புத்தக கணக்குகளுக்கான பதில்கள், தீர்வுகள் | கணக்கு - பயிற்சி 11.6: சில முக்கியமான தொகையிடல்கள் | 11th Mathematics : UNIT 11 : Integral Calculus
Posted On : 12.02.2024 10:47 am
11 வது கணக்கு : அலகு 11 : தொகை நுண்கணிதம் Integral Calculus
பயிற்சி 11.6: சில முக்கியமான தொகையிடல்கள்
11 வது கணக்கு : அலகு 11 : தொகை நுண்கணிதம் Integral Calculus : பயிற்சி 11.6: சில முக்கியமான தொகையிடல்கள் : பல்வேறு வினாக்களுக்கான பதில்கள் மற்றும் தீர்வுகள்
பயிற்சி 11.6
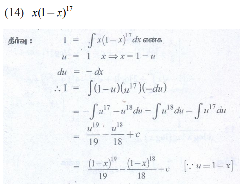
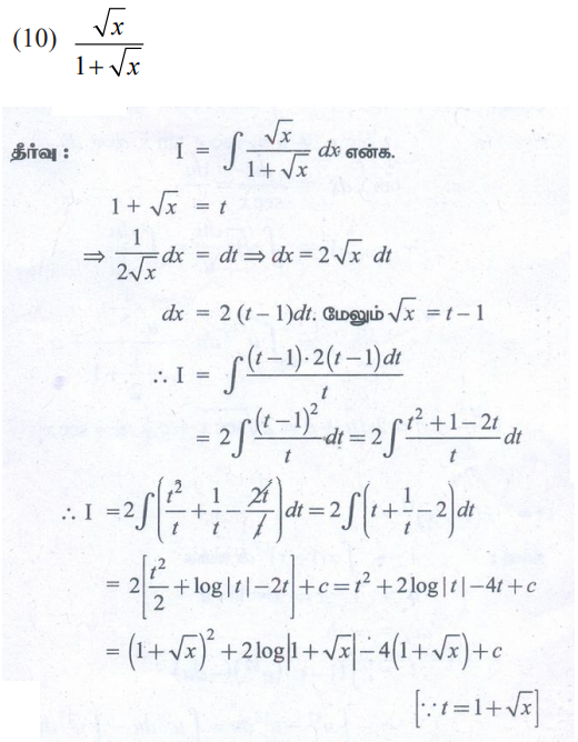
கிழ்க்காண்பனவற்றைத் தொகையிடுக.


Tags : Problem Questions with Answer, Solution | Mathematics புத்தக கணக்குகளுக்கான பதில்கள், தீர்வுகள் | கணக்கு.
11th Mathematics : UNIT 11 : Integral Calculus : Exercise 11.6: Important Results of Integral Calculus Problem Questions with Answer, Solution | Mathematics in Tamil : 11th Standard
Tamil Medium School Samacheer Book Back Questions and answers, Important Question with Answer.
11 வது கணக்கு : அலகு 11 : தொகை நுண்கணிதம் Integral Calculus : பயிற்சி 11.6: சில முக்கியமான தொகையிடல்கள் - புத்தக கணக்குகளுக்கான பதில்கள், தீர்வுகள் | கணக்கு : 11 ஆம் வகுப்பு
புத்தகம் கேள்விகள் மற்றும் பதில்கள்.