லாரன்ஸ் விசை | இயற்பியல் - நீண்ட இணையான மின்னோட்டம் பாயும் இரு கடத்திகளுக்கிடையே ஏற்படும் விசை | 12th Physics : UNIT 3 : Magnetism and Magnetic Effects of Electric Current
நீண்ட இணையான மின்னோட்டம்
பாயும் இரு கடத்திகளுக்கிடையே ஏற்படும் விசை
நீண்ட இணையான மின்னோட்டம் பாயும் இரண்டு கடத்திகள் r இடைவெளியில் காற்றில் பிரித்து வைக்கப்பட்டுள்ளன. இவை படம் 3.53 இல் காட்டப்பட்டுள்ளன. கடத்திகள் A மற்றும் B யின் வழியே ஒரே திசையில் பாயும் மின்னோட்டங்கள் I1 மற்றும் I2 என்க. (அதாவது z - அச்சுதிசையில்) A கடத்தியில் பாயும் I1, மின்னோட்டத்தினால் r தொலைவில் ஏற்படும் நிகர காந்தப்புலம்
வலதுகை பெருவிரல் விதியிலிருந்து, காந்தப்புலத்தின் திசை தாளின் தளத்திற்கு செங்குத்தாகவும் உள்நோக்கிச் செயல்படும் வகையிலும் காணப்படும் (அம்புக்குறி தாளுக்கு உள்ளே செல்லும் வகையில்
அதாவது எதிர்க்குறி i^ திசையில்
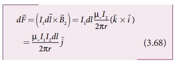
கடத்தி B யில் dl நீளமுள்ள சிறு கூறு ஒன்றைக் கருதுக. அச்சிறு கூறு
காந்தப்புலத்தில் உள்ளது என்க. சமன்பாடு 3.66 லிருந்து B கடத்தியின் dl நீளமுள்ள சிறு கூறின் மீது செயல்படும் லாரன்ஸ் விசை

எனவே B கடத்தியிலுள்ள dl நீள சிறு கூறு மீது செயல்படும் விசையின் திசை A கடத்தியை நோக்கி காணப்படும். எனவே dl நீளமுள்ள சிறுகூறு கடத்தி A வை நோக்கி ஈர்க்கப்படும். A கடத்தியினால், B கடத்தியின் ஓரலகு நீளத்தில் செயல்படும் விசை

இதேபோன்று, I2, மின்னோட்டம்பாயும் B கடத்தியினால் r தொலைவிலுள்ள A கடத்தியின் dl நீளமுள்ள சிறு கூறினைச் சுற்றி உருவான காந்தப்புலத்தின்
மதிப்பைக் காணலாம்.

வலதுகை பெருவிரல் விதியிலிருந்து, காந்தப்புலத்தின் திசை தாளின் தளத்திற்கு செங்குத்தாகவும் வெளிநோக்கிச் செயல்படும் வகையிலும் காணப்படும் (அம்புக்குறி தாளிலிருந்து வெளியேறி செல்லும் வகையில்
அதாவது நேர்க்குறி i^ திசையில்.
எனவே கடத்தி A யில் உள்ள dl நீள சிறு கூறின் மீது செயல்படும் காந்தவிசை

எனவே, A கடத்தியிலுள்ள dl நீள சிறு கூறு மீது செயல்படும் விசையின் திசை B கடத்தியை நோக்கி காணப்படும். எனவே dl நீளமுள்ள சிறு கூறு B கடத்தியை நோக்கி ஈர்க்கப்படும் இது படம் (3.54) இல் காட்டப்பட்டுள்ளது.

B கடத்தியினால், A கடத்தியின் ஓரலகு நீளத்தில் செயல்படும் விசை

இரு இணை கடத்திகளின் வழியே, ஒரே திசையில் மின்னோட்டம் பாயும்போது, அவற்றுக்கிடையே ஈர்ப்புவிசை தோன்றும் இது படம் 3.55 இல் காட்டப்பட்டுள்ளது.

இரு இணைகடத்திகளின் வழியே, எதிரெதிர் திசைகளில் மின்னோட்டம் பாயும் போது அவற்றுக்கிடையே விலக்குவிசை தோன்றும். இது படம் 3.56 இல் காட்டப்பட்டுள்ளது.

ஆம்பியர் வரையறை
வெற்றிடத்தில் ஒரு மீட்டர் இடைவெளியில் பிரித்து வைக்கப்பட்டுள்ள முடிவிலா நீளம் கொண்ட இரு இணைகடத்திகள் ஒவ்வொன்றின் வழியாகவும் பாயும் மின்னோட்டத்தினால், ஒவ்வொரு கடத்தியும் ஓரலகு நீளத்திற்கு 2 x 10-7N விசையை உணர்ந்தால், ஒவ்வொரு கடத்தியின் வழியாகவும் பாயும் மின்னோட்டத்தின் அளவு ஒரு ஆம்பியராகும்.