வகை, எடுத்துக்காட்டு கணக்குகள் | கணக்கு - விகிதமுறு இயற்கணித சார்பின் தொகையிடல் | 11th Mathematics : UNIT 11 : Integral Calculus
9. விகிதமுறு இயற்கணித சார்பின் தொகையிடல்
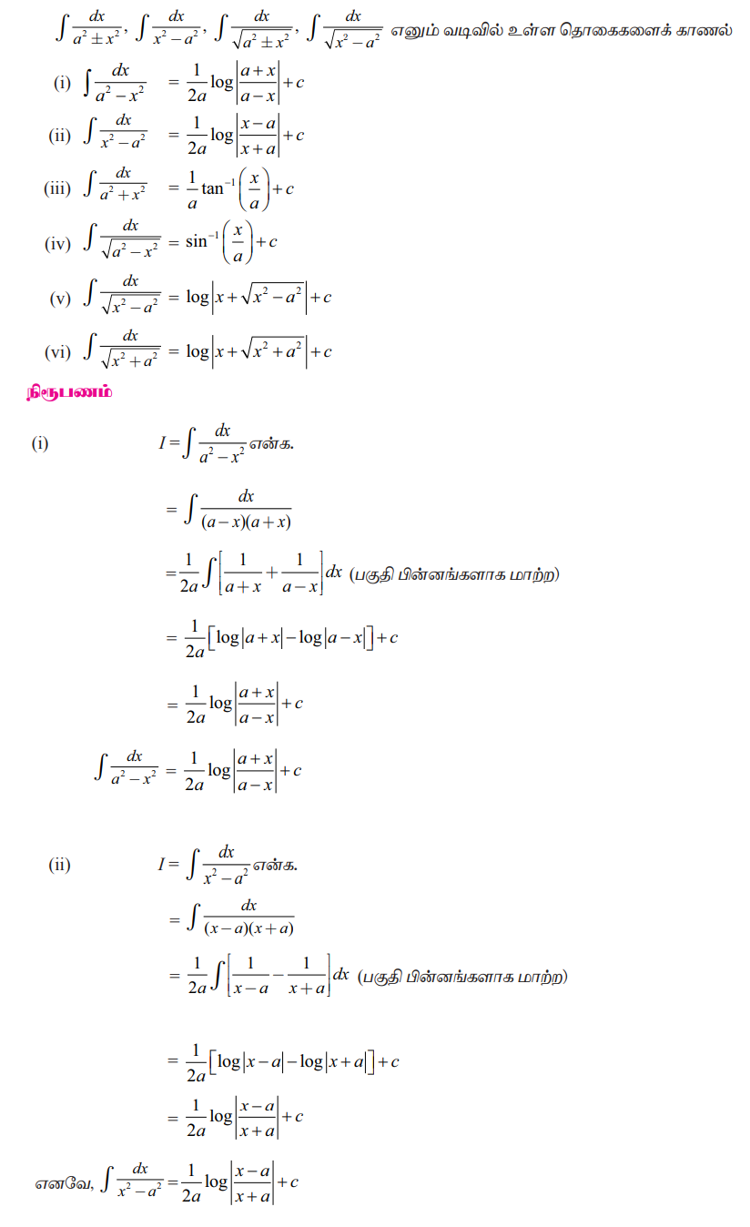
வகை I
இப்பிரிவில் விகிதமுறு இயற்கணித சார்புகள் தொகுதி மற்றும் பகுதிகளில் மாறிலிக் குணகத்தையும் x ஆனது முழு எண் அடுக்குகளைப் பெற்றிருக்கும்.


வகை II

முதலில் ax2 + bx + c -ஐஇருவர்க்கங்களின் கூடுதல் அல்லது கழித்தலாகப் பிரித்தெழுதி வகை- I ன் ஏதேனும் ஒரு வடிவத்துக்குக் கொண்டு வந்து தொகையீடு காணலாம். கீழ்காணும் விதியை பயன்படுத்தி ax2 + bx +c -ஐ இரண்டு வர்க்கங்களின் கூடுதலாகவோ அல்லது கழித்தலாகவோ எழுதலாம்.
(1) x2 -ன் குணகத்தை 1 ஆக மாற்றவும்.
(2) x -ன் குணகத்தை இரண்டால் வகுத்து அதன் வர்க்கத்தினைக் கூட்டியோ அல்லது கழித்தோ முழு வர்க்கமாக மாற்றவும்.

