இலக்கணம், நேர்க்கோட்டுச் சமன்பாடுகள், பொருளியலில் பயன்பாடு, சமநிலை - சார்புகள் | 11th Economics : Chapter 12 : Mathematical Methods for Economics
சார்புகள்
ஒன்று அல்லது ஒன்றிற்கு மேற்பட்ட சாராத (தன்னிச்சையான) மாறிகளின் மதிப்பால் சார்பு மாறியின் மதிப்பில் ஏற்படும் மாற்றத்தை கணிதத் தொடர்பு மூலம் விளக்குவதே சார்பு எனப்படும்.
ஒரேயொரு சாராத மாறியைக் (Independent Variable) கொண்ட சார்புகள் எளிய ஒருமாறிச்சார்புகளாகும். இச்சார்பில் மாறிகள் ஒன்றுக்கொன்று தொடர்பு உடையவை. ஒன்றுக்கு மேற்பட்ட சாராத மாறிகளைக் கொண்ட சார்புகள் பலமாறிச் சார்புகள் எனப்படுகின்றன. சாராத மாறியானது X என குறிக்கப்படுகிறது. சார்ந்த மாறியானது (Dependent Variable) Y என குறிக்கப்படுகிறது. எடுத்துக்காட்டாக, Y யானது X ன் சார்பு என்றால், Y யானது X ஐ சார்ந்தது என்று பொருளாகும். Y ன் மதிப்பு X ன் மதிப்பினைக் கொண்டு தீர்மானிக்கப்படுகிறது. இதனை Y = f(x) என கணித வடிவில் எழுதலாம். Y ன் மதிப்பு Xன் மதிப்பைப் பொருத்து அமைகிறது.
இரண்டு அளவீடுகளுக்கு இடையேயான தொடர்பினை காட்டும் கூற்றே சமன்பாடாகும். ஒரு சமன்பாட்டில், தெரியாத சாரா மாறியின் அதிகபட்ச அடுக்கு ஒன்று ஆக இருந்தால் அது நேர்க்கோட்டுச் சமன்பாடாகும். அத்தகைய சமன்பாடுகளை வரைபடத்தில் குறிப்பிட்டோமானால் அவை நேர்க்கோடுகளாக அமையும். எடுத்துக்காட்டாக Y = 100-10X.
ஒரு நேர்கோட்டிற்கு, X, Y எனும் இரண்டு மாறிகள் பயன்படுத்தப்படுகின்றன. X இன் சாராத மாறி எனவும், Y என்பது சார்ந்த மாறி எனவும் குறிப்பிடப்படுகிறது.
X இன் மதிப்பு ஓர் அலகு அதிகரிக்கும்போது (அல்லது குறையும்போது) அதனோடு தொடர்புடைய Y இன் மதிப்பில் ஏற்படும் மாற்றத்தையே, கோட்டின் சாய்வு என்கிறோம். ஒரு நேர்கோட்டின் சாய்வினை சூத்திரம் வாயிலாக கண்டறியலாம்.
m = சாய்வு (இறுதிநிலை மாற்றம், b எனவும் சில பாடநூல்களில் குறிப்பிடப்படுகிறது)
m = (Y2-Y1) / (X2-X1) (Yஇல் ஏற்படும் மாற்றம்) / (X இல் ஏற்படும் மாற்றம்)

இங்கு (X1, Y1) மற்றும் (X2, Y2) என்பன தன்னிச்சையான இரண்டு புள்ளிகளாகும்.
செங்குத்து கோட்டிலும் கிடைமட்டக் கோட்டிலும் ஏற்படும் மாற்ற வீதமே கோட்டின் சாய்வாகும்.
நேர்கோடு சமன்பாட்டை அமைப்பதற்கான சூத்திரம்:
(Y – Y1) = m(X – X1)
(0,0) மற்றும் (X,Y) என்பன இரண்டு புள்ளிகள் எனில் நேர்கோட்டின் சமன்பாடு Y = mX
எடுத்துக்காட்டு 12.1
(2, 2) மற்றும் (4, -8) ஆகிய இரண்டு புள்ளிகள் முறையே (X1, Y1) மற்றும் (X2, Y2) எனில், அப்புள்ளிகள் வழியேச் செல்லும் நேர்க்கோட்டின் சமன்பாடு காண்க.
குறிப்பு: ஒரு நேர்கோடு வரைய இரண்டு புள்ளிகள் தேவைப்படும். ஒரு புள்ளி வழியாக பல நேர்கோடுகள் வரையலாம்.
தீர்வு
இங்கு
X1 = 2, Y1 = 2
X2 = 4, Y2 = -8
நேர்க்கோட்டின் சமன்பாட்டிற்கான சூத்திரம்
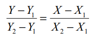
Y – Y1 / Y2 – Y1 = X – X1 / X2 – X1

மதிப்புகளைப் பிரதியிட
Y - 2 / – 8 - 2 = X – 2 / 4 - 2
Y - 2 / -10 = X – 2 / 2--
2 (Y-2) = -10 (X-2)
2Y - 4 = -10X + 20
2Y = -10X + 24
Y = -5X + 12

