கூட்டு மற்றும் பெருக்குத் தொடர் முறைகள், கூட்டு – பெருக்குத் தொடர் முறை, இசைத் தொடர்முறை, கூட்டு, பெருக்கு மற்றும் இசைச் சராசரிகள் | வரையறை, சூத்திரம், தீர்க்கப்பட்ட எடுத்துக்காட்டு கணக - முடிவுறு தொடர்முறைகள் | 11th Mathematics : UNIT 5 : Binomial Theorem, Sequences and Series
முடிவுறு தொடர்முறைகள் (Finite Sequences)
தொடர்முறை என்பது பட்டியலில் உள்ள உறுப்புகளை ஒரு குறிப்பிட்ட முறையில் வரிசைப்படுத்தி எழுதுவது ஆகும். எண்களின் தொடர்முறை பற்றிச் சிந்திக்கும்போது, a1, a2,… என்பது நேரிடையானது. தொடர்முறையை ஒரு சார்பாக கருத, அதன் சார்பகம் முதல் n இயல் எண்களின் கணம் அல்லது ℕ ஆக அமையும். இந்தப் பாடப்பகுதி முழுவதும் மெய்யெண்களின் தொடர்முறைகளை மட்டுமே காண்கிறோம். இவற்றைத் தொடர்முறைகள் எனக் குறிப்பிடலாம். கூட்டுத்தொடர்முறை மற்றும் பெருக்குத் தொடர் முறை என்பன முறையே கூட்டு விருத்தி (AP) மற்றும் பெருக்கு விருத்தி (GP) என அழைக்கப்படும். இந்தப் பிரிவில் முன் வகுப்புகளில் படித்த தொடர்முறை மற்றும் தொடர்களின் வரையறைகள், முடிவுகள் பற்றி நினைவில் கொள்வோம்.
· X ஏதேனும் ஒரு கணம் மற்றும் n ∈ ℕ எனில், f : {1, 2, 3, . . . , n} → X என்ற சார்பு, X-ன் மீதான ஒரு முடிவுறு தொடர் முறை எனப்படும். g : ℕ→ X என்ற சார்பு, X-ன் மீதான ஒரு முடிவுறா தொடர்முறை எனப்படும். n இல் சார்பு f -ன் மதிப்பு f(n) ஐ an எனக் குறிக்கலாம். அந்த தொடர் முறை (an) என குறிக்கப்படும்.
· X என்ற கணம் மெய் எண்களின் கணம் எனில் அந்த தொடர்முறை ஒரு எண்களின் தொடர்முறை அல்லது மெய்யெண்களின் தொடர்முறை எனப்படும்.
· எல்லா தொடர்முறையும் ஒரு சார்பாக இருந்தாலும், எல்லாச் சார்புகளும் தொடர்முறையாக இருக்க வேண்டிய அவசியமில்லை.
· கணங்களில் உறுப்புகள் மீண்டும் வராமல் இருப்பதை அறிவோம். ஆனால் ஒரு தொடர்முறையில் உறுப்புகள் மீண்டும் மீண்டும் வரலாம். குறிப்பாக,
ஒரு தொடர்முறையில் உறுப்புகள் அனைத்தும் சமமானால் அது ஒரு மாறிலித் தொடர்முறை எனப்படும்.
· ஒரு தொடர்முறை (an) -ஐ படமாகத் தெரிந்துகொள்ள {(n, an) : n ∈ ℕ} இக்கான வரைப்படத்தினை வரைதல் வேண்டும். இது தொடர்முறையைப் பற்றிய சில விவரங்களைக் கொடுக்கிறது.

1. கூட்டு மற்றும் பெருக்குத் தொடர் முறைகள் (Arithmetic and Geometric Progressions)
சில சிறப்புத் தொடர்முறைகள், தொடர்விருத்திகள் எனப்படும். இங்கு, தொடர்முறையின் உறுப்புகள் ஏறுமுகமாகவோ அல்லது இறங்குமுகமாகவோ அமையலாம்.
நாம் முன் வகுப்புகளில் படித்துள்ள கூட்டு மற்றும் பெருக்குத் தொடர்முறைகளின் வரையறைகளையும், முடிவுகளையும் நினைவு கூர்வோம்.
