புத்தக கணக்குகளுக்கான பதில்கள், தீர்வுகள் | கணக்கு - பயிற்சி 9.4: மற்ற முக்கிய எல்லைகள் (Some important other limits) | 11th Mathematics : UNIT 9 : Differential Calculus Limits and Continuity
Posted On : 08.02.2024 10:30 pm
11 வது கணக்கு : அலகு 9 : வகை நுண்கணிதம் எல்லைகள் மற்றும் தொடர்ச்சித் தன்மை DIFFERENTIAL CALCULUS LIMITS AND CONTINUITY
பயிற்சி 9.4: மற்ற முக்கிய எல்லைகள் (Some important other limits)
11 வது கணக்கு : அலகு 9 : வகை நுண்கணிதம் எல்லைகள் மற்றும் தொடர்ச்சித் தன்மை DIFFERENTIAL CALCULUS LIMITS AND CONTINUITY : பயிற்சி 9.4: மற்ற முக்கிய எல்லைகள் (Some important other limits) : பல்வேறு வினாக்களுக்கான பதில்கள் மற்றும் தீர்வுகள்
பயிற்சி 9.4
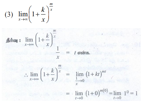
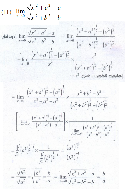
பின்வருவனவற்றின் மதிப்பைக் காண்க.


Tags : Problem Questions with Answer, Solution | Mathematics புத்தக கணக்குகளுக்கான பதில்கள், தீர்வுகள் | கணக்கு.
11th Mathematics : UNIT 9 : Differential Calculus Limits and Continuity : Exercise 9.4: Some important limits Problem Questions with Answer, Solution | Mathematics in Tamil : 11th Standard
Tamil Medium School Samacheer Book Back Questions and answers, Important Question with Answer.
11 வது கணக்கு : அலகு 9 : வகை நுண்கணிதம் எல்லைகள் மற்றும் தொடர்ச்சித் தன்மை DIFFERENTIAL CALCULUS LIMITS AND CONTINUITY : பயிற்சி 9.4: மற்ற முக்கிய எல்லைகள் (Some important other limits) - புத்தக கணக்குகளுக்கான பதில்கள், தீர்வுகள் | கணக்கு : 11 ஆம் வகுப்பு
புத்தகம் கேள்விகள் மற்றும் பதில்கள்.