சாய்வு -5 ஆகும்.
இதனை m என குறிப்பிடலாம். y வெட்டு 12 அல்லது மாறிலி C என குறிப்பிடப்படுகிறது. இது Y = mX + C வடிவில் உள்ளது
Y = 12 - 5X
X = 0 எனில் Y = 12
y = 0 எனில் X = 12/5 = 2.4
(இக்கோடு நுண்ணினப் பொருளியலில் தேவைக்கோடுபோல் உள்ளது)

மேற்கண்ட முறையினைப் பயன்படுத்தி தேவை மற்றும் அளிப்புச் சார்புகளை பெறலாம்.
தேவைச் சார்பு: Qd = f (Px) இங்கு Qd என்பது 'x' என்ற பண்டத்தின் தேவையின் அளவையும், Px என்பது பண்டத்தின் விலையையும் குறிக்கும்.
அளிப்புச் சார்பு: Qs = f (Px) இங்கு 'Qs' என்பது பண்டத்தின் அளிப்பின் அளவையும், Px என்பது பண்டத்தின் விலையையும் குறிக்கும்.
எடுத்துக்காட்டு 12.1 ல் Y = -5X + 12 என்ற சமன்பாடு பெறப்பட்டது. இதனை நேர்க்கோட்டு சார்பு எனலாம். இங்கு, சாய்வின் மதிப்பு எதிர்மறையாக இருப்பதால் இந்தச் சார்பு தேவைச் சார்பாக அமையும். தேவைச் சார்பின்போது விலைக்கும் தேவைக்குமான உறவு எதிர்மறையாகும்.
Qd = 12 - 5X அல்லது Qd = 12 - 5P
P = 2 என்றால் Qd = 2
P மதிப்பை 0, எனக் கருதினால் சமன்பாட்டின் மதிப்பு 12 மட்டுமே கிடைக்கும். அதனை வெட்டு அல்லது மாறிலி என்கிறோம். P = 0 என்றால் Qd = 12
தேவைக்கோடு

பணமதிப்பான மாறிகளை Y அச்சிலும், உருவம் கொண்ட மாறிகளை X அச்சிலும் குறிப்பது மார்ஷலின் மரபாக உள்ளது. எனவே விலையை Y அச்சிலும் தேவையின் அளவை X அச்சிலும் குறிக்கிறோம்.
எடுத்துக்காட்டு 12.2
ஒரு பண்டத்திற்கான விலை ₹5 அல்லது அதைவிட குறைவாக இருக்கும்போது அளிப்பின் அளவு பூஜ்ஜியமாக உள்ளது. விலை ₹5 ஐ விட ஒவ்வொரு ₹1 அதிகரிக்கும்போது அளிப்பு (அளவு) மாறாவீதத்தில் தொடர்ச்சியாக 10 அலகுகள் என்ற வீதத்தில் அதிகரிக்கிறது. அப்படி எனில் பண்டத்திற்கான அளிப்புச்சார்பு காண்க.
தீர்வு
அளிப்புச்சார்பு (நேர்க்கோடு) அமைக்க குறைந்தது இரண்டு புள்ளிகள் தேவைப்படுகின்றன. விலை ₹5 எனும்போது அளிப்பின் அளவு பூஜ்ஜியம் என்பதிலிருந்து அளிப்புச்சார்பின் முதல் புள்ளிகிடைக்கிறது. அதாவது புள்ளி (0,5) ஆகும்.
விலை ஒவ்வொரு ஒரு ரூபாய் உயரும் போதும் அளிப்பு 10 அலகுகள் அதிகரிக்கின்றது என்ற கூற்றிலிருந்து அளிப்புச்சார்பின் இரண்டாவது மற்றும் மூன்றாவது புள்ளிகள் கிடைக்கின்றன. அதாவது புள்ளிகள் (10, 6) மற்றும் (20, 7) ஆகும்.
(10, 6) மற்றும் (20, 7) ஆகிய இரண்டு புள்ளிகளை இணைக்கும் நேர்க்கோடு வரைபடம் 12.3ல் தரப்பட்டுள்ளது.
அளிப்புக்கோடு

(X1, Y1), (X2,Y2) என்ற புள்ளிகளின் வழியே செல்லும் நேர்கோட்டின் சமன்பாடு
Y – Y1 / Y2 – Y1 = X – X1 / X2 – X1

P = 5 என்றால் அளிப்பு பூஜ்யமாகும். P = 6 என்றால் அளிப்பு 10 ஆகும்.Pயின் மதிப்பு 5க்கு குறைவாக, உதாரணமாக 4 என்றால் அளிப்பு -10 ஆகும். இது கணிதத்தில் இயலும். ஆனால் பொருளாதாரத்தில் மாறிகளின் மதிப்பு எதிரிடை மதிப்பாக இருந்தால் சரியான பொருள் தராது. பொதுவாக அளிப்புக் கோடு ஆதிப் புள்ளியிலிருந்து தொடங்கும். விலை பூஜ்யமென்றால் அளிப்பும் பூஜ்யமாகவே இருக்கும்.
(X1, Y1), (X2, Y2) க்குப் பதிலாக (10, 6), (20, 7) மதிப்புகளை முறையே பிரதியிட
Y - 6 / 7 - 6 = X - 10 / 20 - 10
Y - 6 / 1 = X – 10 / 10
Y - 6 = X – 10 / 10
10 (Y - 6) = X – 10
10Y - 60 = X - 10
10Y - 60 + 10 = X

