எடுத்துக்காட்டு கணக்குகள் | கணக்கு - உயர் வரிசை வகைக்கெழுக்கள் (Higher order Derivatives) | 11th Mathematics : UNIT 10 : Differential Calculus: Differentiability and Methods of Differentiation
உயர் வரிசை வகைக்கெழுக்கள் (Higher order Derivatives)
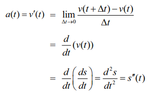
ஒரு நேர்க்கோட்டில் நகரும் பொருளின் நிலைச்சார்பு (இடப்பெயர்ச்சி) s = s(t) என்க. அதன் முதல் வகைக்கெழு, பொருளின் திசைவேகம் நேரத்தின் சார்பாக v(t) அமையும் என்பது இயற்பியலில் எளிமையாக அறிந்துள்ளோம்.

மேலும், நேரத்தினைப் பொறுத்துத் திசைவேகத்தின் கணநேர வீத மாற்றம் அப்பொருளின் முடுக்கம் a(t) ஆகும். எனவே முடுக்கச் சார்பு ஆனது திசைவேகத்தின் முதல் வகைக்கெழுவாகும் என்பதனால் முடுக்கச் சார்பு, நிலைச்சார்பின் இரண்டாவது வகைக்கெழுவாகும்.

இவ்வாறாக, ƒ என்பது x-ன் வகைமையான சார்பு எனில், அதன் முதல் வகையிடல்
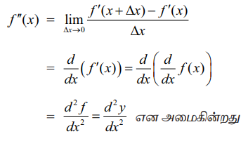
என்பது y = ƒ(x) என்ற சார்பின் வரைபடத்தின் தொடுகோட்டின் சாய்வு என மிக எளிய வடிவியல் விளக்கமாக அமைகிறது. ƒ' என்பது x -ன் சார்பாகவும் இருப்பதால், ƒ' -க்கும் வகைமை இருக்க முடியும். அவ்வாறு இருந்தால், (f ′)' = ƒ" எனக் குறிப்பிடப்பட்டு

இதனை மற்றொரு குறியீடாக D2 ƒ(x) = D2y = y2 = y" என எழுதலாம்.
இரண்டாம் வகைக்கெழு என்பது மாறு வீதத்தின் மாறு வீதமாகக் கருதினாலும் வடிவியல் விளக்கம் எளிதாக இல்லை. இருப்பினும் y = ƒ(x) என்ற சார்பின் வரைபடத்தின் வளை ஆரத்திற்கும். இரண்டாம் வகையிடலுக்கும் நெருங்கியத் தொடர்பு உள்ளது என்பதனை உயர் வகுப்புகளில் காணலாம்.
அதேபோன்று ƒ"(x) கிடைக்கப்பெறினும், அது வகைமையாகவோ அல்லது வகைமையின்றியோ அமையலாம். வகைமையாக அமைந்தால் ƒ’’’ மூன்றாம் வகையிடல் என்றும்
எனவும் குறிப்பிடப்படுகிறது
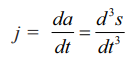
மூன்றாம் வகையீட்டினை இயற்பியல் ரீதியாக, ஒரு நேர்க்கோட்டில் நகரும் பொருளின் நிலைச்சார்பின் மூலம் விளக்கலாம். s" = (s")' = a'(t) என்பதால், நிலைச்சார்பின் மூன்றாம் வகையிடல் என்பது முடுக்கச் சார்பின் வகைக்கெழு ஆகும். மற்றும் அதனை ‘குலுக்கம்’ (jerk) என்றும்
எனவும் எழுதலாம்.
எனவே, ‘குலுக்கம்' என்பது முடுக்கத்தில் திடீரென ஏற்படும் மாற்றம் என்பதால் மிகச் சரியாகவே முடுக்கத்தின் மாறு வீதத்திற்கு குலுக்கம் எனப் பெயரிடப்பட்டுள்ளது. பெரிய குலுக்கம் ஏற்பட்டால் வாகனத்தின் நகர்வில் அதிர்வு ஏற்படும்.

