ஒளி இழையின் எண்ணியல் துளை (NA) என்று பெயர்.

வெளிப்புற ஊடகம் காற்று எனில் n3 = 1. எனவே, எண்ணியல் துளை (NA) பின்வருமாறு மாற்றமடையும்.

5. கண்ணாடிப்பட்டகம் ஒன்றின் வழியாகப்பாயும் ஒளியின் பக்கவாட்டு இடப்பெயர்ச்சிக்கான சமன்பாட்டைப் பெறுக.

• கண்ணாடிப்பட்டகம் ஒன்றைக் கருதுக. அதன் தடிமன் (t) ஒளிவிலகல் எண் (n) ஆகும். இப்பட்டகம் காற்று ஊடகத்தில் வைக்கப்பட்டுள்ளது. ஒளியின் பாதையை ABCD எனக் கருதுக. படுகோணம் (i) மற்றும் விலகுகோணம் (r) இரண்டும் செங்குத்துக் கோடுகள் N1 மற்றும் N2, ஐ பொருத்துக் கண்ணாடிப்பட்டகத்தின் B மற்றும் C புள்ளிகளில் கணக்கிடப்படுகின்றன.
• செங்கோண முக்கோணம் ∆ BCE,

• செங்கோண முக்கோணம் ∆ BCF யில்

சமன்பாடுகள் (1) மற்றும் (2) இரண்டையும் ஒப்பிடும்போது

சமன்பாட்டினை மாற்றி அமைக்கும்போது,

பக்கவாட்டு இடப்பெயர்ச்சி, கண்ணாடிப் பட்டகத்தின் தடிமனைச் சார்ந்துள்ளது.
6. ஒற்றைக் கோளகப்பரப்பில் ஏற்படும் ஒளிவிலகளுக்கான சமன்பாட்டைப் பெறுக.
• n1 மற்றும் n2 ஒளிவிலகல் எண்கொண்ட இரண்டு ஒளிபுகும் ஊடகங்கள் கோளகப்பரப்பு ஒன்றினால் பிரிக்கப்பட்டுள்ளது.
• கோளகப்பரப்பின் வளைவு மையத்தை C என்க O என்ற புள்ளிப் பொருளொன்று n1 ஒளிவிலகல் கொண்ட ஊடகத்தில் உள்ளது எனக் கருதுக. OC கோடு கோளகப்பரப்பை பரப்புமுனை p − யில் வெட்டுகிறது. செங்குத்துக்கோடு பரப்புமுனை p க்கு நெருக்கமாக அல்லது p வழியே செல்கிறது.

• புள்ளியிலிருந்து வரும் ஒளிக்கதிர் ஒளிவிலகு பரப்பின் மீது N என்ற புள்ளியில் விழுகிறது.
• N புள்ளியில் ஏற்படும் ஒளிவிலகலுக்கான, ஸ்னெல் விதியின் பெருக்கல் வடிவம் பின்வருமாறு,
n1sin i = n1sin r
n1 i = n2 r
∠ NOP= α , ∠ NCP = β , ∠ NIP = γ
tan α = PN / PO ; tan β = PN / PC ; tan γ = PN / PI
α = PN / PO ; β = PN / PC ; γ = PN / PI
முக்கோணம், ∆ ONC; யிலிருந்து
i = α + β
முக்கோணம் ∆ INC, யிலிருந்து
β = r + γ (or) r = β − γ
n1(α + β) = n2(β − γ)
சமன்பாட்டினை மாற்றி அமைக்கும்போது,
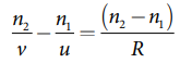
n1 α +n2 γ = (n2 − n1) β

• சமன்பாட்டினை மாற்றி அமைத்து, இறுதியாக நாம் பெறுவது

• முதல் ஊடகம் காற்று எனில் n1 = 1 மேலும், இரண்டாவது ஊடகத்தின் ஒளிவிலகல் எண் n2 வை n, எனவும் கொண்டால், மேற்கொண்ட சமன்பாடு பின்வருமாறு சுருங்கும்.

7. லென்ஸ் உருவாக்குபவரின் சமன்பாட்டை வருவித்து, அதன் முக்கியத்துவத்தை எழுதுக.

மெல்லிய லென்ஸ்களினால் ஏற்படும் ஒளிவிலகல்
• ஒளிவிலகல் எண் n2 கொண்ட பொருளினால் செய்யப்பட்ட மெல்லிய குவிலென்ஸ் ஒன்றைக் கருதுக. இது ஒளிவிலகல் எண் n1 கொண்ட ஊடகத்தில் வைக்கப்பட்டுள்ளது. R1 மற்றும் R2 என்பவை இரண்டு கோளகப்பரப்புகள் முறையே (1) மற்றும் (2) இன் வளைவு ஆரங்கள் என்க. மேலும் P என்பது லென்ஸ் முனையாகும்.
• முதன்மை அச்சில் உள்ள O உள்ள புள்ளிப் பொருளைக் கருதுக. அப்பொருளிலிருந்து புறப்படும் ஒளிக்கதிர் கோளகப்பரப்பு (1) இல் பட்டு விலகலடைந்து I' என்ற பிம்பத்தைத் தோற்றுவிக்க வேண்டும். ஆனால் இது நடைபெறுவதற்கு முன்பு ஒளிக்கதிர் கோளகப்பரப்பு (2) ஆல் விலகல் அடைந்து விடுகிறது. எனவே இறுதி பிம்பம் கிடைக்கிறது.
• கோளகப்பரப்பினால் ஏற்படும் ஒளிவிலகலுக்கான சமன்பாடு.

ஒளிவிலகு பரப்பு (1) இல் ஒளிக்கதிர் n1 இலிருந்து n2 க்கு செல்கிறது.

ஒளிவிலகு பரப்பு (2), இல் ஒளிக்கதிர் n2, ஊடகத்தில் இருந்து n1 ஊடகத்திற்குச் செல்கிறது.

• சமன்பாடுகள் (1) மற்றும் (2) இரண்டையும் கூட்டும் போது

மேலும் சமன்பாட்டினைச் சுருக்கி, மாற்றி அமைக்கும்போது,

• பொருள் ஈரில்லாத தொலைவில் இருந்தால், பிம்பம் லென்ஸின் குவியத்தில் அமையும். அதாவது u = ∞, v = f எனில் சமன்பாடு பின்வருமாறு மாற்றமடையும்.

• n2 = n மற்றும் n1 = 1 எனவே, சமன்பாடு பின்வருமாறு மாற்றமடையும்.

• மேற்கண்ட சமன்பாட்டிற்கு லென்ஸ் உருவாக்குபவரின் சமன்பாடு என்று பெயர்.
• குழிலென்ஸ்களுக்கும் பொருந்தும் சமன்பாடுகள் (2) மற்றும் (4) இரண்டையும் ஒப்பிட்டுப் பின்வரும் சமன்பாட்டினை எழுதலாம்.

இச்சமன்பாட்டிற்கு லென்ஸ் சமன்பாடு என்று பெயர்.
8. மெல்லிய லென்ஸ் ஒன்றிற்கான சமன்பாட்டை வருவித்து, அதிலிருந்து உருப்பெருக்கத்திற்கான கோவையைப் பெறுக.

• h1 உயரம் கொண்ட OO' என்ற பொருள் முதன்மை அச்சுக்குச் செங்குத்தாக வைக்கப்பட்டுள்ளது. லென்ஸ் முனை வழியே செல்லும் OP கதிர் எவ்வித விலகலும் அடையாமல் நேர்க்கோட்டுப் பாதையில் செல்கிறது. முதன்மை அச்சுக்கு இணையாக வரும் கதிர், இரண்டாவது குவியம் வழியாகச் செல்கிறது. இவ்விரண்டு கதிர்களும் சந்திக்கும் புள்ளியில் h2 உயரமுள்ள தலைகீழான மெய்பிம்பம் II' கிடைக்கிறது.
• பக்கவாட்டு அல்லது குறுக்குவெட்டு உருப்பெருக்கம் m என வரையறுக்கப்படுகிறது.

