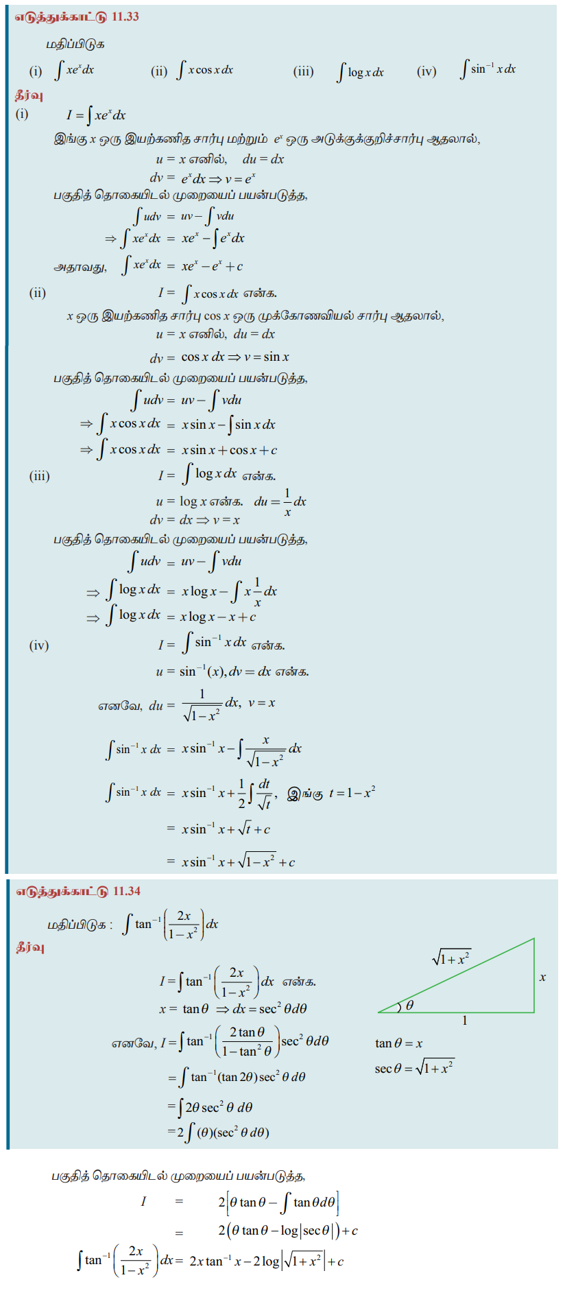
எடுத்துக்காட்டு கணக்குகள் | கணக்கு - பகுதித் தொகையிடல் (Integration by parts) | 11th Mathematics : UNIT 11 : Integral Calculus
5. பகுதித் தொகையிடல் (Integration by parts)
தொகைச் சார்பானது இரண்டு சார்புகளின் பெருக்கலாகவோ அல்லது ஒரே ஒரு மடக்கை சார்பாகவோ அல்லது ஒரே ஒரு நேர்மாறு முக்கோணவியல் சார்பாகவோ அல்லது நேரடியாகத் தொகையிட முடியாத சார்பாகவோ இருந்தால் பொதுவாக பகுதித் தொகையிடலை பயன்படுத்தி தொகையைக் காணலாம். இரண்டு சார்புகளுக்கான பெருக்கல் வகையிடல் சூத்திரத்திலிருந்து இந்தப் பயனுள்ள தொகையீட்டு முறையைப் பெறுகிறோம்.
u மற்றும் v ஆகியவை இரண்டு வகையிடத்தக்க சார்புகள் எனில்,

∫ udv -லிருந்து மற்றொரு தொகையீடு ∫vdu வடிவில் கிடைக்கிறது மேலும் ∫ udv-க்கு இறுதி வடிவம் கிடைக்கப் பெறவில்லை. இது udv என்னும் பெருக்கத்தின் தொகையிடுதலில் ஒரு பகுதியை மட்டும் தீர்க்கிறது. இதனை ஐரோப்பிய நாடுகளில் தொகையிடலின் ஒரு பகுதி என்கிறார்கள். பிற நாடுகளைப் போன்றே நாமும் பகுதித் தொகையிடல் என அழைக்கிறோம்.
u-ன் முறையான தேர்வைப் பொறுத்து இந்த முறை பொருத்தமாகிறது. அதாவது,
(i) logx, tan-1 x போன்ற தொகைச் சார்புகளை நேரடியாகத் தொகையிட முடியாது. தொகைச் சார்புகளை u எனவும் மற்றதை dv எனவும் கொள்ளவும்.
(ii) தொகையீட்டுச் சார்புகள் இரண்டுமே தொகைச் சார்புகளை உள்ளடக்கி இருந்து மற்றும் அதில் ஒன்று xn (n ஒரு மிகை முழுவெண்) ஆக இருந்தால் அதனை u = xn கொள்ளவும்.
(iii) மற்றைய நிலைகளில் u – ன் தேர்வு நம்முடைய விருப்பத்தைப் பொறுத்தது.
