இருபரிமாண பகுமுறை வடிவியல் | கணிதம் - பயிற்சி 6.5 : சரியான அல்லது மிகவும் ஏற்புடைய விடையினைத் தேர்ந்தெடுக்கவும் | 11th Mathematics : UNIT 6 : Two Dimensional Analytical Geometry
பயிற்சி 6.5
அலகு 6 : இருபரிமாண பகுமுறை வடிவியல்
சரியான அல்லது மிகவும் ஏற்புடைய விடையினைத் தேர்ந்தெடுக்கவும்
1. ஒரு
புள்ளிக்கும் y அச்சிற்கும் இடைப்பட்ட தூரமானது, அப்புள்ளிக்கும் ஆதிக்கும் இடைப்பட்ட தூரத்தில் பாதி எனில்
அப்புள்ளியின் நியமப்பாதை
(1) x2 + 3y2 = 0
(2) x2 - 3y2 = 0
(3) 3x2 + y2 = 0
(4) 3x2 - y2 = 0
தீர்வு:

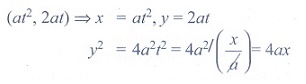
2. (at2, 2at) என்ற புள்ளியின் நியமப்பாதை

(3) x2 + y2 = a2
(4) y2 = 4ax
தீர்வு:

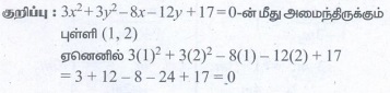
3. 3x2 + 3y2 - 8x - 12y + 17 = 0 என்ற நியமப்பாதையின் மீது அமைந்திருக்கும் புள்ளி
(1) (0,0)
(2) (-2, 3)
(3) (1, 2)
(4) (0,-1)
தீர்வு:

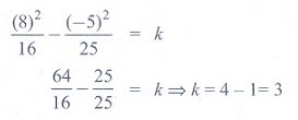
4. x2/16 - y2/25 = k என்ற
நியமப்பாதையின் மீது (8,-5) என்ற புள்ளி உள்ளது எனில், k –ன் மதிப்பு
(1) 0
(2) 1
(3) 2
(4) 3
தீர்வு:

5. (2, 3) மற்றும் (-1, 4) என்ற புள்ளிகளை இணைக்கும் நேர்க்கோட்டின் மீது (a, β) என்ற புள்ளி இருந்தால்
(1) a + 2 β = 7
(2) 3a + β = 9
(3) a + 3 β = 11
(4) 3a + β = 11
தீர்வு:

6. 3x - y = -5 என்ற
கோட்டுடன் 45° கோணம் ஏற்படுத்தும் கோட்டின் சாய்வுகள்
(1) 1, -1
(2) 1/2, -2
(3) 1, 1/2
(4) 2, -1/2
தீர்வு:

7. 4 + 2√2 என்ற
சுற்றளவு கொண்ட முதல் கால் பகுதியில் ஆய அச்சுகளுடன் அமையும் இருசமபக்க முக்கோணத்தை உருவாக்கும் கோட்டின் சமன்பாடு
(1) x + y + 2 = 0
(2) x + y - 2 = 0
(3) x + y - √2 = 0
(4) x + y + √2 = 0
தீர்வு:

8. (-2, 4), (-1,2), (1,2) மற்றும் (2, 4) என்ற வரிசையில் நாற்கரத்தின் நான்கு முனைப்புள்ளிகளை எடுத்துக் கொள்க. ஒரு கோடு (-1, 2) என்ற புள்ளி வழியே
செல்கிறது. மேலும் அது நாற்கரத்தை சமபரப்பாக பிரிக்கிறது எனில், அதன் சமன்பாடு,
(1) x+ 1 = 0
(2) x + y = 1
(3) x + y + 3 = 0
(4) x - y + 3 = 0
தீர்வு:

9. (1, 2) மற்றும் (3, 4) ஆகிய புள்ளிகளை இணைக்கும் கோட்டுத்துண்டின் செங்குத்து இருசமவெட்டியானது ஆய அச்சுகளுடன் ஏற்படுத்தும் வெட்டுத் துண்டுகள்
(1) 5, -5
(2) 5 , 5
(3) 5, 3
(4) 5, -4
தீர்வு:

10. சாய்வு 2 உடைய
கோட்டிற்கு ஆதியிலிருந்து வரையப்படும் செங்குத்துக் கோட்டின் நீளம் √5 எனில், அக்கோட்டின் சமன்பாடு
(1) x + 2y = √5
(2) 2x + y = √5
(3) 2x + y = 5
(4) x + 2y - 5 = 0
தீர்வு:

11. 5x - y = 0 என்ற கோட்டிற்குச் செங்குத்துக் கோடு
ஆய அச்சுகளுடன் அமைக்கும் முக்கோணத்தின் பரப்பு 5 ச. அலகுகள் எனில் அக்கோட்டின் சமன்பாடு
(1) x+ 5y ± 5√2 = 0
(2) x- 5y ± 5√2 = 0
(3) 5x+y± 5√2 = 0
(4) 5x-y±5√2 = 0
தீர்வு:

12. x-y+5 = 0 என்ற
கோட்டிற்குச் செங்குத்தாகவும் y அச்சை வெட்டும் புள்ளி வழியே
செல்லக்கூடியதுமான நேர்க்கோட்டின் சமன்பாடு
(1) x - y - 5 = 0
(2) x + y - 5 = 0
(3) x + y + 5 = 0
(4) x + y + 10 = 0
தீர்வு:

13. ஒரு சமபக்க முக்கோணத்தின் ஒரு முனை (2, 3) மற்றும் இப்புள்ளிக்கு எதிர்ப்புறம் அமையும் பக்கத்தின் சமன்பாடு x + y = 2 எனில் பக்கத்தின் நீளம்
(1) √ 3/2
(2) 6
(3) √6
(4) 3√2
தீர்வு:

14. p மற்றும் q ஆகியவற்றின் எந்த மதிப்புகளுக்கும் (p + 2q)x + (p - 3q)y = p - q என்ற கோட்டின் மீது
அமையும் புள்ளி
(1) (3/2, 5/2)
(2) (2/5, 2/5)
(3) (3/5, 3/5)
(4) (2/5, 3/5)
தீர்வு:

15. (1, 2) மற்றும் (3, 4) ஆகிய இரு புள்ளியிலிருந்து சமத் தொலைவிலும், 2x - 3y = 5 என்ற கோட்டின் மீதும் அமைந்துள்ள புள்ளி
(1) (7, 3)
(2) (4, 1)
(3) (1,-1)
(4) (-2, 3)
தீர்வு:

16. y = -x என்ற
கோட்டிற்கு (2, 3) என்ற புள்ளியின் பிம்பப்புள்ளி
(1) (-3, -2)
(2) ( -3, 2 )
(3) ( -2, -3)
(4) ( 3, 2 )
தீர்வு:

17. x/3 – y/4 = 1 என்ற
கோட்டிற்கு ஆதியிலிருந்து செங்குத்துத் தொலைவு
(1) 11/5
(2) 5/12
(3) 12/5
(4) -5/12
தீர்வு:

18. 2x - 3y + 1 = 0 என்ற கோட்டிற்குச் செங்குத்தாகவும் (1, 3) என்ற
புள்ளி வழியே செல்லும் நேர்க்கோட்டின் y வெட்டுத்துண்டு
(1) 3/2
(2) 9/2
(3) 2/3
(4) 2/9
தீர்வு:

19. x + (2k - 7)y + 3 = 0 மற்றும் 3kx + 9y - 5 = 0 இவ்விரு கோடுகள் செங்குத்தானவை எனில் k-ன் மதிப்பு
(1) k = 3
(2) k = 1/3
(3) k = 2/3
(4) k = 3/2
தீர்வு:

20. ஒரு சதுரத்தின் ஒரு முனை ஆதியாகவும் மற்றும் அதன்
ஒரு பக்கம் 4x + 3y - 20 = 0 என்ற கோட்டின் மீதும் அமைந்திருந்தால், அந்தச் சதுரத்தின் பரப்பு
(1) 20 சஅ
(2) 16 சஅ
(3) 25 சஅ
(4) 4 சஅ
தீர்வு:

21. 6x2 + 41xy - 7y2 = 0 என்ற
இரட்டைக் கோடுகள் x- அச்சுடன் ஏற்படுத்தும் கோணங்கள் a மற்றும் β எனில், tan a tan β = ?
(1) -6/7
(2) 6/7
(3) -7/6
(4) 7/6
தீர்வு:

22. x2 - 4y2 = 0 மற்றும் x = a என்ற கோடுகளால் உருவாக்கப்படும் முக்கோணத்தின் பரப்பு
(1) 2a2
(2) √3/2 a2
(3) 1/2 a2
(4) 2/√3 a2
தீர்வு:

23. 6x2 - xy + 4cy2 = 0 என்ற
கோடுகளில் ஒரு கோடானது 3x + 4y = 0 எனில் c - ன் மதிப்பு
(1) -3
(2) -1
(3) 3
(4) 1
தீர்வு:

24. x2– xy – 6y2 = 0 என்ற கோடுகளுக்கு இடைப்பட்ட குறுங்கோணம் θ எனில்
-ன் மதிப்பு
(1) 1
(2) -1/9
(3) 5/9
(4) 1/9
தீர்வு:

25. x2– 2xycot
θ – y2 = 0 என்ற
இரட்டை நேர்க்கோட்டின் சமன்பாடுகளில் ஒரு
சமன்பாடு
(1) x - y cot θ = 0
(2) x + y tan θ = 0
(3) x cos θ + y (sinθ + 1) = 0
(4) x sin θ + y (cosθ + 1) = 0
தீர்வு:
