வரையறை, சூத்திரம், தீர்க்கப்பட்ட எடுத்துக்காட்டு கணக்குகள், பயிற்சி | கணிதம் - முடிவுறா தொடர் முறைகள் மற்றும் தொடர்கள் | 11th Mathematics : UNIT 5 : Binomial Theorem, Sequences and Series
முடிவுறா தொடர் முறைகள் மற்றும் தொடர்கள் (Infinite Sequences and Series)
குறிப்பிட்ட மெய்யெண்களின் கூடுதலானது மெய்யெண்களின் பண்புகளின் அடிப்படையில் நன்கு வரையறுக்கப்பட்டுள்ளது. ஆனால் முடிவுறா தொடர்களைப் பற்றி அறிய நாம் ஒருங்குத் தன்மையைப் பற்றிய கருத்தை எடுத்துக் கொள்ள வேண்டியுள்ளது. ½ + ¼ + 1/8 +... என்ற முடிவிலாத் தொடரை எடுத்துக் கொள்வோம். இதில் ஒவ்வொரு உறுப்பும் மிகை, இதற்கு ஒரு குறிப்பிட்ட எண் மதிப்பு அளிக்க இயலுமா? முதல் பார்வையில் அது கடினமாக அல்லது முடியாததாக இருக்கும். இந்தத் தொடரின் கூடுதல் ஒரு குறிப்பிட்ட மதிப்பை நோக்கி சிறிது சிறிதாக நகருவதைக் காணலாம்.
இத் தலைப்பை ஆர்வமுள்ள ஒரு கணக்குடன் தொடங்குவோம். A, B என்ற இரு தட்டுகளை எடுத்துக்கொள்வோம். A தட்டில் ஒரு முழு அப்பத்தையும் B தட்டினை காலியாகவும் வைக்கவும். A தட்டில் உள்ள அப்பத்தை இருசமபாகமாக வெட்டி ஒரு பாகத்தை B தட்டில் வைக்கவும். மறுபடியும் A இல் உள்ள பாதி அப்பத்தை பாதியாக வெட்டி ஒரு பகுதியை B இல் வைக்கவும். இந்த முறையை தொடர்ந்து செய்து கொண்டிருந்தால் இறுதியில் A மற்றும் B தட்டுகளில் எவ்வளவு அப்பம் இருக்கும். இதை நாம் கீழே ஒவ்வொரு நிலையாக தருவோம்.

இதனைப் பார்க்கும்போது "முடிவில்" (finally) தட்டு A இல் ஒன்றுமிருக்காது, B இல் ஒரு முழு அப்பமும் இருக்கும் எனத் தோன்றும். அதாவது A தட்டில் இருப்பது 0, B தட்டில் இருப்பது 1 எனத் தோன்றும்.
அதாவது
என்பது பூஜ்ஜியத்தை நோக்கி "செல்கிறது" (goes) என உணரலாம்.
மற்றும்
என்பது 1 ஐ நோக்கி "செல்கிறது" என உணரலாம்
அதாவது,
-ன் மதிப்பு 1.
இப்பிரிவில் ‘முடிவில்’ மற்றும் 'செல்கிறது' என்ற சொற்கள் எந்த முறையில் பயன்படுத்தப்பட்டுள்ளன என்பதையும், இதுபோல் முடிவற்ற உறுப்புகளின் கூடுதல் காண்பது பற்றியும் அறிவோம்.
பூஜ்ஜியத்தை “நோக்கிச் செல்கிறது" என உணரலாம்.
இதே போல்
பூஜ்ஜியத்தை நோக்கிச் செல்கிறது. என உணரலாம்.
(an) ஒரு தொடர்முறை மற்றும் a ஒரு எண் என்க.
கொடுக்கப்பட்ட எந்த ஒரு மிகச் சிறிய மிகை எண்ணுக்கும், ஏதோ ஒரு குறிப்பிட்ட நிலையில் an - க்கும் a-க்கும் இடையில் உள்ள தூரம் அந்த எண்ணைவிட குறைவாக இருப்பின், n ஆனது ∞-ஐ நெருங்கும் போது, an ஆனது a-ஐ நெருங்குகிறது எனலாம். நுட்பமாக கூற வேண்டுமாயின் n→∞ எனில் an → a எனலாம்.
வேறுவகையில் கூறுவதாயின் an - ஆனது எல்லை வழியாக a-ஐ அடைகிறது எனலாம். அல்லது n→∞ எனும் போது an -ன் எல்லை a ஆகும். இதனை, தொடர்முறை (an) என்பது a க்கு ஒருங்குகிறது எனவும் கூறலாம். இதனையே குறியீட்டில்
என எழுதலாம்,
அதே சமயம் 1, 0, 1, 0, 1, 0, 1 ... என்ற தொடர்முறை ஏதோ ஒரு எண்ணுக்கு செல்கிறது எனக் கூற இயலாது. இது எந்த ஒரு எல்லை மதிப்பிற்கும் ஒருங்காக செல்லவில்லை. எனவே, இந்த தொடர் முறைக்கு எல்லை மதிப்பும் இல்லை. அப்படி ஒரு எல்லையை நோக்கி நகரும் தொடர் முறையின் மதிப்பு ஒருமைத் தன்மை உடையதாகும்.
பிபுனாக்கி தொடர்முறை என்பது முதல் இரண்டு எண்கள் 1, 1 ஆகவும் அடுத்த எண்கள் அதற்கு முன்னர் உள்ள இரு எண்களை கூட்டி கிடைக்கின்ற ஒரு எண்க ளின் தொடர் ஆகும். இது, 1, 1, 2, 3, 5, 8, 13, 21, 34,.... என்று செல்கிறது.
இதன் விதி xn = xn−1 + xn−2, n ≥ 3 மற்றும் x1 = 1, x2 = 1 ஆகும். பிபுனாக்கி என்ற கணிதமேதையின் பெயரால் இத்தொடர் பிபுனாக்கி தொடர்முறை (Fibonacci. Sequence) என அழைக்கப்படுகிறது. இது லியனர்டோ பிசா அல்லது லியனர்டோ பிசானோ எனவும் அழைக்கப்படும். பிபுனாக்கி தொடர் 1202 இல் முதன் முதலில் லிபர் அபாசி என்ற புத்தகத்தில் அறிமுகப்படுத்தப்பட்டது. பிசன் நகர வணிகரின் மகனான பிபுனாக்கி, பல இடங்களுக்கு பயணம் செய்து விரிவாக வணிகம் செய்தவர். வர்த்தக தொழிலில் இருப்பவர்களுக்கு கணிதம் மிக முக்கியமானது என்பதால் பிபுனாக்கி தனது சிறு வயது முதற்கொண்டே எண்களின் மீதான பேரார்வத்தை வளர்த்துக் கொண்டார்.
இந்து – அராபிக் எண்கணித முறையில் தான் முதன் முதலில் எண்களைப் பற்றிய கருத்துக்கள் உருவானது என்பர். பிபுனாக்கி வட ஆப்பிரிக்காவில் இருந்த போது இவற்றை கற்றறிந்தார். லிபர் அபாசி புத்தகம் வெளிவருவதற்கு முன்பு லத்தீன் பேசும் உலகிற்கு தசம எண் முறை அறிமுகப்படுத்தப்படாமல் இருந்தது. இவர் வடிவியல், வணிக எண்கணிதம் மற்றும் விகிதமுறா எண்கள் பற்றி பல புத்தகங்கள் எழுதியுள்ளார். இவர் பூஜ்ஜியம் பற்றிய கருத்து உருவாவதிலும் பங்களித்துள்ளார்.