· a, a + d, a + 2d, a + 3d,..., a + (n - 1)d, a + nd,.... என்ற தொடர்முறை, கூட்டுவிருத்தி அல்லது கூட்டுத்தொடர்முறை (Arithmetic Progression) எனப்படும். இங்கு, முதல் உறுப்பு a தவிர, மற்ற உறுப்புகள் ஒவ்வொன்றும் அதன் முந்தைய உறுப்புடன் ஒரு மாறிலியை கூட்டக் கிடைக்கின்றன. இங்கு, மாறிலி d என்பது பொது வித்தியாசம் எனப்படும் மற்றும் a என்பது முதல் உறுப்பு எனப்படும்.
· கூட்டுத்தொடர்முறையின் n ஆவது உறுப்பு Tn = a + (n - 1)d.
·
மற்றும் 12, 9, 6, 3, என்ற தொடர்முறைகள், முறையே √3 மற்றும் -3 ஐ பொது வித்தியாசங்களாக உடைய கூட்டுத்தொடர் முறைகள் ஆகும்.
· 3, 7, 11 ஆகிய மூன்று பகா எண்கள் ஒரு கூட்டுத் தொடரை அமைக்கின்றன.
· a மற்றும் b சார்பகா எண்கள் எனில், Tn = an + b,n ∈ ℕ என்பது எண்ணற்ற பகா எண்கள் மற்றும் பகு எண்களைக் கொண்ட ஒரு கூட்டுத் தொடராக அமையும்.
· a, ar, ar2, ar3,..., arn-1, arn,... a ≠ 0, r ≠ 0, என்ற தொடர்முறை, பெருக்குவிருத்தி அல்லது பெருக்குத் தொடர்முறை (Geometric Progression) எனப்படும். இங்கு முதல் உறுப்பு a தவிர, மற்ற உறுப்புகள் முந்தைய உறுப்பினை ஒரு மாறிலியால் பெருக்க கிடைக்கின்றன. இங்கு மாறிலி r என்பது, பொது விகிதம் மற்றும் a என்பது முதல் உறுப்பு எனப்படும்.
· பெருக்குத் தொடர்முறையின் n ஆவது உறுப்பு Tn = arn -1
· 1, 2, 4, 8, 16 .... மற்றும்
என்ற தொடர்முறைகள், முறையே 2 மற்றும் √2 ஐ பொது விகிதங்களாக உடைய பெருக்குத் தொடர் முறைகளாகும்.
· பொது விகிதம் மிகை மதிப்பாக உள்ள ஒரு பெருக்குத்தொடர் முறையின், ஒவ்வொரு உறுப்பிற்கும் மடக்கை காண அது ஒரு கூட்டுத் தொடர்முறையாக மாறும். a, ar, ar2,.... r > 0 என்பது ஒரு பெருக்குத்தொடர்முறை எனில், log a, log(ar), log(ar2), ... என்பது logr ஐ பொது வித்தியாசமாகக் கொண்ட ஒரு கூட்டுத் தொடர்முறையாகும்.
c ≠ 0 எனில், c, c, c,.... என்ற மாறிலித் தொடர்முறை ஒரு கூட்டுத் தொடர்முறையாகவும் பெருக்குத் தொடர்முறையாகவும் உள்ளதை அறியலாம்.
0, 0, 0, என்ற சிறப்பு மாறிலித் தொடர்முறையை எடுத்துக்கொள்வோம். இதை ஒரு கூட்டுத் தொடர்முறையாக அறியலாம். ஆனால், அதை ஒரு பெருக்குத் தொடர்முறையாக பார்க்கும்போது முதல் உறுப்பு a என்பது 0 ஆக உள்ளது. அதன் பொது விகிதம் என்னவாக இருக்கும்? 1, 2 அல்லது வேறு ஏதேனும் ஒரு எண் பொது விகிதம் எனக் கொண்டால், நாம் அதே தொடர் முறையை 0, 0, 0, பெற முடியும். இங்கு, இந்த பெருக்குத் தொடர்முறையின் பொது விகிதம் எண்ணற்றதாக உள்ளது. இந்தக் குழப்பத்தினைத் தவிர்க்கவே கணிதவியலாளர்கள் பெருக்குத் தொடர்முறையின் வரையறையில் a ≠ 0 என எடுத்துக் கொள்கிறார்கள்.
