கேள்விகளுக்கான பதில்கள், தீர்வுகள் - பயிற்சி 2.4: ஒரு கலப்பெண்ணின் இணைக் கலப்பெண் (Conjugate of a Complex Number) | 12th Maths : UNIT 2 : Complex Numbers
Posted On : 22.02.2024 01:15 am
12 ஆம் வகுப்பு கணிதம் : அத்தியாயம் 2 : கலப்பு எண்கள்
பயிற்சி 2.4: ஒரு கலப்பெண்ணின் இணைக் கலப்பெண் (Conjugate of a Complex Number)
12 ஆம் வகுப்பு கணிதம் : அத்தியாயம் 2 : கலப்பு எண்கள் : பயிற்சி 2.4: ஒரு கலப்பெண்ணின் இணைக் கலப்பெண் (Conjugate of a Complex Number) : பல்வேறு வினாக்களுக்கான பதில்கள் மற்றும் தீர்வுகள்
பயிற்சி 2.4
1. கீழ்காண்பவற்றை செவ்வக வடிவில் எழுதுக:

2. z = x + iy எனில், கீழ்க்காண்பவைகளின் செவ்வக வடிவினைக் காண்க.

3. z1 = 2 − i மற்றும் z2 = −4 + 3i எனில் z1z2 மற்றும் z1/z2 −ன் நேர்மாறைக் காண்க.

4. கலப்பெண்கள் u, v, மற்றும் w ஆகியவை 1/u = 1/v + 1/w என்றவாறு தொடர்புபடுத்தப்பட்டுள்ளது.
v = 3 − 4i மற்றும் w = 4 + 3i எனில் u −ஐ செவ்வக வடிவில் எழுதுக.

5. கீழ்க்காணும் பண்புகளை நிறுவுக:
(i) z ஒரு மெய் எண் என இருந்தால், இருந்தால் மட்டுமே z =
(ii) 

6. (√3 + i)n ஆனது n −ன் எந்த மீச்சிறு மிகை முழு எண் மதிப்புகளுக்கு
(i) மெய்
(ii) முழுவதும் கற்பனை எண்களாக இருக்கும்?

7. பின்வருவனவற்றை நிறுவுக:
(i) (2 + i√3)10 − (2 − i√3)10 என்பது முழுவதும் கற்பனை
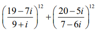
(ii)
என்பது மெய் எண்.

Tags : Problem Questions with Answer, Solution கேள்விகளுக்கான பதில்கள், தீர்வுகள்.
12th Maths : UNIT 2 : Complex Numbers : Exercise 2.4: Conjugate of a Complex Number Problem Questions with Answer, Solution in Tamil : 12th Standard
Tamil Medium School Samacheer Book Back Questions and answers, Important Question with Answer.
12 ஆம் வகுப்பு கணிதம் : அத்தியாயம் 2 : கலப்பு எண்கள் : பயிற்சி 2.4: ஒரு கலப்பெண்ணின் இணைக் கலப்பெண் (Conjugate of a Complex Number) - கேள்விகளுக்கான பதில்கள், தீர்வுகள் : 12 ஆம் வகுப்பு
புத்தகம் கேள்விகள் மற்றும் பதில்கள்.