• ஒத்த முக்கோணங்கள் ∆ POO' மற்றும் PII', யிலிருந்து

குறியீட்டு மரபினைப் பயன்படுத்தும்போது,

• இதனைச் சமன்பாடு (1) இல் பிரதியிட்டால் உருப்பெருக்கம்.

சமன்பாட்டினை மாற்றியமைக்க

• உருப்பெருக்கம் மெய்பிம்பங்களுக்கு எதிர்குறி, மாய பிம்பங்களுக்கு நேர்குறி.
• குழிலென்ஸ்களுக்கு உருப்பெருக்கம் எப்போதும் நேர்குறியாகும், மேலும் ஒன்றை விட குறைவாகும். லென்ஸ் சமன்பாட்டினையும், உருப்பெருக்கச் சமன்பாட்டினையும் ஒன்றிணைக்க

9. முப்பட்டகம் ஒன்றின் திசைமாற்றக் கோணத்திற்கான சமன்பாட்டை வருவித்து, அதிலிருந்து முப்பட்டகம் செய்யப்பட்டுள்ள பொருளின் ஒளிவிலகல் எண்ணைக் காண்பதற்கான கோவையை வருவி.
• PQ என்ற படுகதிரொன்று முப்பட்டகத்தின் விலகுமுகம் ஒன்றில் விழுகிறது. முப்பட்டகத்தின் படுகோணம் மற்றும் விலகு கோணங்கள் முறையே i1 மற்றும் r1 ஆகும்.

• AB பரப்பின் திசைமாற்றக்கோணம் d1 பின்வருமாறு.
∠RQM = d1 = i1 − r1 -------------- (1)
• AC பரப்பின் திசைமாற்றக் கோணம் ... பின்வருமாறு
∠QRM = d2 = i2 − r2 --------------------- (2)
• முப்பட்டகம் வழியே செல்லும் கதிரின் மொத்த திசைமாற்றக்கோணம் d பின்வருமாறு
d = d1 + d2 −−−−−−−−−−−− (3)
• d1 மற்றும் d2 மதிப்புகளை பிரதியிடும்போது,
d = d1 + d2
• சமன்பாட்டினை மாற்றி அமைத்த பின்னர்,
d = (i1 + r2) − (r1 + r2) −−−−−−−−−−−− (4)
• நாற்கரம் AQNR, இல் இரண்டு கோணங்கள் (Q மற்றும் R உச்சிகள்) செங்கோணங்களாகும். எனவே, நாற்கரத்தின் மற்ற கோணங்களின் கூடுதல் 180° ஆகும்.
∠A + ∠QNR = 180o −−−−−−−−−−−− (5)
முக்கோணம் ∆ QNR இல்
r1 + r2 + ∠QNR = 180o −−−−−−−−−−−− (6)
(5) மற்றும் (6) சமன்பாடுகளை ஒப்பிடும்போது,
• r1 + r2 = A −−−−−−−−−−−− (7)
முப்பட்டகத்தின் திசைமாற்றக் கோணத்தைக் காண, மேற்கண்ட சமன்பாட்டைச் சமன்பாடு (4) இல்
• d = i1 + i2 – A −−−−−−−−−−−− (8)
எனவே, முப்பட்டகத்தின் திசைமாற்றக்கோணம் பின்வரும் காரணிகளைச் சார்ந்துள்ளது.
i) படுகோணம்
ii) முப்பட்டகக்கோணம்
iii) முப்பட்டகம் செய்யப் பயன்படுத்தப்பட்ட பொருள்
iv) ஒளியின் அலைநீளம்
முப்பட்டகப் பொருளின் ஒளி விலகல் எண்
சிறும திசைமாற்ற நிலையில் i1 = i2 = i மற்றும்
r1 = r2 = r சமன்பாடு (8) மாற்றமடைந்தது
D = i1 + i2 – A = 2i – A (அல்லது) i = (A + D ) / 2
r1 + r2 = A ⇒ 2r = A (அல்லது) r = A / 2
ஒளி விலகல் எண்

