Home | 11 ஆம் வகுப்பு | 11வது கணிதம் | பயிற்சி 5.3 : முடிவுறு தொடர்கள்

கணக்கு கேள்வி பதில்கள், தீர்வு | கணிதம் - பயிற்சி 5.3 : முடிவுறு தொடர்கள் | 11th Mathematics : UNIT 5 : Binomial Theorem, Sequences and Series

11வது கணக்கு : அலகு 5 : ஈருறுப்புத் தேற்றம், தொடர்முறைகள் மற்றும் தொடர்கள்

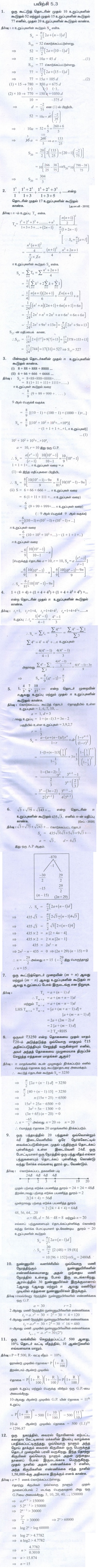
பயிற்சி 5.3 : முடிவுறு தொடர்கள்

கணக்கு புத்தக பயிற்சிக் கணக்குகள், தீர்வுகள் மற்றும் பதில்கள் - கணிதம் : ஈருறுப்புத் தேற்றம், தொடர்முறைகள் மற்றும் தொடர்கள் : முடிவுறு தொடர்கள்
பயிற்சி 5.3

Tags : Problem Questions with Answer, Solution | Mathematics கணக்கு கேள்வி பதில்கள், தீர்வு | கணிதம்.
11th Mathematics : UNIT 5 : Binomial Theorem, Sequences and Series : Exercise 5.3: Finite Series Problem Questions with Answer, Solution | Mathematics in Tamil : 11th Standard Tamil Medium School Samacheer Book Back Questions and answers, Important Question with Answer. 11வது கணக்கு : அலகு 5 : ஈருறுப்புத் தேற்றம், தொடர்முறைகள் மற்றும் தொடர்கள் : பயிற்சி 5.3 : முடிவுறு தொடர்கள் - கணக்கு கேள்வி பதில்கள், தீர்வு | கணிதம் : 11 ஆம் வகுப்பு புத்தகம் கேள்விகள் மற்றும் பதில்கள்.
11வது கணக்கு : அலகு 5 : ஈருறுப்புத் தேற்றம், தொடர்முறைகள் மற்றும் தொடர்கள்