கேள்விகளுக்கான பதில்கள், தீர்வுகள் | கலப்பு எண்கள் - பயிற்சி 2.8: டி மாய்வரின் தேற்றமும் அதன் பயன்பாடுகளும் (de Moivre's Theorem and its Applications) | 12th Maths : UNIT 2 : Complex Numbers
Posted On : 22.02.2024 10:16 am
12 ஆம் வகுப்பு கணிதம் : அத்தியாயம் 2 : கலப்பு எண்கள்
பயிற்சி 2.8: டி மாய்வரின் தேற்றமும் அதன் பயன்பாடுகளும் (de Moivre's Theorem and its Applications)
12 ஆம் வகுப்பு கணிதம் : அத்தியாயம் 2 : கலப்பு எண்கள் : பயிற்சி 2.8: டி மாய்வரின் தேற்றமும் அதன் பயன்பாடுகளும் (de Moivre's Theorem and its Applications) : பல்வேறு வினாக்களுக்கான பதில்கள் மற்றும் தீர்வுகள்
பயிற்சி 2.8
1. ω ≠ 1 என்பது ஒன்றின் மூன்றாம் படிமூலம் எனில்
என நிறுவுக.

2.
= −√3 எனக்காட்டுக.

3.
−ன் மதிப்பு காண்க.

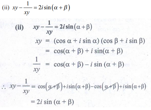
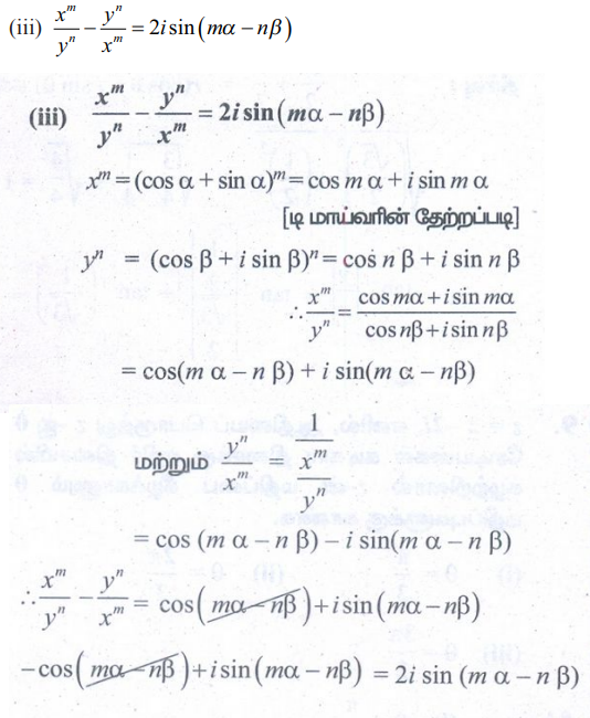
4. 2 cos α = x + 1/x = மற்றும் 2cos β = y + 1/y, எனக் கொண்டு. கீழ்க்காண்பவைகளை நிறுவுக.




5. z3 + 27 = 0 என்ற சமன்பாட்டைத் தீர்க்க.

6. ω ≠ 1 என்பது ஒன்றின் முப்படி மூலம் எனில் (z − 1)3 + 8 = 0 என்ற சமன்பாட்டின் மூலங்கள் −1, 1 − 2ω, 1− 2ω2 எனக்காட்டுக.

7.
−ன் மதிப்பு காண்க.

8. ω ≠ 1 என்பது ஒன்றின் முப்படி மூலம் எனில், பின்வருவனவற்றை நிறுவுக.
(i) (1− ω + ω2)6 + (1 + ω − ω2)6 = 128.
(ii) (1 + ω) (1 + ω2) (1 + ω4)(1 + ω8) ... (1 + ω211 ) = 1.

9. z = 2 − 2i எனில், ஆதியைப் பொருத்து z −ஐ θ ரேடியன்கள் கடிகார திசைக்கு எதிர் திசையில் சுழற்றினால் z −ன் மதிப்பை கீழ்க்காணும் θ மதிப்புகளுக்கு காண்க.
(i) θ = π/3

(ii) θ = 2π/3

(iii) θ = 3π/3

Tags : Problem Questions with Answer, Solution | Complex Numbers கேள்விகளுக்கான பதில்கள், தீர்வுகள் | கலப்பு எண்கள்.
12th Maths : UNIT 2 : Complex Numbers : Exercise 2.8: de Moivre’s Theorem and its Applications Problem Questions with Answer, Solution | Complex Numbers in Tamil : 12th Standard
Tamil Medium School Samacheer Book Back Questions and answers, Important Question with Answer.
12 ஆம் வகுப்பு கணிதம் : அத்தியாயம் 2 : கலப்பு எண்கள் : பயிற்சி 2.8: டி மாய்வரின் தேற்றமும் அதன் பயன்பாடுகளும் (de Moivre's Theorem and its Applications) - கேள்விகளுக்கான பதில்கள், தீர்வுகள் | கலப்பு எண்கள் : 12 ஆம் வகுப்பு
புத்தகம் கேள்விகள் மற்றும் பதில்கள்.