புத்தக கணக்குகளுக்கான பதில்கள், தீர்வுகள் | கணக்கு - பயிற்சி 8.3: திசையிலிப் பெருக்கம் (Scalar product) திசையிலிப் பெருக்கத்தின் பண்புகள் (Properties of Scalar Product) | 11th Mathematics : UNIT 8 : Vector Algebra I
பயிற்சி 8.3
(1) கீழ்க்காணும்
−ஐக் காண்க.


(2) கீழ்க்காணும் வெக்டர்கள்
ஆகியவை செங்குத்து எனில், λ −ன் மதிப்பைக் காண்க.


(3)
ஆகிய வெக்டர்களுக்கு
=75√2 எனில்,
க்கு இடைப்பட்டக் கோணத்தைக் காண்க.

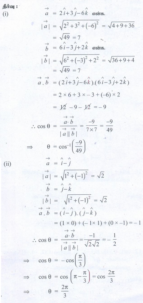
(4) கீழ்க்காணும் வெக்டர்களுக்கு இடைப்பட்ட கோணத்தைக் காண்க.


(5)

(6)
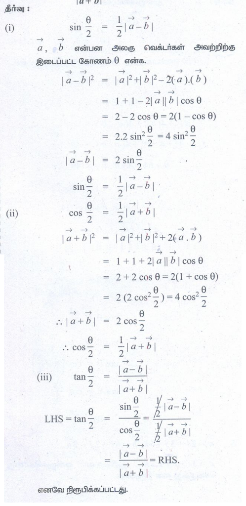
ஆகியவை ஒன்றுக்கொன்று செங்குத்து என நிரூபிக்க.

(7) 
ஆகிய வெக்டர்கள் ஒரு செங்கோண முக்கோணத்தை அமைக்கும் எனக் காட்டுக.

(8)
ஐக் காண்க.

(9) (2, – 1, 3), (4, 3, 1) மற்றும் (3, 1, 2) ஆகிய புள்ளிகள் ஒரே கோடமைப் புள்ளிகள் எனக் காட்டுக.

(10)
ஆகியவை அலகு வெக்டர்கள் மற்றும் θ என்பது இவற்றிற்கு இடைப்பட்ட கோணம் எனில்,
எனக்காட்டுக.

(11)
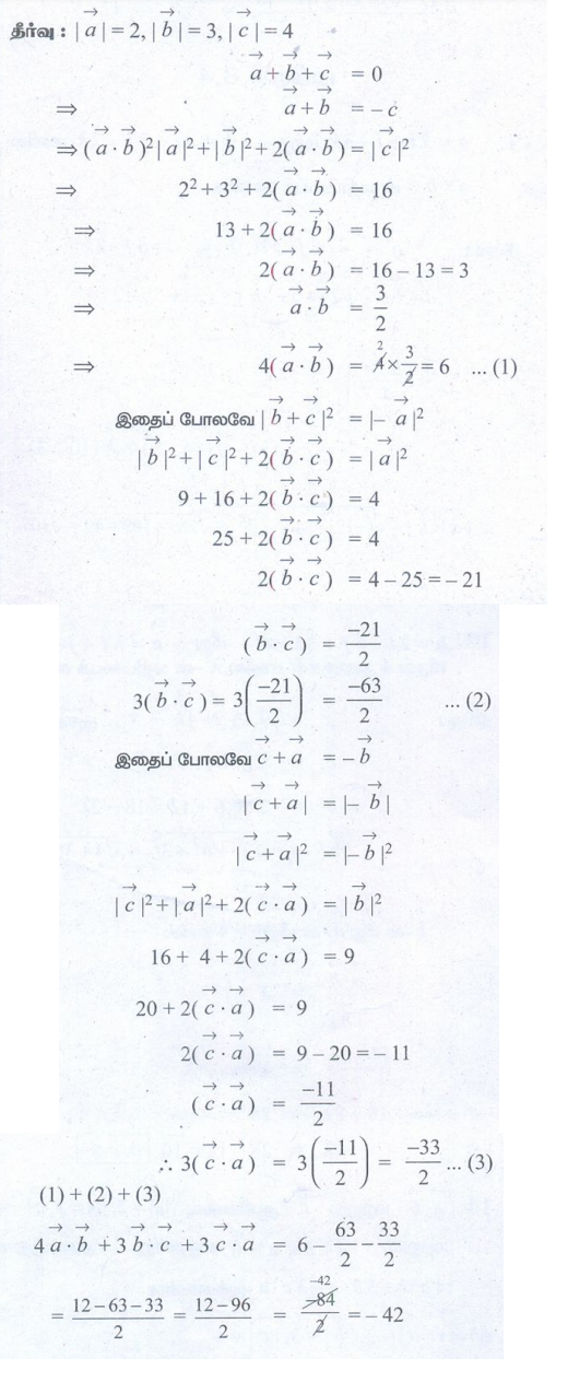
என்ற மூன்று வெக்டர்கள்
மற்றும் ஒவ்வொரு வெக்டரும் மற்ற இரு வெக்டர்களின் கூடுதலுக்குச் செங்குத்தாகவும் அமைந்தால்
ஐக் காண்க.

(12)
வீழலைக் காண்க.

(13)
− ன் வீழல் 4 அலகுகள் எனில், λ−ன் மதிப்பைக் காண்க.

(14) 