10Y - 50 = X
-X = -10Y + 50
இருபுறமும் ( - ) ஆல் பெருக்க
X = -50 + 10Y
X என்பதை அளிப்பின் அளவு (X) மற்றும் Y என்பதை விலை (P) எனவும் கருதினால்,
X = 10P - 50 (அல்லது)
X = -50 + 10P
விலை P = 0 எனில் Q = -50
Q = 0 எனில் P = 5
குறிப்பு: தேவைச்சார்பில் P யின் குணகம் - ஆகும்.
அளிப்புச்சார்பில் P யின் குணகம் + ஆகும்.
தேவைக்கோடும் அளிப்புக்கோடும் வெட்டும் புள்ளியே சமநிலையாகும். இரண்டு சமன்பாடுகளை தீர்ப்பதன் மூலம் சமநிலைப்புள்ளியை காணலாம். இரண்டு சமன்பாடுகளை தீர்ப்பதன் மூலம் இரண்டு தெரியாத மதிப்புகளை அறியலாம்.
சமநிலைப்புள்ளியில்,
தேவை = அளிப்பு
(இவை அனுமான உதாரணங்கள்)
100 - 10P = 50 + 10 P
100 - 50 = 20P
50 = 20P
50 / 20 = P
P = 2.5
P = 2.5 எனில் தேவை = 100-10 (2.5)
= 75
P = 2.5, எனில் அளிப்பு = 50 +10 (2.5)
= 75

E என்ற புள்ளியில் தேவையும் அளிப்பும் சமமாகும்.
எடுத்துக்காட்டு: 12.3
Qd = 100 - 5 P மற்றும் Qs = 5 P என்பன முறையே தேவை மற்றும் அளிப்புச்சார்புகள் ஆகும். இதனைக் கொண்டு சமநிலை விலை மற்றும் அளவைக் காண்க.
தீர்வு :
Qs = Qd எனும் போது சமநிலை ஏற்படுகிறது.
Qs = Qd
5P = 100 - 5P
10P = 100
P = 10
P = 10 எனில்
அளிப்புச்சார்பில்,
Qs = 5 P = 5 x 10 = 50
தேவைச்சார்பில்,
Qd = 100 - 5 P = 100 - 5(10) = 50
எனவே
P= 10, Qd = 50, Qs = 50.
விலை ₹10 என்கின்றபோது தேவையின் அளவு அளிப்பின் அளவிற்குச் சமமாக 50 அலகுகளாக உள்ளது. வரைப்படம் 12.6 ஐப் பார்க்கவும்.

எடுத்துக்காட்டு: 12.4
D = 50 - 5P என்பது அங்காடி தேவைக் கோடாகும். எந்த அதிகபட்ச விலைக்கு மேல் பண்டத்திற்கான விலை தரமாட்டார்கள் என்பதை காண்க.
தீர்வு :
Qd = 50 - 5P தரப்பட்டுள்ளது
5P = 50 – Qd
Qd மதிப்பானது பூஜ்ஜியம் எனில்,
5P = 50
P = 50 / 5
P = 10 என்கின்றபோது தேவை பூஜ்ஜியமாகும்.
எனவே P = 10 என்பது அதிகபட்ச விலையாகும். இந்த விலைக்குமேல் பண்டத்தை ஒருவரும் வாங்க மாட்டார்கள்.
எடுத்துக்காட்டு: 12.5
பாலுக்கான தேவை அட்டவணை

நேர்கோட்டு தேவைச்சார்பு மற்றும் சாய்வை காண்க.
தீர்வு :
(100, 1) மற்றும் (50, 2) ஆகிய புள்ளிகள் முறையே (X1Y1) மற்றும் (X2Y2) ஆகும். இப்புள்ளிகளை இணைப்பதன் மூலம் தேவைச்சார்புக்கான சமன்பாடு கிடைக்கும்.

Y – Y1 / Y2 – Y1 = X – X1 / X2 – X1
Y - 1 / 2 – 1 = X – 100 / 50 - 100
Y - 1 / 1 = X – 100 / - 50
-50 (Y - 1) = 1 (X - 100)
- 50Y + 50 = X - 100
- 50Y + 50 + 100 = X
- 50Y + 150 = X
X = 150 - 50Y
எனவே தேவைச்சார்பானது
Qd = 150 - 50P மேலும் சாய்வு m = - 50
உனது பகுதியில் நீர் மேலாண்மை பற்றி சிந்திக்கவும். தினசரி அனைத்து பயன்பாடுகளுக்கும் எவ்வளவு லிட்டர் நீர் தேவைப்படுகிறது மற்றும் உனது தெருவில் தேவைப்படும் நீரின் அளவுக்கான தேவைச்சார்பினைக் காண்க.