எடுத்துக்காட்டாக, 6 ஆவது மற்றும் 7 ஆவது இடத்து மதிப்புகளைக் கூட்ட 8 ஆவது இடத்தின் மதிப்பு கிடைக்கிறது அதாவது x8 = 8 + 13 = 21
குறிப்பு: பிபுனாக்கி தொடர்முறையின் ஆர்வமுள்ள முறைகளைக் காணலாம்.
பின்வருவனவற்றை கவனியுங்கள்
(i) ஒவ்வொரு மூன்றாவது எண்ணும் 3 ஆவது உறுப்பின் மடங்காக இருக்கும். (t3 = 2)
(ii) ஒவ்வொரு நான்காவது எண்ணும் 4 ஆவது உறுப்பின் மடங்காக இருக்கும். (t4 = 3)
(iii) ஒவ்வொரு ஐந்தாவது எண்ணும் 5 ஆவது உறுப்பின் மடங்காக இருக்கும். (t5 = 5)
(iv) ஒவ்வொரு n ஆவது எண்ணும் n ஆவது உறுப்பின் மடங்காக இருக்கும்.

(an) என்பது ஒரு முடிவற்ற தொடர்முறை எனில், a1 + a2 +.... என்பது முடிவற்ற தொடர் எனப்படும். இதனை,
எனக் குறிக்கலாம்.
இப்பகுதியின் தொடக்கத்தில்
என்ற ஒரு முடிவுறா தொடரைப் பார்த்தோம். இதன் கூடுதல் 1 என உணரப்பட்டது அப்பம் கணக்கில் B தட்டில் உள்ள அப்பம் ஒவ்வொரு நிலையிலும் பின்வருமாறு இருந்தது.
இதன் n ஆவது உறுப்பு,
மற்றும் அதன் மதிப்பு
ஆகும்.
இந்த கூடுதல் Sn எனில்,
ஆகும்.
ஆதலால்,
என்பது 1 என உணரப்பட்டது.
இதுபோல் (an) என்பது மெய் எண் தொடர் முறை மற்றும், Sn = a1 + a2 + a3 +....+ an எனில் தொடர் ஒரு குறிப்பிட்ட எல்லை S-க்கு ஒருங்குமானால் தொடர்முறை (an) கூட்டத்தக்கது என்றும் அதன் கூடுதல் S என்றும் கொள்ளலாம்.
இதை, a1 + a2 + a3 +... = s என எழுதலாம். எனவே, இந்நிலையில் இத்தொடர் s -க்கு ஒருங்குகின்றது என கூறுவது வழக்கம்.

