புத்தக கணக்குகளுக்கான பதில்கள், தீர்வுகள் | கணக்கு - பயிற்சி 9.5: தொடர்ச்சியான சார்புகளின் இயற்கணிதம் (Algebra of continuous functions), நீக்கக் கூடிய மற்றும் துள்ளல் தொடர்ச்சியற்ற தன்மை (Removable and Jump discontinuities) | 11th Mathematics : UNIT 9 : Differential Calculus Limits and Continuity
பயிற்சி 9.5
(1) f(x) = 2x2 + 3x – 5 ℝ −ன் எல்லா புள்ளிகளிலும் தொடர்ச்சியானது என நிறுவுக.

(2) பின்வருவனவற்றின் தொடர்ச்சித் தன்மையை ஆராய்க :
(i) x + sin x
(ii) x2 cos x
(iii) ex tan x
(iv) e2x + x2
(v) x . In x
(vi) sin x / x2
(vii) (x2 −16)/( x + 4)
(viii) | x + 2 | + | x − 1 |
(ix) | x − 2 |/| x + 1|
(x) cot x + tan x

(3) பின்வரும் சார்புகளுக்குத் தொடர்ச்சித் தன்மையைக் கொடுக்காத புள்ளிகளைக் காண்க.




(4) கொடுக்கப்பட்ட சார்புக்குக் கொடுக்கப்பட்ட புள்ளி x0 −இல் தொடர்ச்சியானதா அல்லது தொடர்ச்சியற்றதா எனக் காரணத்துடன் கூறுக.


(5)
என்ற சார்பு (– ∞, ∞)−இல் தொடர்ச்சியானது எனக்காட்டுக.

(6)
என வரையறுக்கப்பட்ட சார்பில் x = 1−இல் சார்பு தொடர்ச்சியானது எனில், α−ன் மதிப்பு காண்க.

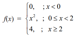
(7)
என்ற சார்பின் வளைவரையை வரைக. இச்சார்பு சார்பு (– ∞, ∞)−ல் தொடர்ச்சியானது என நிறுவுக.

(8) f மற்றும் g தொடர்ச்சியான சார்புகள் மேலும் f(3) = 5 மற்றும்
எனில் g(3)−ஐக் காண்க.

(9) சார்பு தொடர்ச்சியற்றதாக உள்ள புள்ளிகளைக் காண்க. இந்தப் புள்ளிகளில் எந்தப் புள்ளிகளுக்கு f−க்கு வலப்பக்கத் தொடர்ச்சி, இடப்பக்கத் தொடர்ச்சி மற்றும் எதுவுமில்லை என உள்ளதைக் காண்க. f−ன் வளைவரையை வரைக.



(10) f பின்வருமாறு வரையறுக்கப்பட்டுள்ளது :

இந்தச் சார்பு தொடர்ச்சியானதா?

(11) பின்வரும் சார்புகளில் எவற்றுக்கு x = x0 −ல் நீக்கக்கூடிய தொடர்ச்சியற்ற தன்மை உள்ளது எனக் காண்க? தொடர்ச்சியற்ற தன்மை இருக்குமானால், f −ன் x ≠ x0 −க்கு ஏற்றவாறு ℝ −இல் தொடர்ச்சியாக இருக்குமாறு g என்ற சார்பைக் காண்க.
(i) f(x) = (x2 − 2x − 8)/(x+2), x0 = −2.
(ii) f(x) = (x3 + 64)/(x + 4), x0 = −4.
(iii) f(x) = (3 − √x)/( 9 − x), x0 = 9.


(12)
என்ற சார்பு (– ∞, ∞)-ல் தொடர்ச்சியானது எனில் மாறிலி b −ஐக் காண்க.

(13) f(x) = x sin π/x என்க. f(0)−ன் எந்த மதிப்புக்கு f எல்லா இடங்களிலும் தொடர்ச்சியானதாக இருக்கும்?

(14)
என்ற சார்பு x = 1−ல் வரையறுக்கப்படவில்லை. f(1)−ன் எந்த மதிப்பிற்கு x = 1−ல் f தொடர்ச்சியானதாக இருக்கும் ?

(15) பின்வரும் வளைவரைகளுக்கு x = x0 −ல் எவ்வாறு தொடர்ச்சியற்று உள்ளது எனக்கூறுக?