கூட்டு மற்றும் பெருக்குத் தொடர்முறைகளின் சேர்ப்பு ஒரு புதிய தொடர் முறையை உருவாக்குகிறது. அது கூட்டு-பெருக்குத் தொடர் விருத்தி அல்லது கூட்டு-பெருக்குத் தொடர்முறை எனப்படும். கூட்டுத் தொடர் முறையை AP என்றும் பெருக்குத் தொடர் முறையை GP என்றும் குறிப்பது போல் இந்த கூட்டு பெருக்குத் தொடர் முறையை AGP என குறிப்பிடலாம். நிகழ்தகவியலில் எதிர்பார்ப்பு மதிப்பைக் கணக்கிடவும் மற்றும் பல்வேறு பயன்பாடுகளிலும் AGP-ன் தேவை உணரப்படுகிறது.
வரையறை 5.1:
a,(a+d)r,(a + 2d)r2,(a + 3d)r3....(a +(n-1)d)rn-1,(a + nd)rn,.... என்ற தொடர்முறை கூட்டு-பெருக்குத் தொடர் விருத்தி அல்லது கூட்டு-பெருக்குத் தொடர்முறை (Arithmetico-Geometric Progression) எனப்படும்.
AP:a,a + d, a + 2d, ... மற்றும் GP:1,r,r2,.... எனில், a,(a+d)r,(a + 2d)r2, ... என்ப து AGP ஆகும். இந்த AGP-ன் முதல் உறுப்பு a, பொது வித்தியாசம் d மற்றும் பொது விகிதம் r. இங்கு, r = 1 எனில், AGP, AP ஆகவும் d = 0 எனில், AGP, GP ஆகவும் மாறும். எனவே, கூட்டுத்தொடர் முறை மற்றும் பெருக்குத் தொடர்முறைகள் என்பன கூட்டு பெருக்குத் தொடரின் சில குறிப்பிட்ட நிலைகள் ஆகும். இது கணிதத்தில் பொதுமைப்படுத்துதல் கோட்பாட்டின் நிலை எனலாம். AGP-ன் n ஆவது உறுப்பு Tn = (a +(n - 1)d)rn-1. எல்லா கூட்டுத்தொடர் மற்றும் பெருக்குத் தொடர்களை கூட்டுப்பெருக்குத்தொடர் எனவும் கூறலாம். எடுத்துக்காட்டாக, AP ஐ 0, 1, 2, 3, 4, எனவும், GP ஐ 1, 1/2, 1/4, 1/8,.... எனவும் எடுத்துக்கொண்டால், AGP ஐ 0/1, 1/2, 2/4, 3/8,... எனவும் எழுதலாம்.
4, 14, 40, 104, 256, 608 … என்ற தொடர்முறை ஒரு கூட்டு பெருக்குத் தொடர்முறைக்கான எடுத்துக்காட்டாகும். இந்த தொடர்முறையில் a=4, d=3 மற்றும் r=2.
முக்கியமான தொடர்முறைகளில் ஒன்று இசைத்தொடர் விருத்தி அல்லது இசைத்தொடர் முறை ஆகும். இது கூட்டுத்தொடர் முறையோடு நெருங்கிய தொடர்புடையது. இசைத் தொடர் முறை பல இடங்களில் பயன்படுத்தப்படுகிறது.
வரையறை 5.2:
h1, h2, h3, ... என்ற தொடர்முறை ஒரு இசைத்தொடர்முறையாக (Harmonic Progression)
என்பது ஒரு கூட்டுத்தொடர்முறையாக இருக்க வேண்டும்.
ஒரு தொடர்முறை இசைத்தொடர்முறையாக இருக்க வேண்டுமானால் அதன் உறுப்புகளின் தலைகீழிகள் ஒரு கூட்டுத்தொடர் முறையாக இருக்கவேண்டும் என நினைவில் கொள்ளலாம். ஆனால், இசைத் தொடர்முறையினை கூட்டுத் தொடர்முறையின் தலைகீழிகள் என கூற முடியாது. ஏனெனில் கூட்டுத்தொடர்முறையில் பூஜ்ஜியம் ஒரு உறுப்பாக இருந்தால், அதன் தலைகீழி அர்த்தமுள்ளதாக இருக்காது. ஒரு கூட்டுத்தொடர்முறையில் பூஜ்ஜியம் ஒரு உறுப்பாக இல்லையெனில், அதன் தலைகீழிகள் ஒரு இசைத்தொடர்முறையாகும்.
