கேள்விகளுக்கான பதில்கள், தீர்வுகள் - பயிற்சி 2.5: ஒரு கலப்பெண்ணின் மட்டு மதிப்பு (Modulus of a Complex Number) | 12th Maths : UNIT 2 : Complex Numbers
பயிற்சி 2.5
1. கீழ்க்காணும் கலப்பெண்களின் மட்டு மதிப்பினைக் காண்க.
(i) 2i / (3 + 4i)



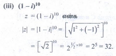
(iii) (1− i)10

(iv) 2i(3 – 4i)(4 – 3i).

2. z1 மற்றும் z2 என்ற ஏதேனும் இரு கலப்பெண்களுக்கு |z1| = |z2| = 1 மற்றும் z1z2 ≠ −1 எனில (z1 + z2) /(1 + z1z2) ஓர் மெய் எண் எனக்காட்டுக.

3. 10 − 8i, 11 + 6i ஆகிய புள்ளிகளில் எப்புள்ளி 1 + i −க்கு மிக அருகாமையில் இருக்கும்?

4. |z | = 3 எனில் 7 ≤ |z + 6 − 8i| ≤ 13 எனக்காட்டுக.

5. | z | = 1 எனில், 2 ≤ |z2 − 3| ≤ 4 எனக்காட்டுக.

6. |z| = 2 எனில், 8 ≤ |z + 6 + 8i| ≤ 12 எனக்காட்டுக.

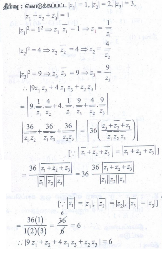
7. z1, z2, மற்றும் z3 என்ற மூன்று கலப்பெண்கள் |z1| = 1, |z2| = 2, |z3| = 3, மற்றும் |z1 + z2 + z3| = 1 என்றவாறு உள்ளது எனில் |9z1 z2 + 4z1z3 + z2z3|= 6 என நிறுவுக.

8. z, iz, மற்றும் z + iz ஆகியவற்றை முனைப்புள்ளிகளாகக் கொண்டு அமைக்கப்படும் முக்கோணத்தின் பரப்பு 50 சதுர அலகுகள் எனில், |z|−ன் மதிப்பினைக் காண்க.

9. z3 + 2
= 0 என்ற சமன்பாட்டிற்கு ஐந்து தீர்வுகள் இருக்கும் என நிறுவுக.

10. கீழ்க்காண்பவைகளின் வர்க்கமூலம் காண்க : (i) 4 + 3i (ii) −6 + 8i (iii) −5 −12i.
