வரையறை, எடுத்துக்காட்டு கணக்குகள் | கணக்கு - முடிவிலியில் எல்லைகள் (Limits at infinity) | 11th Mathematics : UNIT 9 : Differential Calculus Limits and Continuity
முடிவிலியில் எல்லைகள் (Limits at infinity)
முற்பகுதியில் முடிவுறா எல்லைகள் மற்றும் செங்குத்துத் தொலைத் தொடுகோடுகள் பற்றி ஆராய்ந்தோம். அங்கு .x−ன் மதிப்பு குறிப்பிட்ட எண்ணை நோக்கி நகரும்போது y−ன் மதிப்பு கட்டுப்பாடு இன்றி அதிகரித்தது (மிகை அல்லது குறையில் எல்லையற்று). இப்பகுதியில் x−ன் மதிப்பு சீரற்ற முறையில் அதிகரிக்கும்போது y−ன் மதிப்பு எவ்வாறு உள்ளது எனக் காணலாம்.
x மிகப்பெரிய அளவில் அதிகரிக்கும்போது,
என்ற சார்பின் தன்மை பற்றி ஆராய்வோம்.
இந்த சார்பின் மதிப்புகளை அட்டவணையிடுவோம்

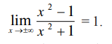
x−ன் மட்டு மதிப்பு பெரிதாகப் பெரிதாக (மிகை அல்லது குறை) f(x)−ன் மதிப்பு 1−ஐ நெருங்கி நெருங்கிச் செல்வதைக் காணலாம். x−ன் மதிப்பைத் தேவையான அளவு பெரிதாக எடுத்துக்கொண்டு f(x)−ன் மதிப்பை 1−க்கு நெருக்கமாகக் காணலாம் எனத் தெரிகிறது. இந்த நிலையைப் பின்வருமாறு எழுதலாம்.

வடிவியலில் இச்சூழல் (படம் 9.25) பின்வரும் வரையறைக்குக் கொண்டு செல்கிறது.

வரையறை 9.6
எனில் y = 1 என்ற கோடு y = f(x) என்ற வளைவரையின் கிடைமட்டத் தொலைத் தொடுகோடு ஆகும்.
விளக்க எடுத்துக்காட்டு 9.4

விளக்க எடுத்துக்காட்டு 9.5
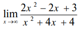
கணக்கிடுக: 
தீர்வு
இதன் எல்லை மதிப்பைக் கணக்கிட எல்லைத் தேற்றங்களைப் பயன்படுத்தினால் நாம் பின்வரும் சூழலைச் சென்றடைவோம்.
x → ∞ எனில் (2x2 −2x + 3) →∞
x → ∞ எனில் (x2 + 4x + 4) → ∞
இது தேறப்பெறாத வடிவம் எனப்படும்.
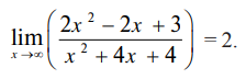
ஆனால் நேரிடையான கணக்கீடு மற்றும் அதன் அட்டவணை பின்வருமாறு உள்ளது :

அட்டவணையிலிருந்து x தேவையான அளவிற்கு பெரியதாகும்போது f(x)−ன் மதிப்பு 2−ஐ நெருங்கி நெருங்கி செல்வதைக் காணலாம்.

இந்தக் கணக்கில் பகுதியையும் தொகுதியையும் x2 −ஆல் வகுப்பதன் மூலம் சுருக்கலாம்.

இங்குப் பகுதி, தொகுதிகளின்படிச் சமமாக உள்ளதைக் காணலாம்.
பொதுவாக x → ± ∞ எனில் விகிதமுறு கோவைகளின் எல்லை மதிப்பைக் காண பகுதியில் உள்ள x−ன் அதிகபட்ச அடுக்கால் பகுதியையும் தொகுதியையும் வகுத்து பகுதிக்கும் தொகுதிக்கும் தனித்தனியே எல்லை மதிப்பைக் காணலாம்.
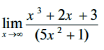
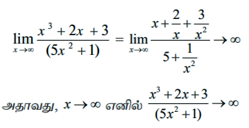
எடுத்துக்காட்டு 9.23
மதிப்புக் காண்க: 
தீர்வு
x2−ஆல் வகுக்க

அதாவது, எல்லை மதிப்பைக் காண இயலாது. தொகுதியின் படி பகுதியின் படியைவிட அதிகமாக உள்ளதைக் கவனிக்கவும்.
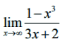
எடுத்துக்காட்டு 9.24
மதிப்புக் காண்க: 
தீர்வு
x−ஆல் வகுக்க

ஆதலால் எல்லை மதிப்பு இல்லை.