என எழுதலாம். சில எடுத்துக் காட்டுகளைக் காண்போம்.
என்ற தொடர் ஒருங்கு தொடராக இருக்காது. ஏன் எனில் 1, 0, 1, 0, 1,. என்பதன் பகுதிக் கூட்டல் ஒருங்கு தன்மையற்றது.
குறிப்பு:
முடிவுறு கூட்டுத் தொடர்களுக்கான இயற்கணித விதிகளை நாம் அப்படியே முடிவுறா தொடர்களுக்கும் பயன்படுத்த முடியாது.
என்ற தொடரை எடுத்துக்கொள்வோம்.
S = 1 - 1 + 1 = 1 + ..... எனில், ஒருவர் S-ன் மதிப்புகள் முறையே 0 அல்லது 1 அல்லது 1/2 என பின்வரும் வகையில் எடுத்துக்கொண்டு தர்க்கம் செய்யலாம்.
அதாவது, S = (1 - 1) + (1 - 1) + ...., S = 1 + (-1+1) + (-1 + 1) + .... அல்லது
1 – S = 1 - (+ 1 – 1 + 1 – 1 + ... = S)
என்ற தொடர் x = 1/2 -க்கு ஒருங்குகிறது. ஆனால், x = 2 எனில், இந்த தொடர் ஒருங்கவில்லை. இதிலிருந்து,
என்ற தொடர் x -ன் சில மதிப்புகளுக்கு ஒருங்குகின்றது எனவும் x -ன் சில மதிப்புகளுக்கு ஒருங்கவில்லை என்பதும் தெரிகிறது. x -ன் எந்த மதிப்புகளுக்கு இது போன்ற தொடர்கள் ஒருங்குகின்றது என்பது இந்தப் புத்தகத்திற்கு அப்பாற்பட்டது. எனினும், இந்த அலகின் பின்வரும் பகுதியில் சில தொடர்கள் x -ன் எந்த மதிப்புகளுக்கு ஒருங்குகின்றது என்பதையும் அப்படி ஒருங்குமானால் அதன் மதிப்பும் தரப்பட்டுள்ளன.
என்ற தொடர் பெருக்குத் தொடர் எனப்படும்.
என்ற தொடரை எடுத்துக்கொள்வோம். Sn = x0 + x1 + ... + xn எனில், 
என இருக்கும்போது, xn பூஜ்ஜியத்தை நோக்கிச் செல்வதால் Sn என்பது 1/1- x என்பதை நோக்கி செல்கிறது எனலாம்.
• | x | < 1 என்பதை நிறைவு செய்யும் எல்லா மெய்யெண் x-க்கும்
என்ற தொடர் ஒருங்கும் தன்மையுடையதாகவும். அதன் கூடுதலை 1/1- x எனவும் எழுதலாம் அதாவது, | x | < 1 எனவுள்ள எல்லா மெய்யெண் x -க்கும் 1/1- x = 1 + x + x2 + x3 +... ஆகும்.
• | x | < 1 எனவுள்ள எல்லா மெய்யெண் x -க்கும்
என்ற தொடர் ஒருங்கும் தன்மையுடைதாகவும் அதன் கூடுதலை 1/1- x எனவும் எழுதலாம்.
அதாவது, | x | < 1 எனவுள்ள எல்லா மெய்யெண் x-க்கும் 1/1- x = 1 + x + x2 + x3 +... ஆகும்.
• | x | < 1/2 எனவுள்ள எல்லா மெய்யெண் x -க்கும்
என்ற தொடர் ஒருங்கும் தன்மையுடையதாகவும் அதன் கூடுதலை 1 / 1 - 2 x எனவும் எழுதலாம். அதாவது | x | < 1/2 எனவுள்ள எல்லா மெய்யெண் x –க்கும்
ஆகும்.
• எல்லா மெய்யெண் x -க்கும்
என்ற தொடர் ஒருங்கும் தன்மையுடையதாகவும் அதனை ex எனவும் எழுதலாம்.
அதாவது எல்லா மெய்யெண் x-க்கும்
ஆகும்.
• x = 0-க்கு மட்டும்
ஒருங்கு தன்மையுடையது.
சில சிறப்புத் தொடர்களைக் காண்போம். அந்த தொடர்கள் ஒருங்குகின்றது என்ற அடிப்படையில் சில கணக்குகளுக்குத் தீர்வு காணலாம்.
•
என்ற கூட்டு - பெருக்குத் தொடரின் கூடுதல்

எடுத்துக்காட்டு 5.19
-ன் கூடுதல் காண்க.
தீர்வு:
இங்கு, a = 1, d = 3 மற்றும் r = 1/5.

இதற்கு முன்னர் 5.5.2 இல், ஒரு முடிவுறு தொடரின் கூடுதலை தொலைநோக்கி கூடுதல் முறையில் பார்த்துள்ளோம். எனவே, இதே முறையில் முடிவுறா தொடரின் கூடுதலும் காண இயலும்.
எடுத்துக்காட்டு 5.20
-ன் மதிப்பு காண்க.
தீர்வு:
கொடுக்கப்பட்ட தொடரின் n ஆவது உறுப்பு an என்க. அதனால்,
பகுதி பின்னத்தை பயன்படுத்தி
என அறியலாம்.
இந்த தொடரின் முதல் n உறுப்புகளின் கூடுதல் Sn என்க.

n ஆனது முடிவிலியை நோக்கி செல்லும்போது 1 / n + 3 ஆனது பூஜ்ஜியத்தை நோக்கிச் செல்லும். எனவே, 
பெருக்குத் தொடரில் நாம் பார்த்த சில தொடர்கள் x-ன் பொருத்தமான மதிப்புகளுக்கு

