Home | 11 ஆம் வகுப்பு | 11வது கணிதம் | பயிற்சி 3.1 : முக்கோணவியலின் அடிப்படை முடிவுகள்

கணக்கு கேள்வி பதில்கள், தீர்வு | கணிதம் - பயிற்சி 3.1 : முக்கோணவியலின் அடிப்படை முடிவுகள் | 11th Mathematics : UNIT 3 : Trigonometry

11வது கணக்கு : அலகு 3 : முக்கோணவியல்

பயிற்சி 3.1 : முக்கோணவியலின் அடிப்படை முடிவுகள்

கணக்கு புத்தக பயிற்சிக் கணக்குகள், தீர்வுகள் மற்றும் பதில்கள் - கணிதம் : முக்கோணவியல் : முக்கோணவியலின் அடிப்படை முடிவுகள்

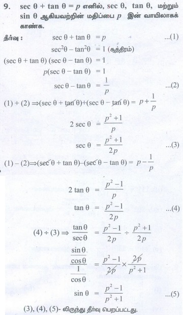
பயிற்சி 3.1








Tags : Problem Questions with Answer, Solution | Mathematics கணக்கு கேள்வி பதில்கள், தீர்வு | கணிதம்.
11th Mathematics : UNIT 3 : Trigonometry : Exercise 3.1: Basic results of Trigonometry Problem Questions with Answer, Solution | Mathematics in Tamil : 11th Standard Tamil Medium School Samacheer Book Back Questions and answers, Important Question with Answer. 11வது கணக்கு : அலகு 3 : முக்கோணவியல் : பயிற்சி 3.1 : முக்கோணவியலின் அடிப்படை முடிவுகள் - கணக்கு கேள்வி பதில்கள், தீர்வு | கணிதம் : 11 ஆம் வகுப்பு புத்தகம் கேள்விகள் மற்றும் பதில்கள்.
11வது கணக்கு : அலகு 3 : முக்கோணவியல்