பாடத் தொகுப்பு
இப்பாடத்தில் நாம் கற்றுத் தெளிந்தவை
• வகையிடல் என்பது மாறு வீதம் ஆகும் எல்லை கிடைக்கப்பெறின், y = ƒ(x) எனில், x0 -ல்
x -ஐ பொறுத்து y-ன் வகையிடல் என்பது
இங்கு எல்லை இருக்க வேண்டும் என்றால்,
என்பது ஒரு தனித்த மெய்யெண்ணாக இருக்க வேண்டும்.
• x = x0 என்ற புள்ளியில் y = ƒ(x) என்ற சார்பின் வகைக்கெழு 
• (x, ƒ(x)) என்ற புள்ளியில் y = ƒ(x)-ன் வகைக்கெழு y = ƒ(x) என்ற வளைவரையில் y தொடுகோட்டின் சாய்வு என்பதன் வடிவியல் விளக்கமாகும்.
• s = ƒ (t)-ன் முதல் வகைக்கெழு t-ஐ பொறுத்து இடமாற்றத்தின் மாறு வீதமாகும். அது திசைவேகம் ஆகும். இரண்டாம் வகைக்கெழு முடுக்கமாகும். மூன்றாவது வகைக்கெழு குலுக்கமாகும்.
• x = x0 -ல் y = ƒ(x) தொடர்ச்சியற்று இருந்தால் x = x0 -ல் ƒ(x) வகைமையற்றது.
• x = x0 -ல் y = ƒ(x) வகைமை இல்லையெனில் (x0,. ƒ(x0,)) -ல் y = ƒ(x) என்றவளைவரைக்குத் தொடுகோடு இல்லை என்பதாக பொருள்.
• y = ƒ(x) என்ற வளைவரைக்கு x = x0 -ல் வளைவரை வடிவம் (V) அல்லது (Λ) வடிவில் இருந்தால் x = x0 -ல் வகைமை இல்லை.
• வகையிடல் என்பது ஒரு செயலே அன்றி விதிகளின் தொகுப்பு எனப் புரிந்து கொள்ளல்.
• வகைமைத் தன்மையானது தொடர்ச்சித் தன்மையைக் கொடுக்கும். ஆனால் தொடர்ச்சித்தன்மையானது வகைமைத்தன்மையைக் கொடுக்க வேண்டிய அவசியமில்லை.
• வகைமைத்தன்மை வாய்ந்த சார்புகளின் வேறுபாடு, பெருக்கல், வகுத்தல்

இணையச் செயல்பாடு 10 (a)
வகை நுண்கணிதம்-வகைமை மற்றும் வகையிடல் முறைகள்

படி – 1
கீழ்க்காணும் உரலி / விரைவுக் குறியீட்டைப் பயன்படுத்தி GeoGebra -வின் "Derivatives" பக்கத்திற்குச் செல்க. உங்கள் பாடம் சார்ந்த பல பயற்சித்தாள்கள் இப்பக்கத்தில் கொடுக்கப்பட்டிருக்கும்.
படி − 2
"Tracing the derivative of a function" என்ற பயிற்சித் தாளைத் தேர்வு செய்க. நீங்கள் ஏதேனும் சார்பு மதிப்பினை f(x) பெட்டியில் பதியவும். சார்பு நீல நிறத்திலும், வகைகெழு ஆரஞ்சு நிறத்திலும் நீங்கள் காணலாம். Play trace button-ஐச் சொடுக்கி வகைக்கெழுவின் நியமபாதையின் அசைவூட்டத்தைப் பெறலாம் (x, x-ல் சாய்வு). f(x)-ன் ஒவ்வொரு புள்ளியிலும் வகைகெழு சறிவின் பாதை என்பதை காணலாம்.

உரலி :
*படங்கள் அடையாளத்திற்கு மட்டும்.
இணையச் செயல்பாடு 10 (b)
வகை நுண்கணிதம்-வகைமை மற்றும் வகையிடல் முறைகள்

படி − 1
கீழ்க்காணும் உரலி / விரைவுக் குறியீட்டைப் பயன்படுத்தி GeoGebra -வின் "Derivatives" பக்கத்திற்குச் செல்க. உங்கள் பாடம் சார்ந்த பல பணித்தாள்கள் இப்பக்கத்தில் கொடுக்கப்பட்டிருக்கும்.
படி - 2
"Derivatives in graph" என்பதைத் தேர்வு செய்க. சில அடிப்படை செயல்பாடுகளும் பங்குகளும் கொடுக்கப்பட்டிருக்கும். நழுவலை நகர்த்தி "a"-ன் மதிப்புகளை மாற்ற முடியும்.மேலும் ஒவ்வொரு செயல்பாடு மற்றும் பங்குகளில் ஏற்படும் மாற்றங்களை உற்றுநோக்குக.

உரலி :
*படங்கள் அடையாளத்திற்கு மட்டும்.