அதனால்
போன்றவைகளை (1 – x)-1 (1 + x)-1 மற்றும் (1 – 2x)-1 எனவும் எழுதலாம். இதன் மூலம் (1 + x), (1 – x)... போன்றவற்றிற்கு அடுக்குகள் குறை எண்ணாக வாய்ப்புள்ளது எனத் தெரிகிறது. அதாவது அடுக்கானது குறை, மிகை முழு எண்களாகவோ அல்லது விகிதமுறு எண்ணாகவோ இருக்கலாம், மேலும் (1 + x) -ன் அடுக்கு ஒரு விகிதமுறா எண்ணாக கூட இருக்கலாம், ஏற்கனவே நாம் தேற்றம் 5.1 மூலம், அடுக்கு, மிகை எண்ணாக இருக்கும் போது ஈருறுப்புத் தேற்றத்தினை நிரூபித்துள்ளோம். இப்போது விகிதமுறு அடுக்குகளுக்கான ஈருறுப்புத் தேற்றத்தை காண்போம்.
தேற்றம் 5.4
ஏதேனும் ஒரு விகிதமுறு எண் n-க்கு, | x | < 1 ஐ நிறைவு செய்யும் எல்லா மெய்யெண் x-க்கும்
ஆகும். இதற்கான நிரூபணமானது உயர் கணித கோட்பாடுகளை உள்ளடக்கியது என்பதால் தேற்றத்தை நிரூபணம் இல்லாமல் எடுத்துக்கொண்டு சில குறிப்பிட்ட நிலைகளைக் காணலாம் மேலும் அவற்றின் மூலம் சில கணக்குகளுக்குத் தீர்வு காண்போம். இந்த தேற்றத்தில்
1. x ஐ - x ஆக பிரதியிட,

2. n-க்குப் பதிலாக - n ஐப் பிரதியிட,

3. x -க்கும் n -க்கும் பதிலாக முறையே - x மற்றும் - n எனப் பிரதியிட,

தேற்றத்தில், n ஒரு விகிதமுறு எண் என வெளிப்படையாக குறிப்பிடப்பட்டிருந்தாலும், பொதுவான விகிதமுறு எண்வடிவம் p/q (q≠0) ஆகும். எனவே, n = p/q என எடுத்து விரிவாக்கத்தினை எழுதலாம்.
(1+x)n ஐ கணக்கிட ஏதுவான சூத்திரங்கள் மேலே கொடுக்கப்பட்டிருந்தாலும், சில எண்ணியல் கணக்குகளுக்கு எளிமையாக தீர்வு காண நேரடியான சில விரிவாக்கங்கள் தேவைப்படும்.
இவ்வாறான ஒவ்வொரு விரிவிலும் கெழுக்களை உற்று நோக்குதல், கணக்குகளைத் தீர்ப்பதற்கு மிகவும் எளிதாக இருக்கும். சிலவற்றை நாம் பட்டியலிடுவோம்.
1. (1+x)-1 = 1 – x + x2 = x3 +....
2. (1-x)-1 = 1 + x + x2 + x3 +...
3. (1-x)-2 = 1 + 2x + 3x2 + 4x3 + 5x4+ + 6x5 +...
4. (1 + x)-2 = 1- 2x + 3x2 - 4x3 + 5x4 – 6x5 + ...
இவை அனைத்து விரிவாக்கங்களும் | x | < 1 எனும்போது மட்டுமே பொருந்தும்.
எடுத்துக்காட்டு 5.21 | x | < 1 என்ற மதிப்பிற்கு, (1 + x)2/3 ஐ முதல் நான்கு உறுப்புகள் வரை விரிவுபடுத்தி எழுதுக.
தீர்வு:

எடுத்துக்காட்டு 5.22 1/(1+3x)2 ஐ x-ன் அடுக்குகளாக விரிவாக்கம் செய்க. அந்த விரிவாக்கம் சரியாக இருப்பதற்கான x -ன் நிபந்தனையைக் காண்க.
தீர்வு:

