Home | 11 ஆம் வகுப்பு | 11வது கணிதம் | பயிற்சி 11.7: பகுதித் தொகையிடலுக்கான பெர்னோலியின் சூத்திரம்

புத்தக கணக்குகளுக்கான பதில்கள், தீர்வுகள் | கணக்கு - பயிற்சி 11.7: பகுதித் தொகையிடலுக்கான பெர்னோலியின் சூத்திரம் | 11th Mathematics : UNIT 11 : Integral Calculus

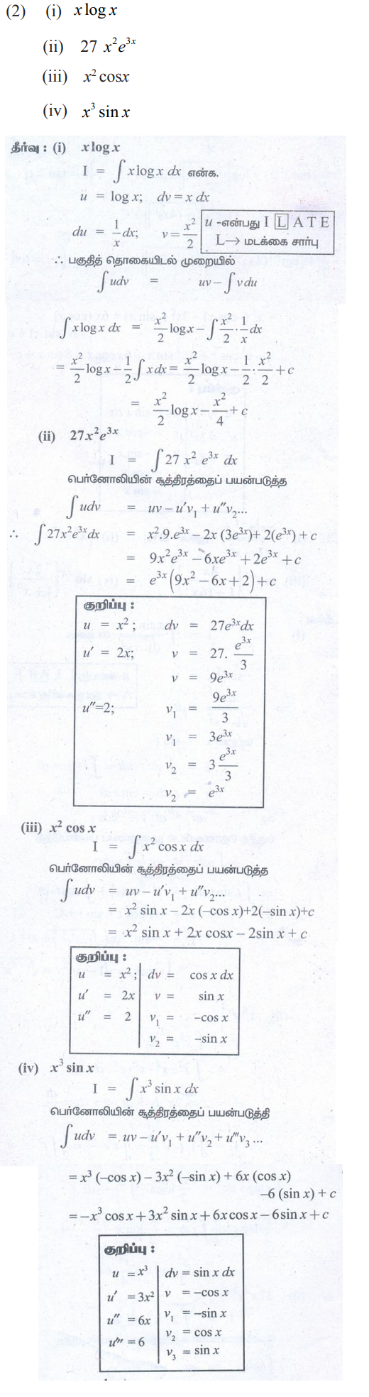
11 வது கணக்கு : அலகு 11 : தொகை நுண்கணிதம் Integral Calculus

பயிற்சி 11.7: பகுதித் தொகையிடலுக்கான பெர்னோலியின் சூத்திரம்

11 வது கணக்கு : அலகு 11 : தொகை நுண்கணிதம் Integral Calculus : பயிற்சி 11.7: பகுதித் தொகையிடலுக்கான பெர்னோலியின் சூத்திரம் : பல்வேறு வினாக்களுக்கான பதில்கள் மற்றும் தீர்வுகள்

பயிற்சி 11.7






Tags : Problem Questions with Answer, Solution | Mathematics புத்தக கணக்குகளுக்கான பதில்கள், தீர்வுகள் | கணக்கு.
11th Mathematics : UNIT 11 : Integral Calculus : Exercise 11.7: Bernoulli’s formula for Integration by Parts Problem Questions with Answer, Solution | Mathematics in Tamil : 11th Standard Tamil Medium School Samacheer Book Back Questions and answers, Important Question with Answer. 11 வது கணக்கு : அலகு 11 : தொகை நுண்கணிதம் Integral Calculus : பயிற்சி 11.7: பகுதித் தொகையிடலுக்கான பெர்னோலியின் சூத்திரம் - புத்தக கணக்குகளுக்கான பதில்கள், தீர்வுகள் | கணக்கு : 11 ஆம் வகுப்பு புத்தகம் கேள்விகள் மற்றும் பதில்கள்.
11 வது கணக்கு : அலகு 11 : தொகை நுண்கணிதம் Integral Calculus