புத்தக கணக்குகளுக்கான பதில்கள், தீர்வுகள் | கணக்கு - பயிற்சி 11.8 | 11th Mathematics : UNIT 11 : Integral Calculus
Posted On : 13.02.2024 03:10 am
11 வது கணக்கு : அலகு 11 : தொகை நுண்கணிதம் Integral Calculus
பயிற்சி 11.8
11 வது கணக்கு : அலகு 11 : தொகை நுண்கணிதம் Integral Calculus : பயிற்சி 11.8 : பல்வேறு வினாக்களுக்கான பதில்கள் மற்றும் தீர்வுகள்
பயிற்சி 11.8
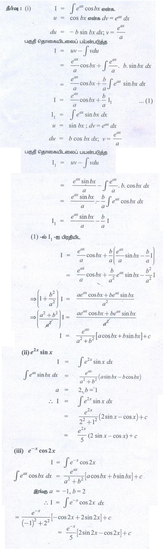
(1) (i) eax cos bx
(ii) e2x
sin x
(iii) e-x
cos 2x

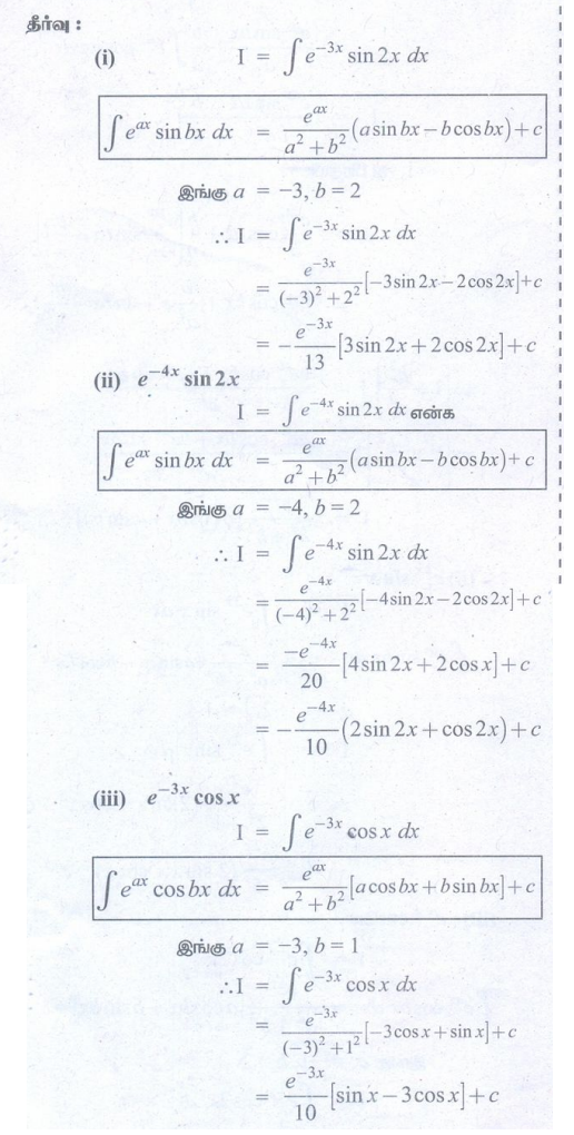
(2) (i) e-3x sin 2x
(ii) e-4x
sin 2x
(iii) e-3x
cos x

Tags : Problem Questions with Answer, Solution | Mathematics புத்தக கணக்குகளுக்கான பதில்கள், தீர்வுகள் | கணக்கு.
11th Mathematics : UNIT 11 : Integral Calculus : Exercise 11.8: Integrals of the form e pow(ax) cos bx and e pow(ax) sin bx Problem Questions with Answer, Solution | Mathematics in Tamil : 11th Standard
Tamil Medium School Samacheer Book Back Questions and answers, Important Question with Answer.
11 வது கணக்கு : அலகு 11 : தொகை நுண்கணிதம் Integral Calculus : பயிற்சி 11.8 - புத்தக கணக்குகளுக்கான பதில்கள், தீர்வுகள் | கணக்கு : 11 ஆம் வகுப்பு
புத்தகம் கேள்விகள் மற்றும் பதில்கள்.