10. நிறப்பிரிகை என்றால் என்ன? ஊடகம் ஒன்றின் நிறப்பிரிகைத் திறனுக்கான கோவையைப் பெறுக.
• வெள்ளை ஒளிக்கற்றை ஒன்றைக் கருதுக. இவ்வொளிக்கற்றை முப்பட்டகத்தின் வழியாகச் செல்லும்போது, வெள்ளை ஒளியிலுள்ள வண்ணங்கள் நிறப்பிரிகை அடையும். δV, δR என்பவை, முறையே ஊதா மற்றும் சிவப்பு அலைநீளங்களுக்கான திசைமாற்றக் கோணங்கள் என்க.

• முப்பட்டகப் பொருளின் ஒளிவிலகல் எண்ணிற்கான சமன்பாடு.

இங்கு A என்பது முப்பட்டகக்கோணம் மற்றும் D என்பது சிறும திசைமாற்றக் கோணமாகும். முப்பட்டகக்கோணம் 10° என்ற சிறிய அளவில் உள்ள முப்பட்டகங்களுக்கு சிறுகோண முப்பட்டகங்கள் என்று பெயர். இவ்வகையான முப்பட்டகங்களின் வழியே ஒளிக்கதிர் செல்லும்போது ஏற்படும் திறைமாற்றக்கோணமும் சிறியதாகும் A என்பதை முப்பட்டகக்கோணமாகவும் δ என்பதை திசைமாற்றக்கோணமாகவும் கொண்டால் முப்பட்டகச்சமன்பாடு பின்வரும் வடிவைப்பெறும்.
• 
A மற்றும் δm, சிறிய கோணங்கள். எனவே,

மேலும் சுருக்கும்போது, δ/A = n − 1
• δ = (n −1) A
வெள்ளை ஒளி முப்பட்டகத்தினுள் நுழையும்போது, வெவ்வேறு வண்ணங்களுக்கான திசைமாற்றமும் வெவ்வேறாக இருக்கும். எனவே வெவ்வேறு வண்ணங்களுக்கான ஒளிவிலகல் எண்ணும் வெவ்வேறானவையாகும்.
ஊதா வண்ணத்திற்கு δv. = (nv − 1) A
சிவப்பு வண்ணத்திற்கு δR = (nR − 1) A
ஊதா வண்ணத்தின் திசைமாற்றக்கோணம் δv சிவப்பு வண்ணத்தின் திறைமாற்றக் கோணத்தைவிட δv அதிகமாக உள்ளதால், ஊதா வண்ணத்தின் ஒளிவிலகல் எண் (nv) சிவப்பு வண்ணத்தின் ஒளிவிலகல் எண்ணைவிட (nR) அதிகமாக இருக்கும் δv – δR = (nv − nR) A
• முப்பட்டகத்தின் கோண நிறப்பிரிகை பின்வருவனவற்றைச் சார்ந்துள்ளது.
(i) முப்பட்டகக்கோணம் மற்றும்
(ii) முப்பட்டகம் செய்யப்பட்ட பொருளின் தன்மை
சராசரி கதிர் ஒன்றின் திசைமாற்றக்கோணத்தை δ என்றும், இதற்கான ஒளிவிலகல் எண்ணை n எனவும் கொண்டால்
δ = (n − 1) A
நிறங்களைப் பிரிக்கும் முப்பட்டகப்பொருளின் திறமைக்கு முப்பட்டகத்தின் நிறப்பிரிகைதிறன் (ω) என்று பெயர். இரண்டு எல்லை வண்ணங்களுக்கான கோண நிறப்பிரிகைக்கும் சராசரி வண்ணம் ஒன்றின் திசைமாற்றக்கோணத்திற்கும் உள்ள தகவு நிறப்பிரிகைதிறன் அல்லது பிரிதிறன் என வரையறுக்கப்படுகிறது.

(δv − δR) மற்றும் (δ) வின் மதிப்புகளைப் பிரதியிடும்போது
