கேள்விகளுக்கான பதில்கள், தீர்வுகள் - பயிற்சி 9.3 : தொகை நுண்கணித அடிப்படைத் தேற்றங்கள் மற்றும் அவற்றின் பயன்பாடுகள் (Fundamental Theorems of Integral Calculus and their Applications) | 12th Maths : UNIT 9 : Applications of Integration
Posted On : 18.09.2022 08:44 pm
12 ஆம் வகுப்பு கணிதம் : அத்தியாயம் 9 : தொகை நுண்கணிதத்தின் பயன்பாடுகள்
பயிற்சி 9.3 : தொகை நுண்கணித அடிப்படைத் தேற்றங்கள் மற்றும் அவற்றின் பயன்பாடுகள் (Fundamental Theorems of Integral Calculus and their Applications)
கணக்கு புத்தக பயிற்சி வினாக்கள் மற்றும் தீர்வுகள் - கணிதவியல் : தொகை நுண்கணிதத்தின் பயன்பாடுகள் : தொகை நுண்கணித அடிப்படைத் தேற்றங்கள் மற்றும் அவற்றின் பயன்பாடுகள் (Fundamental Theorems of Integral Calculus and their Applications) : சோதனை வினாக்களுக்கான கேள்வி பதில், தீர்வுகள்
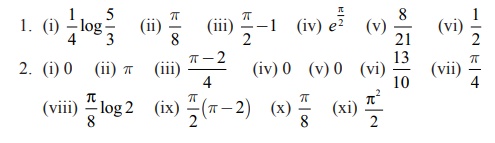
பயிற்சி 9.3
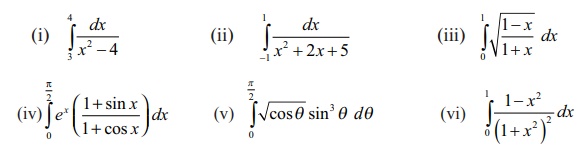
1. பின்வரும் வரையறுத்த தொகையிடலின் மதிப்பு காண்க:



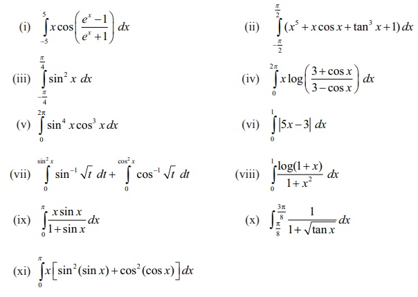
2. பின்வரும் வரையறுத்த தொகையிடல்களை, தொகையிடலின் பண்புகளைப் பயன்படுத்தி மதிப்பு காண்க:




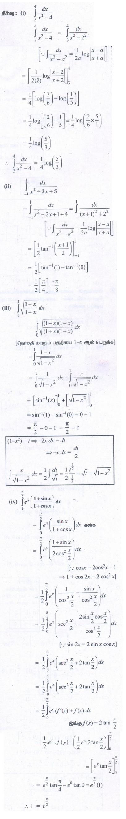
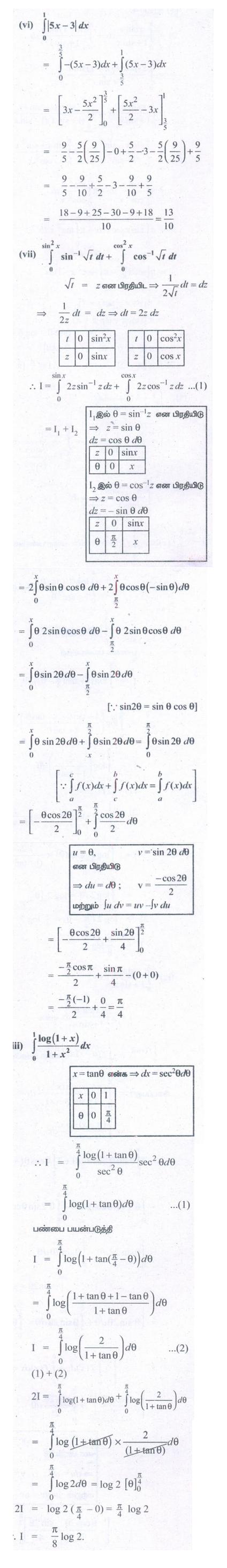
விடைகள் :

Tags : Problem Questions with Answer, Solution கேள்விகளுக்கான பதில்கள், தீர்வுகள்.
12th Maths : UNIT 9 : Applications of Integration : Exercise 9.3: Fundamental Theorems of Integral Calculus and their Applications Problem Questions with Answer, Solution in Tamil : 12th Standard
Tamil Medium School Samacheer Book Back Questions and answers, Important Question with Answer.
12 ஆம் வகுப்பு கணிதம் : அத்தியாயம் 9 : தொகை நுண்கணிதத்தின் பயன்பாடுகள் : பயிற்சி 9.3 : தொகை நுண்கணித அடிப்படைத் தேற்றங்கள் மற்றும் அவற்றின் பயன்பாடுகள் (Fundamental Theorems of Integral Calculus and their Applications) - கேள்விகளுக்கான பதில்கள், தீர்வுகள் : 12 ஆம் வகுப்பு
புத்தகம் கேள்விகள் மற்றும் பதில்கள்.