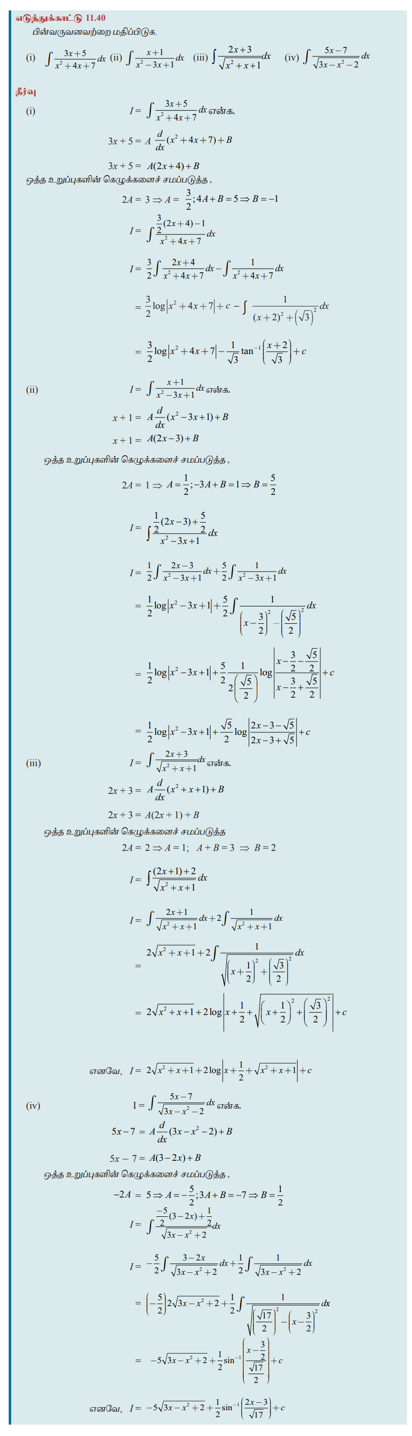
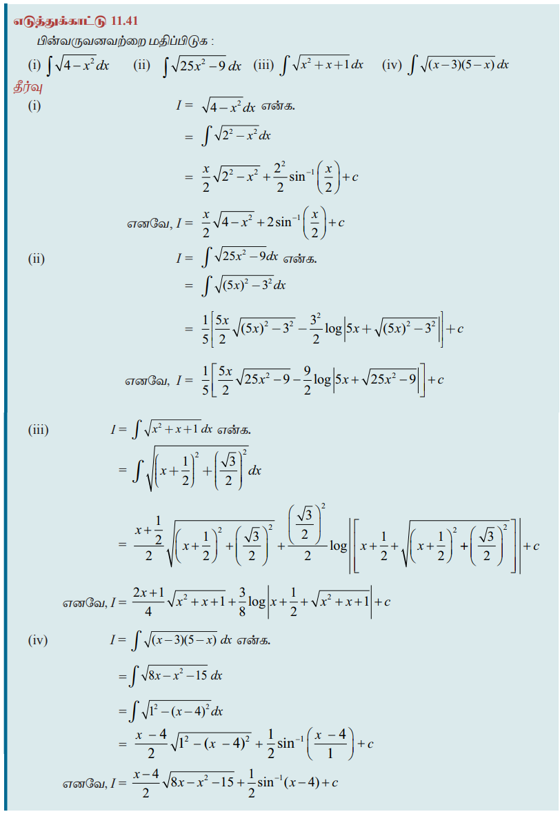
வகை III
எனும் வடிவில் உள்ள தொகைகளைக் காணல். மேற்கண்ட தொகையை மதிப்பிட, முதலில் நாம் கீழ்கண்டவாறு எழுதவும்

இரு பக்கங்களிலும் x - ன் கெழுக்களையும் மற்றும் மாறிலிகளையும் தனித்தனியே சமப்படுத்தி A மற்றும் Bன் மதிப்புகளைக் கணக்கிடலாம்.
(i) கொடுக்கப்பட்ட முதல் தொகையைக் கீழ்கண்டவாறு எழுதுக.