எனவே,
என்பது இசைத் தொடர்முறையின் பொதுவடிவம் ஆகும். ஒரு பின்னத்தின் பகுதி பூஜ்ஜியமாக இருக்க முடியாது. அதாவது, a + kd ≠ 0; k ஒரு குறையற்ற முழுஎண் எனவே, -a/d ஒரு முழு எண் இல்லை என்ற விதி அவசியம். இசைத்தொடர்முறையின் கணக்குகளை கூட்டுத்தொடர்முறைகளாக மாற்றி கூட்டுத் தொடர்முறை மூலம் தீர்வு காணலாம்.
குறிப்பு:
(i) தொடர்முறை
என்பது ஒரு இசைத் தொடர்முறை. நாம்,
வரைபடம் வரைந்து இசைத்தொடர் முறை (1/n) ஐ காட்சியாக காணலாம்.
(ii) a, b, c என்பன HP எனில்,
ஆகும்.
(iii) ஒரு முக்கோணத்தின் குத்துக்கோடுகள் AP இல் இருக்குமானால் அவற்றின் பக்கங்கள் HP இல் இருக்கும்.
எடுத்துக்காட்டு 5.12 a, b, c ஆகியவை இசைத் தொடராக இருந்தால், a/c = a-b/b-c எனவும், இதன் மறுதலையும் உண்மை என நிறுவுக.
தீர்வு:
a, b, c என்பன HP இல் இருந்தால் 1/a, 1/b, 1/c என்பன AP இல் இருக்கும்.
எனவே, 2/b = 1/a + 1/c. இதிலிருந்து கிடைப்பது, ab - ac = ac - bc.
எனவே, a(b-c) = c(a - b). இதிலிருந்து கிடைப்பது a/c = a-b/b-c
மறுதலையாக, a/c = a-b/b-c எனில், a(b-c) = c(a - b)
இருபுறமும் abc ஆல் வகுக்க 1/c – 1/b = 1/b – 1/a.
எனவே, 1/a, 1/b, 1/c என்பன ஒரு கூட்டுத் தொடர் முறையாகிறது. இதனால் a, b, c ஒரு இசைத் தொடர் முறையாகும்.
எடுத்துக்காட்டு 5.13 ஒரு இசைத் தொடர் முறையின் ஐந்தாவது மற்றும் ஒன்பதாவது உறுப்புகள் முறையே 1/19 மற்றும் 1/35 எனில், அந்த தொடர்முறையின் பன்னிரண்டாவது உறுப்பினைக் காண்க.
தீர்வு:
(hn) ஒரு இசைத்தொடர்முறை என்க மற்றும் an = 1/hn என்க.
(an) என்பது கூட்டுத்தொடர்முறை என்பதால் a5 = 19 மற்றும் a9 = 35
a + 4d =19, a + 8d = 35 எனக் கிடைக்கும். இவற்றைத் தீர்க்க, a = 3 மற்றும் d = 4 எனக் கிடைக்கும். எனவே, கூட்டுத்தொடர்முறையின் 12 ஆவது உறுப்பு a12 = a + 11d = 47. இதனால் இசைத் தொடர் முறையின் 12 வது உறுப்பு 1/47 ஆகும்.
மாறிலித் தொடர்முறைகள் பற்றி நாம் என்ன கூறலாம்?
பூஜ்ஜியத் தொடர்முறை தவிர மற்ற எல்லா மாறிலித் தொடர்முறையும் இசைத்தொடர்முறை ஆகும்.
சராசரியைப் பற்றி நாம் அறிவோம். சராசரியில் பலவகை உள்ளது. கூட்டுச் சராசரி, பெருக்குச் சராசரி மற்றும் இசைச்சராசரி என்பன சில சராசரிகள் ஆகும். உறுப்புகள் கூட்டுத் தொடர்முறை அல்லது பெருக்குத் தொடர் முறையில் இல்லாமல் இருந்தாலும் கூட்டுச்சராசரி மற்றும் பெருக்குச் சராசரிகளின் வரையறைகளை காண்போம்.