இப்போது, 1/(1+y)2 ஐ ஈருறுப்புத் தேற்றத்தின் மூலம் y-ன் அடுக்குகளாக எழுதலாம் | y | < 1 எனவுள்ள எல்லா y மதிப்புகளுக்கும் இது பொருந்தும். பின்பு y -க்கு 3x எனப் பிரதியிட, | 3 x | < 1 எனவுள்ள எல்லா x மதிப்புகளுக்கும் 1/(1+3x)2 -ன் விரிவு ஏற்புடையதாகும். | x | < 1/3 ஐ நிறைவு செய்யும் x -ன் மதிப்புகளுக்கு மட்டுமே இந்த விரிவு பொருந்தும்.

எடுத்துக்காட்டு 5.23 1/(3+2x)2 ஐ x-ன் அடுக்குகளாக விரிவாக்கம் செய்க. அந்த விரிவு ஏற்புடையதாக இருப்பதற்கான x -ன் நிபந்தனையைக் காண்க.
தீர்வு :
இங்கு நாம் (1 + x)2-ன் விரிவாக்கத்தினைப் பயன்படுத்துவோம்.

மிகை எண்களுக்கான வர்க்க மூலம், மூன்றாம்படி மூலம் போன்றவைகளை ஈருறுப்புத்தேற்றம் மூலம் காணலாம். அது போன்ற கணக்கினைக் கீழே காண்போம்.
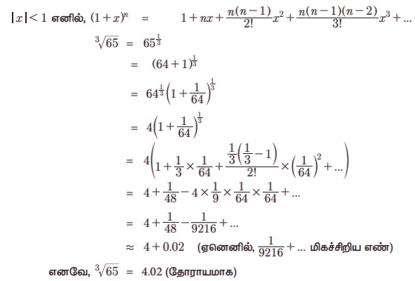
எடுத்துக்காட்டு 5.24
-ன் மதிப்பு காண்க.
தீர்வு:

எடுத்துக்காட்டு 5.25 x ஒரு பெரிய எண் எனில்,
-ன் மதிப்பு தோராயமாக 1/x2 என நிறுவுக.
தீர்வு :

குறிப்பு: எல்லா மெய்யெண் n க்கும் ஈருறுப்புத் தேற்றம் உண்மை . எடுத்துக்காட்டாக, n = √2

என்ற தொடர் அடுக்குக்குறித் தொடர் (Exponential Series) எனப்படும். இந்த தொடர் x-ன் எல்லா மதிப்புகளுக்கும் ஒருங்கும் என நிறுவலாம்.

5.1 மற்றும் 5.2 ஆகியவைகளிலிருந்து

என கிடைக்கும். குறிப்பாக,

(5.1) இல் x-க்கு பதிலாக 2 x ஐ பிரதியிட,

சுருக்கும்பொழுது நமக்கு கிடைப்பது,

என்ற தொடர் மடக்கைத் தொடர் (Logarithmic Series) எனப்படும். இந்த தொடர் | x | < 1 எனவுள்ள x -ன் எல்லா மதிப்புகளுக்கும் ஒருங்குகின்றது. x = 1-க்கும் இந்த தொடர் ஒருங்குகின்றது.
| x | < 1 எனவுள்ள எல்லா x மதிப்புகளுக்கும் இந்த தொடரின் கூடுதல் log(1+ x) ஆகும். இதனால் 
| x | < 1 எனவுள்ள எல்லா x மதிப்புகளுக்கும் x -க்கு பதிலாக - x என பிரதியிட,
எனக் கிடைக்கின்றது.

1. பின்வருவனவற்றை x -ன் ஏறுவரிசை அடுக்குகளாக விரிவாக்கம் செய்க. அந்த விரிவு ஏற்புடையதாக இருப்பதற்கான x - ன் நிபந்தனையைக் காண்க.

