கேள்விகளுக்கான பதில்கள், தீர்வுகள் - பயிற்சி 4.5: நேர்மாறு முக்கோணவியல் சார்புகள் ( Inverse Trigonometric Functions) | 12th Maths : UNIT 4 : Inverse Trigonometric Functions
பயிற்சி 4.5
1. மதிப்பு உள்ளது எனில் பின்வருவனவற்றிக்கு மதிப்பு காண்க. மதிப்பு இல்லையெனில் அதற்கான காரணம் தருக.
(i) sin−1 (cos π)
(ii) tan−1 [sin(−5π /2)]
(iii) sin−1 [sin 5].

2. முக்கோணத்தினை மேற்கோளாகக் கொண்டு x −ன் மதிப்பு காண்க.
(i) sin(cos−1 (1 − x))
(ii) cos(tan−1 (3x − 1))
(iii) tan(sin−1 (x + 1/2))

3. மதிப்பு காண்க
(i) sin−1 (cos(sin−1(√3/2)))

(ii) cot [sin−1 (3/5) + sin−1 (4/5)]

(iii) tan [sin−1 (3/5) + cot−1 (3/2)]

4. நிரூபிக்க
(i) tan−1 (2/11) + tan−1 (7/24) = tan−1 (1/2)
(ii) sin−1 (3/5) − cos−1 (12/13) = sin−1 (16/65).

5. நிரூபிக்க tan−1 x + tan−1 y + tan−1 z = tan−1 

6. tan−1 x + tan−1 y + tan−1 z = π எனில் x + y + z = xyz எனக் காட்டுக.

7. |x| < 1/√3 எனில்,
என நிறுவுக.

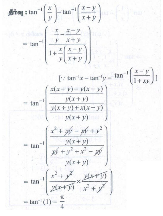
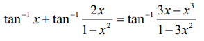
8. சுருக்குக: 

9. தீர்க்க:




10. சமன்பாட்டின் தீர்வுகளின் எண்னிக்கையைக் காண்க
tan−1 (x − 1) + tan−1 x + tan−1 (x + 1)= tan−1 (3x).