கூட்டுச்சராசரி மற்றும் பெருக்குச் சராசரி
வரையறை 5.3:
n ஒரு மிகை முழு எண் என்க. a1, a2, a3,.... an என்பன n எண்கள் என்க. இப்போது, a1, a2, a3,.... an என்ற எண்களின் கூட்டுச்சராசரி (Arithmetic Mean)
ஆகும்.
a1, a2, a3,.... an என்ற எண்கள் வெவ்வேறாகவோ அல்லது மிகை எண்களாகவோ இருக்க வேண்டிய அவசியமில்லை. 14, 14, 17, 20, 15 என்ற எண்களின் சராசரி 16 என வரையறையிலிருந்து எளிதில் அறியலாம். கூட்டு சராசரியில், கூட்டல் மற்றும் n ஆல் வகுத்தலுக்குப் பதிலாக, பெருக்கல் மற்றும் n ஆம் படி மூலம் என எடுத்துக்கொண்டால் நமக்கு பெருக்குச் சராசரி கிடைக்கும்.
வரையறை 5.4:
n ஒரு குறையற்ற எண் என்க. a1, a2, a3,.... an என்பன n குறையற்ற எண்கள் எனில்,
என்பது a1, a2, a3,.... an என்ற எண்களின் பெருக்குச்சராசரி (Geometric Mean) எனப்படும்.
இங்கு, a1, a2, a3,.... an ஆகிய எண்கள் வேறுபட்டவையாக இருக்கவேண்டிய அவசியமில்லை. ஆனால், அவை குறையற்ற எண்களாக இருக்க வேண்டியது அவசியம். 4, 6, 9 என்ற எண்களின் பெருக்குச்சராசரி
ஆகும். 4, 6, 9 என்ற எண்களின் கூட்டுச்சராசரி
ஆகும். கூட்டுச் சராசரி பெருக்குச் சராசரியைவிட அதிகமாக உள்ளதைக் காணலாம். இது எப்போதும் மெய்யாக இருக்குமா?
குறையற்ற n எண்களுக்கான கூட்டுச்சராசரி, பெருக்குச் சராசரியைவிட அதிகமாக அல்லது சமமாக இருக்கும் என நிரூபிக்கலாம். அதாவது, AM என்பது கூட்டு சராசரியையும், GM என்பது பெருக்குச் சராசரியையும் குறித்தால், AM ≥ GM எனலாம்.
நாம் இப்பொழுது, AM ≥ GM என்ற சமனிலியை இரு குறையற்ற எண்களுக்கு நிறுவலாம்.
தேற்றம் 5.2
இரு குறையற்ற எண்களுக்கான கூட்டுச்சராசரி மற்றும் பெருக்குச் சராசரி முறையே AM மற்றும் GM என குறிக்கப்படுமானால், AM ≥ GM. அந்த இரு எண்களும் சமமாக இருக்கும்போது AM = GM ஆக இருக்கும். அதன் மறுதலையும் உண்மையாகும்.
நிரூபணம் a மற்றும் b என்பன ஏதேனும் இரு குறையற்ற எண்கள் என்க. இப்போது
ஆகும்.
(a + b)2 - 4ab = (a – b)2 ≥ 0. அதனால், (a + b)2 - 4ab ≥ 0.
இதிலிருந்து, 
அதாவது AM ≥ GM. மேலும்,
எனவே AM = GM ஆக இருக்கும்.
AM ≥ GM -க்கான வடிவ கணித விளக்கம்
a மற்றும் b என்பன ஏதேனும் இரு குறையற்ற மெய்யெண்கள் என்க. இவற்றில் ஏதேனும் ஒன்று பூஜ்ஜியமாக இருந்தால் GM பூஜ்ஜியமாகும். எனவே, நிரூபிக்க ஏதுமில்லை. நாம் a > 0 மற்றும் b > 0 என கொள்வோம். a + b நீளம் கொண்ட AB என்ற ஒரு நேர்க்கோட்டுத்துண்டு வரைந்து, AB ஐ விட்டமாகக் கொண்ட ஒரு அரைவட்டம் வரைக. M என்பது AB -ன் நடுப்புள்ளி என்க. எனவே, அரைவட்டத்தின் மையம் M ஆகும். M என்பது AB -ன் நடுப்புள்ளி என்பதால்,
எனவே, வட்டத்தின் ஆரம்
ஆகும்.
