புத்தக கணக்குகளுக்கான பதில்கள், தீர்வுகள் | கணக்கு - பயிற்சி 11.4: எளிய பயன்பாடுகள் (Simple applications) | 11th Mathematics : UNIT 11 : Integral Calculus
பயிற்சி 11.4
(1) ƒ'(x) = 4 x - 5 மற்றும் ƒ(2) =1 எனில், ƒ(x) காண்க.

(2) ƒ'(x) = 9x2 - 6x மற்றும் ƒ(0) = -3 எனில் ƒ(x) காண்க.

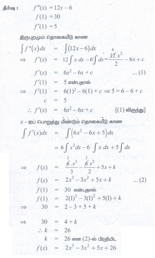
(3) ƒ”(x) = 12x - 6 மற்றும் ƒ(1) = 30 ƒ'(1) = 5 எனில் ƒ(x) காண்க.

(4) ஒரு பந்து 39.2 மீ/வினாடி ஆரம்ப திசைவேகத்தில் தரையிலிருந்து மேல்நோக்கி செங்குத்தாக எறியப்படுகிறது. இங்கு முடுக்கத்தை ஈர்ப்பு விசையைப் பொறுத்து மட்டும் கருதும்போது
(அ) எவ்வளவு நேரம் கழித்துப் பந்து தரையை வந்து மோதும்.
(ஆ) எந்த வேகத்தில் பந்தானது தரையை மோதும்.
(இ) பந்தானது எவ்வளவு தூரம் மேல் நோக்கிச் செல்லும் என்பதனைக் காண்க.

(5) ஒருவருக்கு ஏற்பட்ட காயம் ஆனது 6/(t+2)2 செமீ2/ நாள், 0 < t ≤ 8, என்ற வீதத்தில் ஞாயிற்றுக்கிழமை முதல் காயத்தின் பரப்பு குறைகிறது. திங்கட்கிழமை அன்று காயப்பகுதியின் பரப்பு 1.4 செமீ எனில் (இங்கு t என்பது நாட்களைக் குறிக்கிறது)
(அ) ஞாயிற்றுக்கிழமையன்று காயப்பகுதியின் பரப்பளவு எவ்வளவாக இருந்திருக்கும்?
(ஆ) இதே வீதத்தில் தொடர்ந்து குணமாகிக் கொண்டிருக்கும் போது வியாழக்கிழமையன்று எதிர்பார்க்கும் காயப் பகுதியின் பரப்பு எவ்வளவு?