முந்தைய வகைகளைப் பயன்படுத்தி வலதுபுறத்தில் உள்ள முதல் தொகையை மதிப்பிடலாம்.
(ii) கொடுக்கப்பட்ட இரண்டாவது தொகையைக் கீழ்கண்டவாறு எழுதுக.

முந்தைய வகைளைப் பயன்படுத்தி வலதுபுறத்தில் உள்ள இரண்டாவது தொகையை மதிப்பிடலாம்.

வகை IV

இதே போல் மற்ற இரு முடிவுகளையும் நிறுவலாம்.
குறிப்பு 11.3
x = asinθ எனப் பிரதியிட்டும் மேற்கண்டமுடிவுகளை நிரூபிக்கலாம்.

பாடத் தொகுப்பு

பகுதித் தொகையிடலுக்கான பெர்னோலியின் சூத்திரம்
u மற்றும் v ஆகியவை x – ன் சார்புகள் எனில் பெர்னோலியின் சூத்திரமானது
ஆகும்.
இங்கு u’, u”, u”’ என்பன u -ன் அடுத்தடுத்த வகையிடல்கள் ஆகும் மற்றும்
v’, v”, v”’ என்பன dv -ன் அடுத்தடுத்த தொகையிடல்கள் ஆகும்
u = xn (n ஒரு மிகை முழுவெண்) என எடுத்துக்கொள்ளும்போது பெர்னோலியின் சூத்திரத்தைப் பயன்படுத்துவது எளிதாக இருக்கும்

இணையச் செயல்பாடு 11 (a)
தொகை நுண்கணிதம்
செயல்பாட்டின் இறுதியில் கிடைக்கப் பெறுவது

படி – 1
கீழ்க்காணும் உரலி / விரைவுக் குறியீட்டைப் பயன்படுத்தி GeoGebra-வின் "XI standard Integration" பக்கத்திற்குச் செல்க. உங்கள் பாடம் சார்ந்த பல பணித்தாள்கள் இப்பக்கத்தில் கொடுக்கப்பட்டிருக்கும்.
படி - 2
"Simple Integration" என்ற பணித்தாளைத் தேர்வு செய்யவும். f(x) என்ற பெட்டியில் எந்த சார்புகளையும் உள்ளீடு செய்யலாம். அவ்வாறு உள்ளீடுசெய்யும் போது f(x)-ற்கான வரைபடம் இடது பக்கத்திலும், தொகைப்படுத்தப்பட்டது வலது பக்கத்திலும்தோன்றும். (குறிப்பு : x5 என்பதற்கு x^5 என்று உள்ளீடு செய்யவும்). "integration constant" என்னும் நழுவலை நகர்த்தி தொகையீட்டு மாறிலி மதிப்பை மாற்றவும்.

உரலி :
https://ggbm.at/c63hdegc
*படங்கள் அடையாளத்திற்கு மட்டும்.
இணையச் செயல்பாடு 11 (b)
தொகை நுண்கணிதம்
செயல்பாட்டின் இறுதியில் கிடைக்கப் பெறுவது

படி − 1
கீழ்க்காணும் உரலி / விரைவுக் குறியீட்டைப் பயன்படுத்தி GeoGebra-வின்"XI standard Integration" பக்கத்திற்குச் செல்க. உங்கள் பாடம் சார்ந்த பல பணித்தாள்கள் இப்பக்கத்தில் கொடுக்கப்பட்டிருக்கும்.
படி - 2
"Algebraic type-1" என்பதைத் தேர்வு செய்க. செயலுக்கான வரைபடம் இடது பக்கத்திலும், தொகைப்படுத்தப்பட்டது வலது பக்கத்திலும்தோன்றும். வரைபடத்தைக்காண இரண்டையும் சொடுக்கவும். நழுவலைநகர்த்தி (a)-ன் மதிப்பினை மாற்ற முடியும். இதே போன்று கொடுக்கப்பட்டிருக்கும் மற்ற Algebraic type களையும் செய்து மாற்றங்களைஉற்று நோக்குக.

உரலி :
*படங்கள் அடையாளத்திற்கு மட்டும்.