AD = a, DB = b எனுமாறு D என்ற புள்ளியை AB-ன் மீது எடுத்துக்கொள்க.

D வழியாக AB -க்கு செங்குத்து கோடு வரைக. அது அரை வட்டத்தை C என்ற புள்ளியில் சந்திக்கும் என்க. CA, CB மற்றும் CM என்ற கோடுகளை வரைக. M ஆனது அரைவட்டத்தின் மையம் என்பதால்
என்பது தெளிவாகும். ΔACD மற்றும் ΔCBD என்பன ஒத்த முக்கோணங்கள் என்பதால்,
எனவே, CD2 = AD × BD = ab
மேலும், CD = √ab (பிதாகரஸ் தேற்றத்தைப் பயன்படுத்தியும் CD = √ab என நிறுவலாம்.) ஒரு அரை நாணின் நீளம் எப்போதும் ஆரத்தைவிட குறைவாக அல்லது சமமாக இருக்கும் என்பதால், CD ≤ CM அல்லது
அதாவது, AM ≥ GM.
D ஆனது M-ல் அமையும் போது அரைநாண் DC ஆனது ஆரத்திற்கு சமமாக மாறும். அதன் மறுதலையும் உண்மையாகும். அதாவது, AM=GM எனில், a = b மற்றும் a = b எனில் AM =GM ஆகும்.
முடிவு 5.1 : a1, a2, a3, ..., an என்பன கூட்டுத்தொடர்முறையில் இருக்குமானால், ak (k > 1) என்ற ஒவ்வொரு உறுப்பும் அதன் முன்னியான ak-1 மற்றும் அதன் தொடரியான ak+1 இவற்றிற்கான கூட்டுச்சராசரியாக இருக்கும்.
நிரூபணம் a1, a2, a3, ..., an என்பது முதல் உறுப்பு a மற்றும் பொது வித்தியாசம் d கொண்ட கூட்டுத்தொடர் முறையின் உறுப்புகள் என்க.

அதாவது, ak-1 மற்றும் ak+1 ஆகியவற்றின் கூட்டுச்சராசரி ak ஆகும்.
முடிவு 5.2 : a1, a2, a3, ..., an என்பது ஒரு பெருக்குத் தொடர்முறை எனில், அதில் உள்ள ஒவ்வொரு உறுப்பு ak (k > 1), அதற்கு முன்னர் உள்ள முன்னியான ak-1 மற்றும் அதற்குப் பின்னர் உள்ள தொடரியான ak+1 ஆகியவற்றின் பெருக்குச் சராசரியாக இருக்கும்.
நிரூபணம் a1, a2, a3, ..., an என்பது முதல் உறுப்பு a மற்றும் பொது விகிதம் r உள்ள பெருக்குத் தொடர்முறை என்க.
அதாவது, ak-1 மற்றும் ak+1 ஆகியவைகளின் பெருக்குச்சராசரி ak ஆகும்.
எடுத்துக்காட்டு 5.14 4, A1, A2, ..., A7, 7 என்ற தொடர்முறை கூட்டுத் தொடர்முறையாக இருக்குமாறு, A1, A2, ..., A7 என்ற ஏழு எண்களைக் காண்க. மேலும், 12, G1, G2, G3, G4, 3/8 என்ற தொடர்முறை பெருக்குத் தொடர்முறையாக இருக்குமாறு, G1, G2, G3, G4 என்ற நான்கு எண்களையும் காண்க.
தீர்வு:
a = 4 மற்றும் 4 + 8d = 7. இதிலிருந்து, d = 3/8 எனக் கிடைக்கும். எனவே தேவையான 7 எண்கள்
ஆகும்.
மேலும், a = 12 மற்றும் ar5 = 3/8 என்பதால்
எனவே, தேவையான 4 எண்கள்
ஆகும்.
