எடுத்துக்காட்டு 1.1
எனில் A (adj A) = (adj A) A = |A| I3 என்பதைச் சரிபார்க்க.
தீர்வு
|A| =
= 8 (21 − 16) + 6 (−18 + 8) + 2 (24 − 14) = 40 − 60 + 20 = 0.
சேர்ப்பு அணியின் வரையறைப்படி கிடைப்பது

இதேபோல், நமக்குக் கிடைப்பது

எனவே,
A (adj A) = (adj A) A = |A| I3 என்பது சரிபார்க்கப்பட்டது.
எடுத்துக்காட்டு 1.2
A =
என்ற பூச்சியமற்றக் கோவை அணிக்கு A−1 காண்க.
தீர்வு
முதலில் சேர்ப்பு அணி காண்போம்.
வரையறைப்படி, adj A = 
A ஆனது பூச்சியமற்றக் கோவை அணி, எனவே |A| = ad – bc ≠ 0.

எடுத்துக்காட்டு 1.3
என்ற அணியின் நேர்மாறு காண்க.
தீர்வு
= 2 (7) + (−12) + 3 (−1) = −1 ≠ 0
எனவே, A−1 காண இயலும்.

எடுத்துக்காட்டு 1.4
A என்பது ஒற்றை வரிசையுடைய பூச்சியமற்றக் கோவை அணி எனில் |adj A| என்பது மிகை என நிறுவுக.
தீர்வு
A என்பது 2m + 1 வரிசையுடைய பூச்சியமற்றக் கோவை அணி என்க. இங்கு m = 0, 1, 2, . . . எனவே |A| ≠ 0 மற்றும் தேற்றம் 1.9 (ii) இன் படி கிடைப்பது, |adj A| = |A|(2m+1)−1 = |A|2m.
|A|2m என்பது எப்பொழுதும் மிகை, எனவே |adj A| ஆனது மிகை.
எடுத்துக்காட்டு 1.5
adj (A) =
எனில், A −ஐக் காண்க.
தீர்வு
|adj (A)| =
= 7 (77 − 35) – 7 (−7 − 77) − 7 (−5 − 121) = 1764 > 0.
எனவே

எடுத்துக்காட்டு 1.6
adj A =
எனில் A−1 −ஐக் காண்க.
தீர்வு

எடுத்துக்காட்டு 1.7
A என்பது சமச்சீர் அணி எனில் adj A சமச்சீர் அணி என நிறுவுக.
தீர்வு
A என்பது சமச்சீர் அணி என்க. எனவே AT = A மற்றும் தேற்றம் 1.9 (vi) இன் படி கிடைப்பது adj (AT) = (adj A)T ⇒ adj A = (adj A)T ⇒ adj A ஆனது சமச்சீராகும்.
எடுத்துக்காட்டு 1.8
A =
எனில் (AT)−1 = (A−1)T என்ற பண்பை சரிபார்க்க.
தீர்வு
| A| = (2) (7) − (9) (1) = 14 − 9 = 5. எனவே, A−1 = 
எனவே,

(1) மற்றும் (2)−லிருந்து கிடைப்பது, (A−1)T = (AT)−1. எனவே கொடுத்துள்ள பண்பு சரிபார்க்கப்பட்டது.
எடுத்துக்காட்டு 1.9
எனக்கொண்டு (AB)−1 = B−1A−1 என்பதைச் சரிபார்க்க.
தீர்வு

அணிகள் (1) மற்றும் (2) சமம். எனவே (AB)−1 = B−1A−1 என்பது சரிபார்க்கப்பட்டது.
எடுத்துக்காட்டு 1.10
A =
எனில், A2 + xA + yI2 =O2 எனுமாறு x மற்றும் y −ஐ காண்க. இதிலிருந்து A−1 காண்க.
தீர்வு

இதிலிருந்து நமக்குக் கிடைப்பவை 22 + 4x + y = 0, 31 + 5x + y = 0, 27 + 3x = 0 மற்றும் 18 + 2x = 0
எனவே x = −9 மற்றும் y = 14. பின்பு நமக்குக் கிடைப்பது A2 − 9A + 14I2 = O2.
இச்சமன்பாட்டின் இருபுறமும் A−1 −ஆல் பெருக்கக் கிடைப்பது A − 9I2 + 14A−1 = O2.
இதிலிருந்து கிடைப்பது

எடுத்துக்காட்டு 1.11
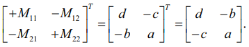
என்பது செங்குத்து அணி என நிறுவுக.
தீர்வு

இதேபோல் ATA = I2. எனவே AAT = ATA = I2 ⇒ A ஆனது செங்குத்து அணியாகும்.
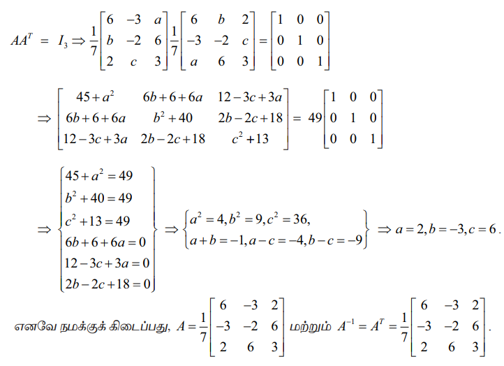
எடுத்துக்காட்டு 1.12
A =
என்பது செங்குத்து அணி எனில் a, b மற்றும் c களின் மதிப்பைக் காண்க. இதிலிருந்து A−1 −ஐக் காண்க.
தீர்வு
A என்பது செங்குத்து அணி. எனவே, AAT = ATA = I3 . எனவே நாம் பெறுவது
