தொகை நுண்கணிதத்தின் பயன்பாடுகள் | கணிதவியல் - பயிற்சி 9.10 : ஏற்புடைய விடையினைத் தேர்ந்தெடுக்கவும் | 12th Maths : UNIT 9 : Applications of Integration
பயிற்சி 9.10
கொடுக்கப்பட்ட நான்கு மாற்று விடைகளிலிருந்து சரியான அல்லது மிகவும் ஏற்புடைய விடையினைத் தேர்ந்தெடுக்கவும் :
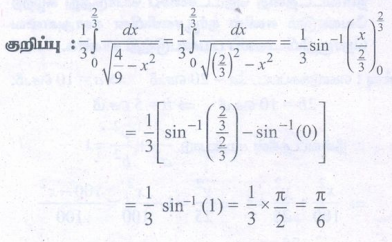
1. f
இன் மதிப்பு
(1) π/6
(2) π/2
(3) π/4
(4) π
விடை : (1) π/6

2.
இன் மதிப்பு
(1)1/2
(2) 3/2
(3) 5/2
(4) 7/2
விடை : (3) 5/2

3. ஒவ்வொரு n ∈ ℤ-க்கும் π∫0 ecos2 x cos3 [ (2n +1)x] இன் மதிப்பு
(1)π/2
(2) π
(3) 0
(4) 2
விடை : (3) 0

4.
sin2x cos x dx இன் மதிப்பு
(1)3/2
(2) 1/2
(3) 0
(4) 2/3
விடை : (4) 2/3

5.
இன் மதிப்பு
(1)π
(2)2π
(3)3π
(4)4π
விடை : (4)4π

6.
இன் மதிப்பு
(1) 4
(2) 3
(3) 2
(4) 0
விடை : (3) 2

7.
எனில் " =df/dx
(1) cos x - xsinx
(2) sin x + x COS x
(3) x COS x
(4) xsin x
விடை : (3) x COS x

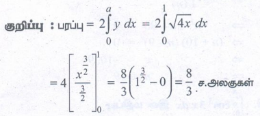
8. y = 4x என்ற பரவளையத்திற்கும் அதன் செவ்வகலத்திற்கும் இடையே பரப்பானது
(1)2/3
(2) 4/3
(3)8/3
(4)5/3
விடை : (3) 8/3

9.
இன் மதிப்பு
(1) 1/11000
(2)1/10100
(3)1/10010
(4)1/10001
விடை : (2)1/10100

10.
இன் மதிப்பு
(1) π/2
(2)π
(3)3π/2
(4)2π
விடை : (1) π/2
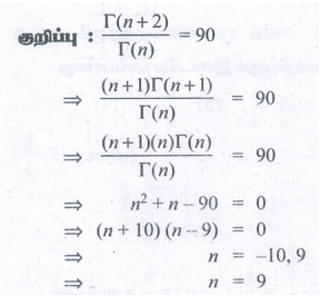
11. If
= 90 இன் மதிப்பு
(1) 10
(2) 5
(3) 8
(4) 9
விடை : (4) 9

12. π/6∫0 cos33x dx இன் மதிப்பு
(1) 2/3
(2) 2/9
(3) 1/9
(4) 1/3
விடை : (2) 2/9

13. π∫0 sin4x dx இன் மதிப்பு
(1) 3 π/10
(2) 3 π/8
(3) 3 π/4
(4) 3 π/2
விடை : (2) 3 π/8

14. ∞∫0 e−3x x2dx இன் மதிப்பு
(1)7/27
(2) 5/27
(3) 4/27
(4) 2/27
விடை : (4) 2/27

15.
எனில் a இன் மதிப்பு
(1) 4
(2) 1
(3) 3
(4) 2
விடை : (4) 2

16. y2 = x(a-x) என்ற வளைவரையில் அடைபடும் அரங்கத்தின் பரப்பை x-அச்சைப் பொருத்து சுழற்றுவதால் உருவாகும் திடப்பொருளின் கன அளவு
(1) πa3
(2) πa3/4
(3) πa3/5
(4) πa3/6
விடை : (4) πa3/6

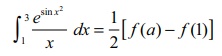
17. If f (x) =
, x > 1 மற்றும்
எனில் பெறக்கூடிய ஒரு மதிப்பு
(1) 3
(2) 6
(3) 9
(4) 5
விடை : (3) 9

18. 1∫0 (sin−1 x )2 dx இன் மதிப்பு
(1) π2/4-1
(2) π2/4+2
(3) π2/4+1
(4) π2/4-2
விடை : (4) π2/4-2

19.
இன் மதிப்பு
(1) πa3/16
(2) 3πa4/16
(3) 3πa2/8
(4) 3πa4/8
விடை : (2) 3πa4/16

20. If x∫0 f (t) dt = x + 1∫x tf (t) dt எனில் f (1) இன் மதிப்பு
(1) 1/2
(2) 2
(3) 1
(4) 3/4
விடை : (1) 1/2

பயிற்சி 9.10