எடுத்துக்காட்டு 5.15 ஒரு பெருக்குத் தொடர்முறையின் 4 ஆவது, 5 ஆவது, 6 ஆவது உறுப்புகளின் பெருக்கல் 4096 மற்றும் 5 ஆவது, 6 ஆவது, 7 ஆவது உறுப்புகளின் பெருக்கல் 32768 எனில் அந்த பெருக்குத் தொடர்முறையின் முதல் 8 உறுப்புகளின் கூடுதல் காண்க.
தீர்வு:
கொடுக்கப்பட்ட பண்புகள் உடைய பெருக்குத்தொடர்முறை a, ar, ar2,... என்க.
4 ஆவது, 5 ஆவது, 6 ஆவது உறுப்புகள் முறையே, ar3, ar4 மற்றும் ar5 ஆகும்.
இவற்றின் பெருக்கற்பலன், a3r12 = 4096. இது போன்று, a3r15 = 32768. எனவே, 
அதாவது, r3 = 8 ⇒ r = 2,
a3r12 = 4096, இதில் r = 2 எனப் பிரதியிட, a3 = 1 ⇒ a = 1.
முதல் 8 உறுப்புகளின் கூடுதல்
ஆகும்.
கொடுக்கப்பட்ட மிகை எண்களின் இசைச்சராசரி என்பது அந்த எண்களின் தலைகீழிகளின் கூட்டுச்சராசரியின் தலைகீழியாகும். அதாவது, h1, h2, ..., hn என்பன கொடுக்கப்பட்ட மிகை எண்கள் எனில், அவற்றின் தலைகீழிகள்
எனவே, இத்தலைகீழிகளின் கூட்டுச்சராசரி
ஆகும். இந்த கூட்டுச் சராசரியின் தலைகீழி
h1, h2, ..., hn என்ற எண்களின் இசைச் சராசரி எனப்படும்.
வரையறை 5.5
{h1, h2, ..., hn} என்ற கணத்தில் உள்ள மிகை எண்களின் இசைச்சராசரி
என வரையறுக்கப்படுகிறது.
குறிப்பாக, a மற்றும் b என்ற இரு மிகை எண்களின் இசைச்சராசரி 
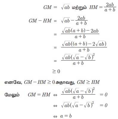
"n மிகை எண்கள் கொண்ட எந்வொரு கணத்திற்கும், பெருக்குச்சராசரி இசைச் சராசரியைவிட அதிகமாகவோ அல்லது சமமாகவோ இருக்கும்" என்பதை நிறுவலாம். அதாவது, GM ≥ HM இரு குறையற்ற எண்களுக்கு, GM ≥ HM என்ற சமனிலியை நிரூபிக்கலாம்.
தேற்றம் 5.3
இரு மிகை எண்களின் பெருக்குச் சராசரி மற்றும் இசைச்சராசரி முறையே GM மற்றும் HM என குறிக்கப்படுமாயின், GM ≥ HM என இருக்கும். அந்த இரு எண்களும் சமம் எனில் GM = HM ஆக இருக்கும் இதன் மறுதலையும் உண்மையாகும்.
நிரூபணம் a மற்றும் b என்பன இரு மிகை எண்கள் என்க.

தேற்றம் 5.2 இல் AM ≥ GM என நிரூபித்துள்ளோம். மேலும், தற்போது GM ≥ HM என நிரூபித்துள்ளோம். இரண்டையும் இணைத்து AM ≥ GM ≥ HM என எழுதலாம்.
முடிவு 5.3 : ஏதேனும் இரு மிகை எண்களுக்கான சராசரிகள் AM, GM மற்றும் HM ஆகிய மூன்றும் ஒரு பெருக்குத் தொடர்முறையாக இருக்கும்.
நிரூபணம் a மற்றும் b என்பன இரு மிகை மெய்யெண்கள் என்க.

அதாவது, AM × HM = GM2. எனவே, AM, GM மற்றும் HM என்பன ஒரு பெருக்குத் தொடர் முறையாகும்.
பின்வரும் முக்கிய முடிவுகளைக் காணலாம்.
• b என்பது a மற்றும் c-ன் கூட்டுச் சராசரி எனில், a,b,c ஒரு கூட்டுத் தொடர் முறையாகும்
• b என்பது a மற்றும் c-ன் பெருக்குச்சராசரி எனில், a,b,c ஒரு பெருக்குத் தொடர்முறையாகும்.
