வெக்டர் இயற்கணிதம் (Vector Algebra) | கணக்கு - பயிற்சி 8.5: சரியான விடையினைக் தேர்ந்தெடுக்கவும் | 11th Mathematics : UNIT 8 : Vector Algebra I
பயிற்சி 8.5
சரியான அல்லது மிகவும் ஏற்புடைய விடையினைக் கொடுக்கப்பட்ட நான்கு மாற்று விடைகளிலிருந்து தேர்ந்தெடுக்கவும்.
(1)
என்பது


(2)
ஆகியவை இணை எனில், m−ன் மதிப்பு
(1) 3
(2) 1/3
(3) 6
(4) 1/6

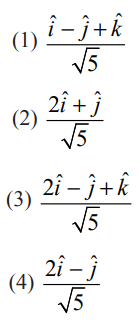
(3)
ஆகிய வெக்டர்களின் கூடுதலுக்கு இணையாக உள்ள அலகு வெக்டர்


(4) ஒரு வெக்டர்
ஆனது x மற்றும் y அச்சுகளின் மிகைத் திசையில் முறையே 60° மற்றும் 45°−ஐ ஏற்படுத்துகின்றது.
ஆனது z−அச்சுடன் ஏற்படுத்தும் கோணம்
(1) 45°
(2) 60°
(3) 90°
(4) 30°

(5)
மற்றும் B−ன் நிலை வெக்டர்
எனில் A−ன் நிலைவெக்டர்


(6) ஒரு வெக்டர் ஆய அச்சுகளுடன் சமகோணத்தை ஏற்படுத்தினால் அக்கோணம்
(1) cos−1(1/3)
(2) cos−1(2/3)
(3) cos−1(1/√3)
(4) cos−1(2/√3)


(7)
ஆகிய வெக்டர்கள்
(1) ஒன்றுக்கொன்று இணையானது
(2) அலகு வெக்டர்கள்
(3) செங்குத்தான வெக்டர்கள்
(4) ஒருதள வெக்டர்கள்

(8) ABCD ஓர் இணைகரம் எனில்,
என்பது


(9)
−ஐ அடுத்தடுத்த பக்கங்களாக கொண்ட இணைகரம் ABCD−ன் ஒரு மூலைவிட்டம்
எனில் மற்றொரு மூலைவிட்டம்
ஆனது


(10) A, B−ன் நிலை வெக்டர்கள்
எனில், கீழ்க்காணும் நிலை வெக்டர்களில் எந்த நிலை வெக்டரின் புள்ளி AB என்ற கோட்டின் மீது அமையும்.


(11)
ஆகியவை ஒரே கோட்டிலமைந்த மூன்று புள்ளிகளின் நிலைவெக்டர்கள் எனில் கீழ்க்காண்பவைகளுள் எது சரியானது?


(12) P என்ற புள்ளியின் நிலை வெக்டர்
என்க. P ஆனது
−ஐ நிலை வெக்டர்களாகக் கொண்ட புள்ளிகளை இணைக்கும் கோட்டைப் பிரிக்கும் விகிதம்
(1) 7 : 9 உட்புறமாக
(2) 9 : 7 உட்புறமாக
(3) 9 : 7 வெளிப்புறமாக
(4) 7 : 9 வெளிப்புறமாக

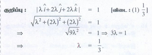
(13)
என்பது ஓரலகு வெக்டர் எனில், λ−ன் மதிப்பு
(1)1/3
(2) 1/4
(3) 1/9
(4) 1/2

(14) ஒரு முக்கோணத்தின் இரண்டு முனைப்புள்ளிகளின் நிலை வெக்டர்கள்
மற்றும்
. மையக்கோட்டு சந்தியின் நிலை வெக்டர்
எனில்,மூன்றாவது முனைப் புள்ளியின் நிலை வெக்டர்


(15)
−ன் மதிப்பு
(1) 42
(2) 12
(3) 22
(4) 32

(16)
− ஒரே எண்ணளவைக் கொண்டுள்ளது. இவற்றிற்கு இடைப்பட்ட கோணம் 60° மற்றும் இவற்றின் திசையிலிப் பெருக்கம் 1/2 எனில்,
−ன் மதிப்பு
(1) 2
(2) 3
(3) 7
(4) 1

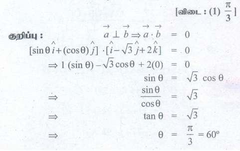
(17)
ஆகியவை செங்குத்தாக அமைந்து θ ∈ (0, π/2) எனில், θ −ன் மதிப்பு
(1) π/3
(2) π/6
(3) π/4
(4) π/2

(18)
−ன் மதிப்பு
(1) 15
(2) 35
(3) 45
(4) 25

(19)
−க்கு இடைப்பட்ட கோணம் 120°.
எனில்,
−ன் மதிப்பு
(1) 225
(2) 275
(3) 325
(4) 300

(20)
ஆகியவற்றின் எண்ணளவு 2, மேலும் இவற்றிற்கு இடைப்பட்ட கோணம் 60° எனில்,
க்கு இடைப்பட்ட கோணம்
(1) 30°
(2) 60°
(3) 45°
(4) 90°

(21)
வீழலும் சமம் எனில், λ−ன் மதிப்பு
(1) ±4
(2) ± 3
(3) ± 5
(4) ±1

(22)
என்ற வெக்டரின் ஆரம்ப மற்றும் இறுதிப் புள்ளிகள் (1, 2, 4) மற்றும் (2, – 3λ – 3) எனில், λ −ன் மதிப்பு
(1) 7/3
(2) –7/3
(3) –5/3
(4) 5/3

(23)
ஆகிய நிலை வெக்டர்களின் புள்ளிகள் ஒரே கோட்டில் அமைந்தால் ‘a’−ன் மதிப்பு
(1) 6
(2) 3
(3) 5
(4) 8

(24)
எனில் x −ன் மதிப்பு
(1) 5
(2) 7
(3) 26
(4) 10

(25)
−க்கு இடைப்பட்ட கோணம் π/6 எனில், இவ்விரு வெக்டர்களை அடுத்தடுத்த பக்கங்களாகக் கொண்ட முக்கோணத்தின் பரப்பு
(1) 7/4
(2) 15/4
(3) 3/4
(4) 17/4
