கேள்விகளுக்கான பதில்கள், தீர்வுகள் - பயிற்சி 9.2 : மதிப்பிட எல்லை சூத்திரம் | 12th Maths : UNIT 9 : Applications of Integration
Posted On : 18.09.2022 08:44 pm
12 ஆம் வகுப்பு கணிதம் : அத்தியாயம் 9 : தொகை நுண்கணிதத்தின் பயன்பாடுகள்
பயிற்சி 9.2 : மதிப்பிட எல்லை சூத்திரம்
கணக்கு புத்தக பயிற்சி வினாக்கள் மற்றும் தீர்வுகள் - கணிதவியல் : தொகை நுண்கணிதத்தின் பயன்பாடுகள் : மதிப்பிட எல்லை சூத்திரம் : சோதனை வினாக்களுக்கான கேள்வி பதில், தீர்வுகள்
பயிற்சி 9.2
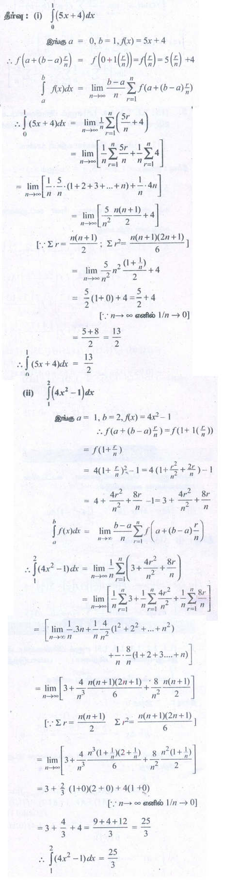
1. கீழ்க்காணும் தொகையீடுகளை கூட்டலின் எல்லைகளாக கணக்கிடுக:
(i) 1∫0(5x+4)dx
(ii) 2∫1(4x2 -1)dx

விடைகள் :
(i) 13/2
(ii) 25/3
Tags : Problem Questions with Answer, Solution கேள்விகளுக்கான பதில்கள், தீர்வுகள்.
12th Maths : UNIT 9 : Applications of Integration : Exercise 9.2: Limit Formula to Evaluate Definite Integral as the Limit of a Sum Problem Questions with Answer, Solution in Tamil : 12th Standard
Tamil Medium School Samacheer Book Back Questions and answers, Important Question with Answer.
12 ஆம் வகுப்பு கணிதம் : அத்தியாயம் 9 : தொகை நுண்கணிதத்தின் பயன்பாடுகள் : பயிற்சி 9.2 : மதிப்பிட எல்லை சூத்திரம் - கேள்விகளுக்கான பதில்கள், தீர்வுகள் : 12 ஆம் வகுப்பு
புத்தகம் கேள்விகள் மற்றும் பதில்கள்.