• b என்பது a மற்றும் c-ன் இசைச்சராசரி எனில், a,b,c ஒரு இசைத் தொடர் முறையாகும்.
ஒரு வாகனம் மணிக்கு x கிமீ வேகத்தில் ஒரு குறிப்பிட்ட தூரம் பயணம் செய்து விட்டு திரும்பி மணிக்கு y கிமீ வேகத்தில் புறப்பட்ட இடத்தை வந்தடைந்தால், அந்த வாகனத்தின் முழு பயணத்தின் சராசரி வேகம் இரு வேகங்களின் இசைச்சராசரியாக இருக்கும். உண்மையில் தூரம் d எனில், ஒருபுறம் செல்வதற்கான நேரம் d/x மற்றும் மறுபுறம் வருவதற்கான நேரம் d/y ஆகும்.
எனவே, சராசரி வேகம், 
எடுத்துக்காட்டாக, மணிக்கு 60 கிமீ வேகத்தில் ஒரு குறிப்பிட்ட இடத்தினை அடைந்து பின்னர் மணிக்கு 40 கிமீ வேகத்தில் திரும்ப வந்தடைந்தால், அந்த வாகனத்தின் மொத்த பயணத்துக்கான சராசரி வேகம் 60 மற்றும் 40-ன் இசைச்சராசரி ஆகும். அதாவது,
கிமீ/மணி வேகம் ஆகும்.
தொடர்முறைகளின் n ஆவது உறுப்பு கொடுக்கப்பட்டுள்ளது. அவற்றின் முதல் 6 உறுப்புகளைக் காண்க. மேலும், அந்த தொடர் முறைகள், கூட்டுத்தொடர்முறை, பெருக்குத்தொடர்முறை, இசைத்தொடர்முறை, கூட்டு - பெருக்குத் தொடர்முறை மற்றும் இவற்றில் எதுவுமில்லை என வகைப்படுத்துக.

2. n - ஆவது உறுப்பு an ஐக் கொண்ட பின்வரும் தொடர்முறைகளின் முதல் 6 உறுப்புகளைக் காண்க.

3. பின்வரும் தொடர்முறைகளின் n -ஆவது உறுப்பு காண்க.

4. ஏறு வரிசையில் பெருக்குத்தொடர் முறையில் உள்ள மூன்று உறுப்புகளின் பெருக்கல் 5832. இரண்டாவது எண்ணுடன் 6 ஐயும் மூன்றாவது எண்ணுடன் 9 ஐயும் கூட்டக் கிடைக்கும் எண்கள் ஒரு கூட்டுத் தொடர்முறையாக இருக்கும் எனில், பெருக்குத் தொடர் முறையின் அந்த மூன்று எண்களைக் காண்க.
5.
என்ற தொடரின் n ஆவது உறுப்பினை இரு உறுப்புகளின் வித்தியாசமாக எழுதுக.
6. ஒரு பெருக்குத் தொடர்முறையின் k ஆவது உறுப்பு tk எனில், k -ன் எல்லா மிகை முழு எண்ணுக்கும் tn-k, tn, tn+k என்பனவும் ஒரு பெருக்குத் தொடர் முறை என நிறுவுக.
7. a,b,c என்பன ஒரு பெருக்குத் தொடர்முறையாக இருந்து
எனவும் இருக்குமானால், x, y, z என்பன ஒரு கூட்டுத் தொடர் முறையாகும் என நிறுவுக.
8. இரு எண்களின் கூட்டுச் சராசரியானது, பெருக்குச் சராசரியை விட 10 அதிகமாகவும், இசைச் சராசரியை விட 16 அதிகமாகவும் இருக்குமானால் அந்த இரு எண்களைக் காண்க.
9. (q-r)x2 + (r-p)x + p - q = 0 என்ற சமன்பாட்டின் மூலங்கள் சமமானவை எனில் p, q, r என்பன ஒரு கூட்டுத் தொடர் முறையாக இருக்கும் என நிறுவுக.
10. ஒரு பெருக்குத் தொடரின் p, q மற்றும் r ஆவது, உறுப்புகள் முறையே a, b மற்றும் c எனில், (q-r)loga + (r-p) log b + (p-q) log c = 0 என நிறுவுக.