2.
-ன் மதிப்பைத் தோராயமாக காண்க. (இரு தசமத்திருத்தமாக)
3. x ஒரு தேவையான அளவிலான பெரிய எண் எனில்,
-ன் மதிப்பைத் தோராயமாக 1/ x2 என நிறுவுக.
4. x மிகச் சிறியது எனில்,
என்பது தோராயமாக
என நிறுவுக.
5. பின்வரும் அடுக்குக்குறித் தொடரில் முதல் 6 உறுப்புகளைக் காண்க. 
6. பின்வரும் மடக்கைத் தொடர்களின் முதல் 4 உறுப்புகளைக் காண்க.

இந்த விரிவுகள் ஒவ்வொன்றும் எந்த இடைவெளியில் ஏற்புடையது எனவும் காண்க
7.
என நிறுவுக.

சரியான அல்லது மிகவும் ஏற்புடைய விடையைத் தேர்தெடுக்கவும்.
1. 2 + 4 + 6 +... + 2n -ன் மதிப்பு

2.
3. (2 x + 3y)20 என்ற விரிவில் x8y12 -ன் கெழு

4. r-ன் எல்லா மதிப்புக்கும் nC10 > nCr எனில், n-ன் மதிப்பு
(1) 10
(2) 21
(3) 19
(4) 20
5. இரு எண்களின் கூட்டுச்சராசரி a மற்றும் பெருக்குச் சராசரி g எனில்,
(1) a ≤ g
(2) a ≥ g
(3) a = g
(4) a > g
6. (1 +x2)2 (1 +x)n = a0 + a1x + a2x2 + ... + xn+4 மற்றும் a0, a1 , a2 ஆகியவை கூட்டுத் தொடர் முறை எனில், n-ன் மதிப்பு
(1) 1
(2) 5
(3) 2
(4) 4
7. a, 8, b என்பன கூட்டுத் தொடர் முறை, a, 4, b என்பன பெருக்குத் தொடர் முறை மற்றும் a, x, b என்பன இசைத் தொடர் முறை எனில், x-ன் மதிப்பு
(1) 2
(2) 1
(3) 4
(4) 16
8.
என்ற தொடர்முறை
(1) கூட்டுத் தொடர் முறை
(2) பெருக்குத் தொடர் முறை
(3) இசைச் தொடர் முறை
(4) கூட்டு பெருக்குத் தொடர் முறை
9. இரு மிகை எண்களின் கூட்டுச் சராசரி மற்றும் பெருக்குச் சராசரி முறையே 16 மற்றும் 8 எனில், அவற்றின் இசைச்சராசரி
(1) 10
(2) 6
(3) 5
(4) 4
10. பொது வித்தியாசம் d ஆக உள்ள ஒரு கூட்டுத் தொடரின் முதல் n உறுப்புகளின் கூடுதல் Sn எனில், Sn - 2 Sn-1 + Sn-2 - ன் மதிப்பு
(1) d
(2) 2d
(3) 4d
(4) d2
11. 3815 ஐ 13 ஆல் வகுக்கக் கிடைக்கும் மீதி
(1) 12
(2) 1
(3) 11
(4) 5
12. 1, 2, 4, 7, 11, … என்ற தொடர் முறையின் n ஆவது உறுப்பு

13.
என்ற தொடரின் முதல் n உறுப்புகளின் கூடுதல்

14.
என்ற தொடர் முறையின் n ஆவது உறுப்பு
(1) 2n – n - 1
(2) 1 – 2- n
(3) 2- n + n - 1
(4) 2 n-1
15.
என்ற தொடரின் n உறுப்புகளின் கூடுதல்.

16.
என்ற தொடரின் மதிப்பு
(1) 14
(2) 7
(3) 4
(4) 6
17. ஒரு முடிவுறா பெருக்குத் தொடரின் மதிப்பு 18 மற்றும் அதன் முதல் உறுப்பு 6 எனில் பொது விகிதம்

18. e-2x என்ற தொடரில் x5 -ன் கெழு
