முக்கோணவியல் | கணக்கு - பயிற்சி 3.12 : சரியான அல்லது மிகவும் ஏற்புடைய விடையினைத் தேர்ந்தெடுக்கவும் | 11th Mathematics : UNIT 3 : Trigonometry
பயிற்சி 3.12
அலகு 3 : முக்கோணவியல்
சரியான அல்லது மிகவும் ஏற்புடைய விடையினைத் தேர்ந்தெடுக்கவும்.
1. 1/cos 80̊ - √3/sin 80̊ =
(1) √2
(2) √3
(3) 2
(4) 4
தீர்வு :

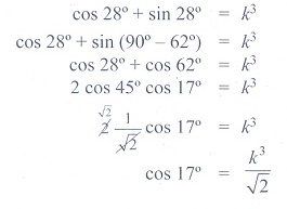
2. cos 28° + sin 28° = k3 எனில், cos 17° இன் மதிப்பு
(1) k3/√2
(2) -k3/√2
(3) ± k3/√2
(4) - k3/√2
தீர்வு :

3. 4 sin2x + 3cos2x + sin x/2 + cos x/2 இன்
மீப்பெரு மதிப்பு
(1) 4+√2
(2) 3+√2
(3) 9
(4) 4
தீர்வு :

4. 
(1) 1/8
(2) 1/2
(3) 1/√3
(4) 1/√2
தீர்வு :

5.
இன்
மதிப்பு
(1) - 2cosθ
(2) - 2sinθ
(3) 2 cosθ
(4) 2 sinθ
தீர்வு :

6. tan 40° = λ எனில், 
(1) 1-λ2/ λ
(2) 1+λ2/ λ
(3) 1+λ2/ 2λ
(4) 1-λ2/ 2λ
தீர்வு :

7. cos 1° + cos 2° + cos 3°
+ ... + cos 179° =
(1) 0
(2) 1
(3) -1
(4) 89
தீர்வு :

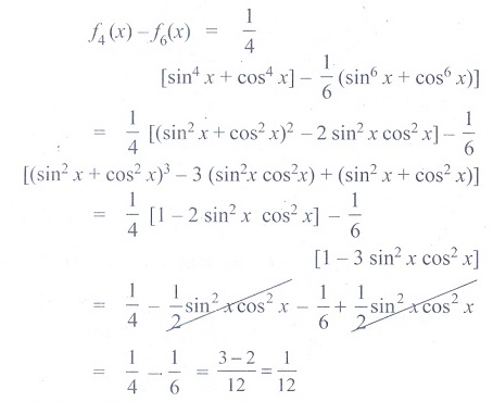
8. fk(x) =1/k [sinkx + coskx] என்க. இங்கு, x ∊ R மற்றும் k ≥ 1 எனில்,
(1) 1/4
(2) 1/12
(3) 1/6
(4) 1/3
தீர்வு :

9. பின்வருவனவற்றில் எது
சரியானதல்ல?
(1) sinθ = -3/4
(2) cosθ = -1
(3) tanθ = 25
(4) secθ = 1/4
தீர்வு :

10. cos 2θ cos 2ϕ + sin2 (θ – ϕ) – sin2 (θ + ϕ) இன் மதிப்பு
(1) sin2 (θ + ϕ)
(2) cos 2(θ+ ϕ)
(3) sin2(θ – ϕ)
(4) cos 2(θ - ϕ)
தீர்வு :

11. 
(1) sinA + sinB + sinC
(2) 1
(3) 0
(4) cosA + cosB + cosC
தீர்வு :

12. cosp θ + cosq θ = 0, p ≠ q, n ஏதேனும் ஒரு முழு எண் n எனில் θ –வின் மதிப்பு.

விடை : 2
தீர்வு :

13. x2 + ax + b = 0 இன் மூலங்கள் tan α மற்றும் tan β எனில்,
இன் மதிப்பு
(1)b/a
(2)a/b
(3) –a/b
(4) –b/a
தீர்வு :

14. ∆ ABC இல் sin2 A +
sin2 B + sin2 c = 2 எனில், அந்த முக்கோணமானது
(1) சமபக்க முக்கோணம்
(2) இரு சமபக்க முக்கோணம்
(3) செங்கோண முக்கோணம்
(4) அசமபக்க முக்கோணம்
தீர்வு :

15. f(θ) = |sin θ| + |cosθ| , θ ∊ R எனில், f(θ) அமையும் இடைவெளி,
(1) [0, 2]
(2) [1, √2]
(3) [1, 2]
(4) [0, 1]
தீர்வு :

16.
(1) cos 2x
(2) cos x
(3) cos 3 x
(4) 2 cos x
தீர்வு :

17. மாறாத சுற்றளவு 12 மீ கொண்ட முக்கோணத்தின் அதிகபட்ச பரப்பளவானது,
(1) 4 மீ பக்கத்தினைக் கொண்ட சமபக்க முக்கோணமாக அமையும்.
(2) 2 மீ, 5 மீ மற்றும் 5 மீ பக்கங்களைக் கொண்ட இரு
சமபக்க முக்கோணமாக அமையும்.
(3) 3 மீ, 4 மீ மற்றும் 5 மீ பக்கங்களைக் கொண்ட ஒரு
முக்கோணமாக அமையும்.
(4) முக்கோணம் அமையாது.
தீர்வு :

18. ஒரு சக்கரமானது 2 ஆரையன்கள் அளவில் / விகலைகள் சுழல்கிறது. எனில், 10 முழு
சுற்று சுற்றுவதற்கு எத்தனை விகலைகள் எடுத்துக் கொள்ளும்?
(1) 10 π விகலைகள்
(2) 20 π விகலைகள்
(3) 5 π விகலைகள்
(4) 15 π விகலைகள்
தீர்வு :

19. sin α + cos α = b எனில், sin 2 α இன் மதிப்பு
(1) b ≤ √2 எனில், b2 - 1
(2) b > √2 எனில், b2 - 1
(3) b ≥ 1 எனில், b2 - 1
(4) b ≥ √2 எனில், b2 - 1
தீர்வு :

20. ΔABC இல் (i) sin A/2 sin B/2 sin C/2> 0 (ii) sin A sin B sin C > 0
(1) (i) மற்றும் (ii) ஆகிய இரண்டும் உண்மை.
(2) (i) மட்டுமே உண்மை.
(3) (ii) மட்டுமே உண்மை.
(4) (i) மற்றும் (ii) ஆகிய இரண்டும் உண்மையில்லை.
தீர்வு :
